作业辅导视频 SS2023-HW7:应用FT性质求解信号频谱
应用FT性质求解频谱
- 信号与系统 2023(春季) 作业要求 - 第七次作业
- 信号与系统 2023(春季) 作业参考答案 - 第七次作业
01 第七次作业
一、习题简介
在第七次作业中, 包括了几道小的练习题, 主要是来练习傅里叶变换的微分、积分、卷积 等性质的。 第一小题已经另外视频进行讨论了。 下面就其中五个数学表达式对应的信号, 以及三个波形信号的频谱的求解, 分别进行讨论。
![]()

▲ 图1.1.1 作业习题内容
二、习题求解
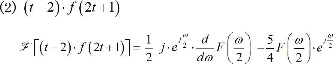
1、习题(2)
对于第二小题,它包括有尺度,时移等基本操作, 同时还包括有乘以自变量 t 的操作。 需要使用到傅里叶变换频域微分定理。 时域乘以自变量, 频域进行微分, 并乘以 j。 考虑到时移操作, 利用时移定理, 在频谱中增加一个相位因子。 下面在考虑尺度运算, 频谱出现幅值变化, 所有 omega 编程 二分之一 omega。 进行化简。 此时,前面的多项式还需要进一步修正。 如果将多项式改成 t 减去 2, 则需要在 2t 加一的基础上, 除以 2, 再减去二分之五。 这样原来的乘积, 就会变成两项。 前面一项的频谱, 就是刚刚求出的结果, 再除以2。 后面一项的频谱, 则利用尺度定理, 和时移定理得到对应的频谱。 将这两项合在一起, 便可以得到最终的答案了。 在这里得到了表达式的傅里叶变换。 其中应用到频域微分定理。
![]()

▲ 图1.2.1 第二小题的答案
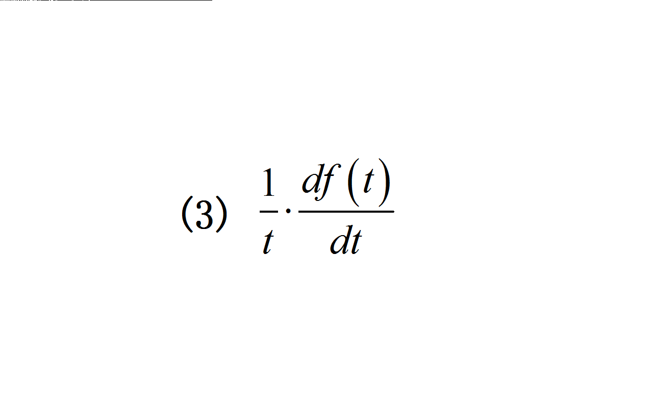
2、习题(3)
第三小题涉及到对信号的两种操作, 微分,以及除以自变量 t。 对于微分操作来说, 对应频谱乘以 j omega。 对除以自变量的操作, 需要使用到频域积分定理。 频域积分, 对应时域除以 负j t。 后面有两项, 后面一项对 delta t 的傅里叶变换, 结果是常量。 将 j 移到其它各项, 这样便可以得到信号除以自变量对应的频谱变化。 下面再结合第一步的微分操作, 将第一部分结果代入这个公式。 把 f(t) 使用其导数替代。 频谱也进行改变。 经过整理,最终得到求解结果。 这是第三小题的结果。
![]()

▲ 图1.2.2 第三小题的结果
3、习题(4)
第四小题的信号是一个高斯条幅信号。 高斯信号的表达式已经给出了。 根据高斯信号的频谱公式, 可以写出高斯包络线的频谱。 下面需要考虑与 cosine 2 Pi t 的调幅过程。 时域乘以 cosine 信号, 对应的频谱出现了左右搬移。 幅值降低一半。 这是最终的结果。
![]()

▲ 图1.2.3 调幅信号的频谱
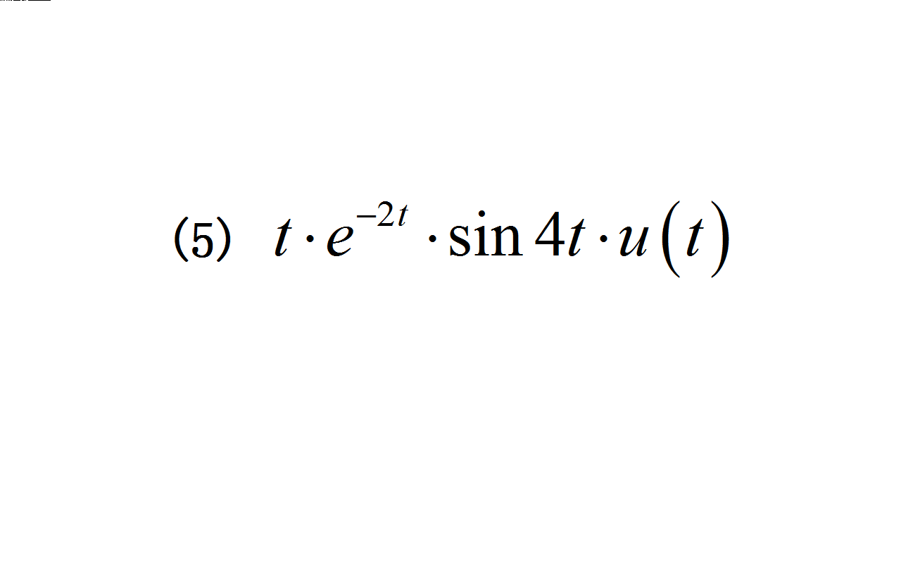
4、习题(5)
第五小题的确比较复杂,涉及到指数信号, 正弦调制以及乘以时间 t 等操作。 先从这个单边指数信号开始, 它对应的频谱大家比较熟悉了。 再考虑乘以 t, 这涉及到频域微分, 微分之后, 对应的频谱为 j omega 加 2 的平方分之一。 下面在考虑乘以 sine 4 t 的操作。 这涉及到频谱的搬移。 频谱左右搬移并相减。 前面乘以 二分之一 j。 最后将公式进行化简。 这个结果的确复杂了些。 这里使用了 Python 中的符号推理软件帮助进行化简。 最终得到了第五小的答案。
![]()
5、习题(6)
第六小题给出了信号的波形。 它比较容易使用微分、积分定理进行求解。 这是微分信号的波形。 写出方波信号的频谱。 左右两个冲激信号的频谱。 将它们加在一起便是微分信号的频谱。 化简频谱表达式。 然后再根据积分定理, 信号的频谱等于其微分信号频谱,除以 j omega。 请注意,由于微分信号的面积为 0。 所以积分之后,信号频谱中不包含有 delta omega 。 将前面微分频谱代入 便可以得到这个锯齿信号的频谱了。 这是第六小题的答案。
![]()
6、习题(7)
第七小题也是给定了信号波形, 它可以看成一个方波信号 与sine信号的乘积。 结果的频谱应该是方波的频谱,进行左右搬移。 因为这是正弦调制, 左右搬移频谱之间是相减的关系。 这是经过频谱搬移化简后的结果。 这里给出了第七小题的答案。
![]()
7、习题(8)
第八小题对应的是一个 sinc 函数, 进行复指数调制, 以及乘以时间 t 等两项操作。 对于 sinc 信号, 它的频谱是一个矩形方波。 根据傅里叶变换对偶特性,可以写出频谱表达式。 下面考虑到时域乘以 t, 对应频域进行微分, 方波频谱微分之后,变成两个冲激信号。 最后考虑复指数调制。 这将会引起频谱的平移, 频谱往右平移 omega 0。 由于信号中还包括一个常量。 将频谱乘以这个常量,便是最后的答案了。

8、习题(9)
第九小题是一个左边指数信号, 可以直接利用傅里叶变换公式进行求解。 对积分公式进行化简, 求取定积分的数值。 这个计算过程还算比较容易。 最终化简得到题目的答案。
![]()
※ 总 结 ※
本文讨论了第七次作业中的信号频谱求解问题。 利用傅里叶变换的性质可以大大简化求解过程。
![]()
■ 相关文献链接:
- 信号与系统 2023(春季) 作业要求 - 第七次作业
- 404
● 相关图表链接:
- 图1.1.1 作业习题内容
- 图1.2.1 第二小题的答案
- 图1.2.2 第三小题的结果
- 图1.2.3 调幅信号的频谱
本文来自互联网用户投稿,文章观点仅代表作者本人,不代表本站立场,不承担相关法律责任。如若转载,请注明出处。 如若内容造成侵权/违法违规/事实不符,请点击【内容举报】进行投诉反馈!
