概率论基础知识
这个地球上有几十亿人口~
而两个人相遇的概率是千万分之一。
一旦生活中出现下列场景,总是会引起周围人的一阵惊叹!
抛硬币没有出现正反面的情况~
掷骰子比大小摇到了六个六~
买彩票中了一等奖~
然而上述都是随机出现的结果,从概率论的角度出发它们还属于小概率事件。
像我这种运气差的,只能在抛硬币时找不到硬币,掷骰子比大小掷到最小,买奖券最多就刮出来“再刮一次”……好啦,言归正传,前面辛苦铺垫了这么多,各位应该猜到这次文章要分享啥了吧?
概率论是研究随机现象数量规律的学科,是建立和分析带有随机因素的数学模型的基础。
早在中学时代,黑球红球白球一度盛行在数学课本之中。摸了放回?还是不放?这是个送命题。直到大学时期开设了概率论这门课,才发现没有最难,只有更难,从概率基本知识到概率公式,从判断事件的独立性到计算各种期望方差协方差,单是分布一只手都数不过来……
哎呀,又跑偏了,我是来分享概率论干货知识的,那就回归主题,从排列组合开始,请看下面例子~
摸完球了,来看看相关的概率知识~
概率知识
累积分布函数
概率密度函数
概率公式
独立事件
期望
方差
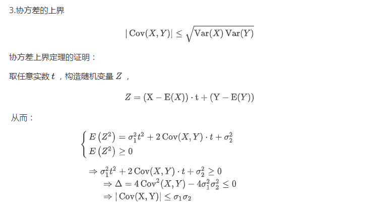
协方差
概率论基本知识到这里先告一段落,但是还没完哦。下一次会分享一下不同的概率分布,敬请关注~
如果你觉得内容还不错~
可以点一下“在看”
或上github帮我们“star”一下~
编辑:yxc
作者简介:浩彬老撕
备注:公众号菜单包含了整理了一本AI小抄,非常适合在通勤路上用学习。
往期精彩回顾那些年做的学术公益-你不是一个人在战斗适合初学者入门人工智能的路线及资料下载机器学习在线手册深度学习在线手册备注:加入本站微信群或者qq群,请回复“加群”加入知识星球(4500+用户,ID:92416895),请回复“知识星球”
喜欢文章,点个在看
本文来自互联网用户投稿,文章观点仅代表作者本人,不代表本站立场,不承担相关法律责任。如若转载,请注明出处。 如若内容造成侵权/违法违规/事实不符,请点击【内容举报】进行投诉反馈!
