先进半导体材料与器件Chapter2(Ⅰ)

Chapter2 半导体异质结(Ⅰ)
作者: Saint
掘金:https://juejin.im/user/5aa1f89b6fb9a028bb18966a
微博:https://weibo.com/5458277467/profile?topnav=1&wvr=6&is_all=1
GitHub:github.com/saint-000
知乎:https://www.zhihu.com/people/saint-80-61/columns
1.异质结的概念
2.异质结的能带图
3.异质结的电学特性
一.异质结的概念
PN结(两种不同导电类型半导体材料构成的结)
半导体同质结(同一种半导体材料构成的结)
半导体异质结(两种不同半导体材料构成的结)
异质结的分类:
理想突变异质结、渐变异质结
过渡层在1~2个原子层、不考虑界面电子态、没有偶极层和夹层,比如(GaAs/AlAs)

异质结的分类:
同型异质结、异型异质结
结两边材料的导电类型 (pN、Pp、Np、Nn)
晶格匹配异质结、应变层异质结
结两边材料的晶格常数差异 (InGaAs/InP、GeSi/Si)
半导体异质结的应用
光电子
发光二极管 Light Emitting Diodes (LED)
激光器 (Laser)
探测器 (Detector)
太阳能电池 (Solar Cell)
微电子
异质结双极晶体管 Heterostructure Bipolar Transistor (HBT)
高电子迁移率晶体管 High Electron Mobility Transistor (HEMT)
共振隧穿二极管(RTD)
异质结的形成:
晶格失配:

悬挂键刃型位错:
考虑长为L,宽为S的半导体异质结,单位面积的悬挂键数目为:
令
则

**异质结的能带结构:**未组成异质结前半导体的能带图
理想突变异质结的能带图( N-p )

异质结中费米能级不同产生电荷转移,两材料中的费米能级平衡形成势垒。界面能带断续, 势垒出现尖峰。
典型的能带突变形式:

Type Ⅰ : ΔEc﹥0,ΔEV﹥0
Type Ⅱ : ΔEc﹤0,ΔEV﹥0
I型其特点是两种半导体的带隙完全交叠,电子和空穴的势垒都在窄禁带的半导体中。
II型 其特点是两种半导体的带隙完全分开,如图(c),部分交叠如图(b), 电子和空穴的势垒分别在不同的半导体中。
III型 这是另一类独特能带结构的异质结,它由宽禁带的半导体和零能隙的半导体组成。
异质结能带的特点:
1.存在有能带的突变
2.在界面附近可能有电子势垒(向上的尖峰)
3.可能有电子势阱(向下的尖峰)
二.热平衡下异质结的能带图
异质结界面两侧的导带最低极值和价带最高极值的能量随坐标的变化。
异质结的能带带阶计算方法
1.Anderson模型(电子亲和能模型)
2.Tersoff界面偶极子模型
3.自洽的第一原理的理论计算方法
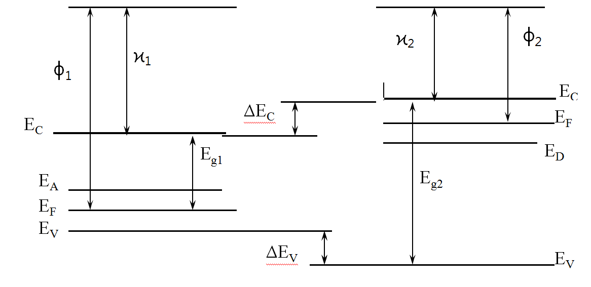
Anderson模型-电子亲和能模型
热平衡状态下,两侧的费米能级应处于同一高度, 同时,真空能级应该连续,因此,在界面处就会出现能带的弯曲,发生导带及价带的不连续。两种半导体的导带低在交界面处的突变△Ec为

△Ec称为导带断续或称为导带“带阶”(offset)而价带的带阶为△EV
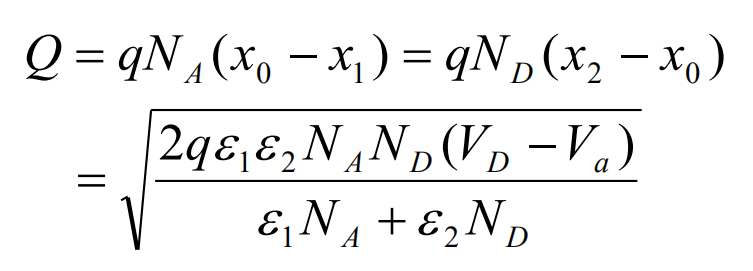
用Anderson模型分析pN异质结中的性质:势垒区中能带随坐标的变化,势垒高度在界面两侧的分配以及界面两侧耗尽层宽度分别为x1-x0和x0-x2。
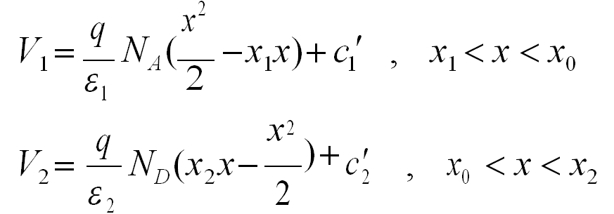
用耗尽层理论分析pN异质结:从基本的泊松(Poisson)出发得出电势与电荷的关系,在耗尽区x1到x2之间没有自由载流子,只有完全离化了的杂质电荷,边界条件x=x1时E1=0,x=x2时E2=0得到常数项,电场在各自的空间电荷区内随x直线变化,而在边界处则满足电位移矢量D的连续条件。

将耗尽区电场强度分布积分得到电势分布:
以窄带一侧耗尽区以外的电势为基准计算,边界条件为:x=x1时V1=0; x=x2时V2=VD-△Ec,VD为总电势差。由此可求出求出势垒VD在界面两边的分配、由边界处电位移矢量D的连续条件可得:

它的物理意义是界面两侧耗尽区中电荷数相等,这就是电中性条件。
和同质结相似,耗尽区宽度与杂质浓度呈反比, 耗尽区主要落在杂质少的一边。
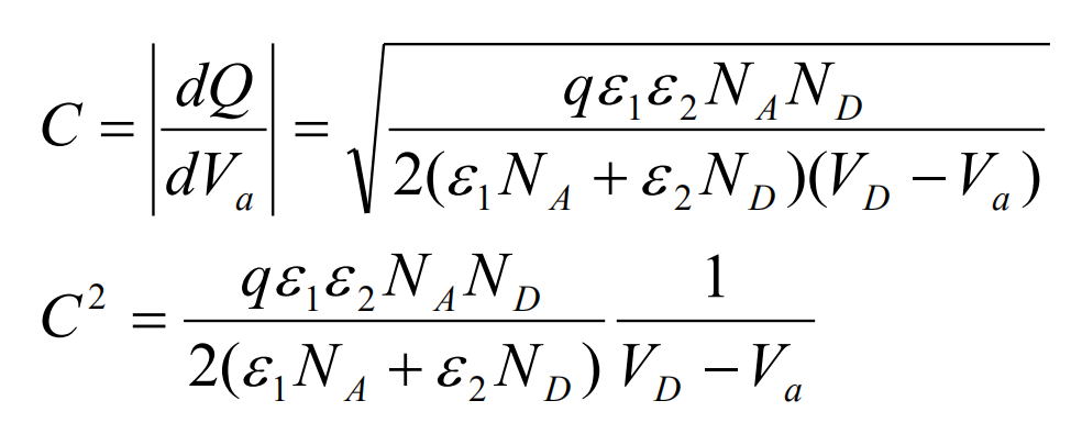
可求得界面两边的耗尽区宽度与总的势垒高度关系,当有外加电压Va存在时,界面两边的耗尽区宽度与总的势垒高度的关系,求出耗尽区的总电荷为:
因此,单位面积异质结的电容为:
1/C^2和Va的关系为一条直线,可以从直线在电压轴上的截距求得势垒高度VD。和同质结一样,如果两边掺杂浓度差别很大,还可以从直线的斜率求出杂质少一边的掺杂浓度。
载流子的限制作用:势垒在界面两侧呈抛物线形状这点和同质结相似。唯一的不同是在界面处宽带一侧多了一个尖峰,而在窄带一侧出现一个能谷。
界面尖峰的位置处于势垒上的什么部分将由两边材料的相对掺杂浓度来决定。
(a)宽带掺杂比窄带少得多时,势垒主要落在宽带区;
(b)两边掺杂差不多时,势垒尖峰在平衡时并不露出p区的导带底,但在有正向外加电压时有可能影响载流子的输运;
(c)窄带掺杂比宽带少得多时势垒主要落在窄带区,尖峰靠近势垒的根部。
四种常见的异型异质结能带排列
总结:
Anderson模型分析异质结能带带阶
优点:
简单的计算和清晰的物理图象。模型推出来结果对一些材料还是正确的。(如InAs/GaSb,Ge/Si,InAs/GaAs等)
不足:
模型推出来大多数结果与实验数据有偏差。由于在实际的异质界面上存在着原子的再构和偶极层,其与单材料表面偶极层对能级的影响不一样。
测量能带带阶的方法:
1.X射线光电子发射谱(XPS)
2.量子阱光跃迁光谱(PL、PLE)
3.电容-电压法
1.X射线光电子发射谱 (XPS)
X射线光电子发射谱(XPS)

图中每个异质结对的标记的前一项是衬底,后一项是外延层。
在大多数情况下,用XPS 测量得到的能带带阶和异质结两层的生长顺序有关。
XPS是一种比较准确的测量能带带阶的方法(0.02eV),它带有基本物理测量的性质。
2.量子阱光跃迁光谱(PL、PLE)
量子阱光跃起光谱是另外一种较基本测量能带带阶的方法。
利用带隙的宽窄形成量子阱,使势阱中电子和空穴分别在垂直于异质结面的方向上的运动受到限制,运动能量上出现量子化;这样量子阱中的电子产生光跃起时在吸收光谱或荧光光谱上将出现一系列反应能级的量子化的发光峰。


3.电容-电压法(C-V)

总结:
X射线光电子发射谱 (XPS)测量△Ev;量子阱光跃迁光谱 (PL、PLE)测量Qi =△Ec/△Eg;电容-电压法测量△Ec
Anderson模型分析异质结能带图两原则
在热平衡下,界面两端 费米能级必须相同。真空能级必须连续,且平行于能带边缘。
有界面态的突变异质结的能带图
界面能级产生因素:晶格失配导致的缺陷、其它缺陷
界面能级类型:类施主能级(电离后带正电) 类受主能级(电离后带负电)
界面能级对能带图的影响与界面态
密度大小和界面态能级性质有关
有界面态的突变异质结的能带图
无论界面能级是类施主或是类受主都不影响异质结能带图的基本状况。
有少量界面态时Np异质结的能带图

界面态密度较大时,界面能级上的电荷能显著改变某一边空间电荷的厚度和势垒的高度。界面能级的电离与否将改变载流子通过结的输运方式。
有大量界面态时异质结的能带图
界面态密度很大时,将影响能带弯曲的方向。

在这两种情况下界面 势垒是不同的,如图(c),它可以看成两个背 靠 背 串 联 的 Schottky二极管。C^2- V曲线将会是两条直线。
渐变异质结的能带图
渐变就是指禁带宽度和电子亲和能是坐标连续变化的函数.

优点:
渐变异质结可以降低势垒尖峰的高度,宽的渐变区甚至可以消除尖峰。
缺点:
太宽的渐变区也会导致导带上出现对电子起陷阱作用的场,从而降低结的注入效率

图(a)的突变异质结只是在同质结上均匀地增加一个量,因而势垒上尖峰很明显;图(b)的渐变区较小还保留一点小尖峰;图(c)渐变区较长,势垒上尖峰被拉平了。

当渐变区宽度大到一定值以后(600Å), 势垒上的尖峰就差不多消失了。
三.异质结的电学特性
异质结伏安特性的模型:
1.扩散模型
2.发射模型
3.隧道模型
4.复合模型
影响的因素:能带带阶、能带渐变、界面态和掺杂等
一. 突变异质结的伏安特性和注入特性
当交界面处禁带宽度大的半导体的势垒尖峰,低于 异质结势垒区外的禁带宽度小的半导体的导带低时, 称-qVB=qVD2-qVD+△Ec为负反向势垒;反之,则称为qVB=qVD2-qVD+△Ec为正反向势垒。
1.负反向势垒异质结的伏安特性
如图,由n区向结处扩散的 电子流可以通过发射机制越过 势垒尖峰进入p区,因此异质 结的电流主要由扩散机制决定。与同质结类似,p型半导体中 少数载流子的浓度n10与n型半导体中多数载流子的浓度n20的关系可求,当异质结加正向偏压时, p型半导体中势垒区边界的少子浓度与n20的关系亦可求;根据载流子连续性方程,可以求得电子电流密度,在热平衡时,可以求得空穴的电流密度可求,求得通过异质结的总电流,结论:正向电压下,电流与电压呈指数关系。
注入比:总电流中电子电流和空穴电流之比。

掺杂浓度决定同质结注入比
异质结的注入比
由于能带带阶的存在,由左向右的空穴注入除了要克服势垒之外,还要克服一个附加台阶,因此空穴流:
而由右向左的电子注入只需要克服势垒:

注入比:

对于突变的pn异质结,只要价带带阶△EV大,异质结就能产生较大的注入比。而导带带阶△Ec大的则适用于制作pn异质结器件。
如果异质结是渐变的,则能带图上的尖峰拉平,电子要克服的势垒是qVD-△Ec,因此注入比为:

结论:因此,为了保证得到有利的注入比,最好将异质结做成渐变的。
2.正反向势垒异质结的伏安特性
如图,势阱中的电子要往右边输运,需要克服高度为△Ec- qVD1的势垒。而右边n型区导带中的电子要往左边输运,需要克服势垒是qVD2。但左边的空穴要通过异质结所需要越过的势垒是qVD1+qVD2-△EV。因此,通过这种异质结的电流将主要是方向相反的两个电子电流。
如果限制电子输运的主要是扩散过程,则可给出伏安特性关系为:
如果限制电子输运的主要是热发射过程,则可给出伏安特性关系为:

3.穿通势垒尖的隧道模型
异质结的界面的伏安特性为
J = Js (T)exp (AVa )
其中Js(T)是和温度有微弱关系的常数,A是与温度无关的常数。

隧道电流的特点:lnJ-V的曲线斜率与温度无关。
本文来自互联网用户投稿,文章观点仅代表作者本人,不代表本站立场,不承担相关法律责任。如若转载,请注明出处。 如若内容造成侵权/违法违规/事实不符,请点击【内容举报】进行投诉反馈!
