估计量的性质 (克拉美-罗(Cramer-Rao)界及其证明)
按照某种估计准则求出后,需要对估计量的质量进行评价,这就需要研究估计量的主要性质。估计量是观测量的函数,而观测量时随机变量,因此估计量也是随机变量,必须用统计的方法分析和评价各种估计量的质量。下面提出的估计量的主要特性就是估计量质量的指标。
1.5.1 估计量的主要性质
估计量的主要性质包括无偏性,有效性和一致性。
1.5.1.1 无偏性
对信号的参量进行多次观测后,希望估计值应分布在真值附近,因此,第一个要考虑的问题是关于估计量的均值问题。
对于随即参量 ,如果估计量的均值等于被估计量的均值,即
则称为无偏估计量,否则就是有偏的,其偏差等于两均值之差。
1.5.1.2 有效性
一个估计量仅用是否无偏来评价显然是不完全的,因为即使是一个无偏估计量,如果它的方差很大,那么其估计的误差也可能很大,可见无偏估计量不能保证估计量分布在真值附近,那么第二个性质是关于估计误差的方差或均方误差的问题。
对于被估计量的任意无偏估计量
和
,若估计误差的均方误差满足:
则称估计量比
有效。如果无偏估计量
的均方误差小于其他任何无偏估计量的误差的方差,那么称此估计量为最小误差方差估计量。
1.5.1.3 一致性
被估计量的估计量
是根据有限N次观测量
构造的,记为
,希望随着观测次数N的增加,估计的质量提高,即估计值趋近于被估计量的真值或均值,或者估计的均方误差减少。对于任意小的正数
,若
则,称估计量是一致估计量(收敛的)。或者,若
则称估计量是均方一致估计量(均方收敛的)。
1.5.2 克拉美-罗(Cramer-Rao)界及其证明
为了确定估计量的有效性,可直接计算均值和方差,并与其他的估计进行比较,也可以寻求间接方法,即确定任一无偏差估计量方差的下界,将实际估计的方差与此下界进行比较,从而确定其有效性。这个下界就是克拉美-罗(Cramer-Rao)界。
1.5.2.1 非随机参量估计的边界
设是非随机参量
的任意无偏估计,则有
当且仅当对所有和
都满足
时等号成立。其中可以是
的函数,但不能是
和
的函数。
以上就是非随机参量情况下的克拉美-罗不等式及其等号成立条件。
证明:
是非随机参量
的任意无偏估计
and
Schwartz inequality:
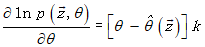
当且仅当
正比于
时等号成立,即
时,k为任意常数。
and
根据施瓦茨不等式取等条件,当且仅当所有和
都满足
时等号成立
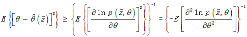
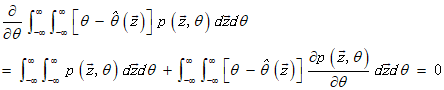
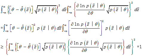
1.5.2.2 随机参量估计误差方差的下界
设是随机参量
的任意无偏估计,则有
当且仅当对所有和
都满足
其中k是任意常数。
以上就是非随机参量情况下的克拉美-罗不等式及其等号成立条件。
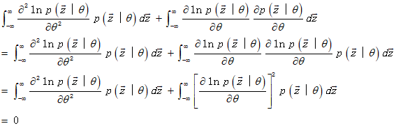
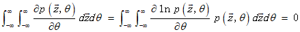
证明:
是随机参量
的任意无偏估计
and
Schwartz inequality:
当且仅当
时,k为任意常数。
and
根据施瓦茨不等式取等条件,当且仅当所有和
都满足
时等号成立。
本文来自互联网用户投稿,文章观点仅代表作者本人,不代表本站立场,不承担相关法律责任。如若转载,请注明出处。 如若内容造成侵权/违法违规/事实不符,请点击【内容举报】进行投诉反馈!
