【机器学习】三层神经网络
点击上方蓝色字体,关注AI小白入门哟
跟着博主的脚步,每天进步一点点
本文介绍了传统的三层神经网络模型,首先介绍了网络中的神经单元概念,将一个神经单元视为一个逻辑回归模型。因此,神经网络可以看作是逻辑回归在(宽度,深度)上的延伸;然后,前向传播是一个复合函数不断传播的过程,最终视目标而定损失函数;最后,反向传播则是对复合函数求导的过程。当然三层神经网络只是深度学习的雏形,如今深度学习已经包罗万象。
作者 | 文杰
编辑 | yuquanle
三层神经网络
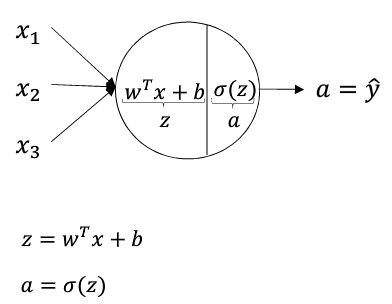
A、神经单元
深度学习的发展一般分为三个阶段,感知机-->三层神经网络-->深度学习(表示学习)。早先的感知机由于采用线性模型,无法解决异或问题,表示能力受到限制。为此三层神经网络放弃了感知机良好的解释性,而引入非线性激活函数来增加模型的表示能力。三层神经网络与感知机的两点不同:
1)非线性激活函数的引入,使得模型能解决非线性问题。
2)引入激活函数之后,不再会有损失的情况,损失函数采用对数损失,这也使得三层神经网络更像是三层多元(神经单元)逻辑回归的复合。
神经网络中每一个神经元都可以看作是一个逻辑回归模型,三层神经网络就是三层逻辑回归模型的复合,只是不像逻辑回归中只有一个神经元,一般输入层和隐藏层都是具有多个神经元,而输出层对应一个logistic回归单元或者softmax单元,或者一个线性回归模型。
这里对一些常用的非线性激活函数做一些简单的介绍(图像,性质,导数):
性质:对于以上几个非线性激活函数都可以看作是
的一个近似。采用近似的一个重要原因是为了求导,早起常采用平滑的sigmoid和tanh函数,然而我们可以发现这两个函数在两端都存在导数极小的情况,这使得多层神经网络在训练时梯度消失,难以训练。而Relu函数则很好的解决两端导数极小的问题,也是解决神经网络梯度消失问题的一种方法。
导数:
B、前向传播
前向传播是一个复合函数的过程,每一个神经元都是一个线性函数加一个非线性函数的复合,整个网络的结构如下:其中上标表示网络层,所以表示输出层。
向量形式:
矩阵形式:
其中线性函数还是,不过要注意的是这里由于每一层不仅一个神经元,所以逻辑回归中的向量则扩展为矩阵,表示有多个神经元(也正是因为多个神经元,导致神经网络具有提取特征的能力)。非线性函数则可以有以下选择,目前来看Relu函数具有一定的优势。
其中值得注意的是矩阵的行列,深度学习常采用一列表示一个样本,所以网络中数据矩阵的大小如下:
损失函数同样采用对数损失(二分类):
C、反向传播
由于神经网络是一个多层的复合函数,前向传播就是在计算复合函数,所以反向传播就是一个链式求导过程,确定所有参数的负梯度方向,采用梯度下降的方法来更行每一层网络的参数。
1.损失函数:
2.激活函数:
3.线性函数:
对于损失函数直接对各个变量求导如下:
值得注意的是激活函数是一个数值操作,不涉及矩阵求导,线性函数中是因为是作用于个样本,所以在确定负梯度方向时需要个样本取均值,而对求导则不需要求均值。
代码实战
int trainDNN()
{Matrix x;char file[20]="data\\train.txt";x.LoadData(file);x = x.transposeMatrix();cout<<"x,y"<int DNN(Matrix X,Matrix Y,const char *optimizer,double learn_rateing,const char *initialization, double lambd, double keep_prob, \int mini_batch_size,double beta1, double beta2, double epsilon, int iter, bool print_cost)
{/**初始化参数**/int i=0,k=0;int lay_dim=3;int lay_n[3]= {0,3,1};lay_n[0]=X.row;string lay_active[3]= {"relu","relu","sigmoid"};sup_par.layer_dims=lay_dim;for(i=0; iint predict(Matrix X,Matrix Y)
{int i,k;parameters *p;p=∥p->A = X.copyMatrix();Matrix AL;double *keep_probs=new double [sup_par.layer_dims];for(k=0;k0.5)AL.data[0][i]=1;elseAL.data[0][i]=0;}double pre=0;for(i=0;i
The End
往期精彩回顾
那些年做的学术公益-你不是一个人在战斗适合初学者入门人工智能的路线及资料下载机器学习在线手册深度学习在线手册备注:加入本站微信群或者qq群,请回复“加群”加入知识星球(4500+用户,ID:92416895),请回复“知识星球”
你点的每个赞,我都认真当成了喜欢
本文来自互联网用户投稿,文章观点仅代表作者本人,不代表本站立场,不承担相关法律责任。如若转载,请注明出处。 如若内容造成侵权/违法违规/事实不符,请点击【内容举报】进行投诉反馈!
