生成下雨的声音
1. 下雨天好睡觉
前些天是世界睡眠日,中国 3 亿人有睡眠障碍,有关数据显示收入越高睡眠越少。虽然每个人在床上翻来覆去难以入睡的原因各不相同,但是对于下雨天和睡觉更配这件事我相信没有人会否定。为什么下雨天更适合睡觉呢,其原因有三:其一,下雨天阳光被云层挡住,植物光合作用变弱,导致空气中氧气含量减少从而使得人们感觉到困;其二,下雨天乌云遮住了太阳,褪黑素开始分泌,让人们睡个好觉;其三,落雨声是白噪声在所有频段功率均匀分布,让人们听起来比较舒服。为了睡个好觉,前两个条件我们不好创造,但是下雨的声音我们可以试试。
2. 雨声模型
雨水由直径约为1mm至3mm的近球形水颗粒组成,它们以恒定的速度下落,在正常重力和空气密度下,1mm的雨滴最终速度到大约2m/s,5mm的雨滴大约10m/s。雨滴与各种材料进行碰撞产生下雨声,对于不同的物体产生声音的模型不同。一般而言,可以把下雨声分成三大类。第一类是雨滴落在水中的声音,如下图所示

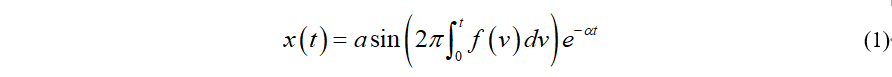
这类似于气泡声产生的模型,是由chirped sinusoid结合指数衰减得到的

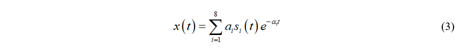
第二类是雨滴落在共振表面并触发共振的模型,如下图所示

产生的谐波撞击声可以通过下式描述

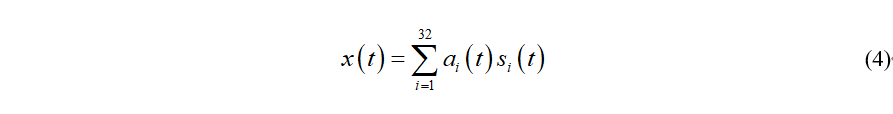
最后一类是,雨滴落在可以刚性或者可以变形的物体表面(如叶子)产生的声音,

不管是哪种模型都需要使用EQ来产生背景噪声,即

3. 人工降雨
上面的生成模型都比较复杂,我们这里来实现一个简单的模型。
- 首先我们生成近似于雨滴抛物线曲线的脉冲
- 然后我们控制这些脉冲之间的宽度,使得其符合泊松分布,这和观测到的真实降雨间隔分布一致
- 接着我们对频率和幅值进行一些调制得到雨声。
关注公众号语音算法组获取算法结果和算法代码
本文来自互联网用户投稿,文章观点仅代表作者本人,不代表本站立场,不承担相关法律责任。如若转载,请注明出处。 如若内容造成侵权/违法违规/事实不符,请点击【内容举报】进行投诉反馈!
