【机器学习】与机器学习算法公式相关的数学家,你认识几个?
机器学习,需要一定的数学基础,也需要一定的代码能力。机器学习算法里面有很多数学公式是数学家的名字命名的,然而,好多人不知道那些数学家长什么样子。于是,我们搜集了十位数学家的资料(排名不分先后),看看大家能从图片中叫出几位数学家的名字来?

1.艾萨克·牛顿
英国著名物理学家,数学家,牛顿与戈特弗里德·威廉·莱布尼茨分享了发展出微积分学的荣誉。他也证明了广义二项式定理,提出了“牛顿法”以趋近函数的零点,并为幂级数的研究做出了贡献。

2.戈特弗里德·威廉·莱布尼茨
德国数学家,我们经常用到“牛顿-莱布尼茨公式”。


3.约瑟夫·拉格朗日
法国数学家,机器学习经常用到他创建的“拉格朗日对偶”、“拉格朗日中值定理”。

4.托马斯·贝叶斯
英国数学家,“贝叶斯公式”在机器学习中使用非常广泛。


4.西莫恩·德尼·泊松
法国数学家,数据分布中的“泊松分布”就是以他的名字命名。

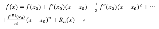
5.布鲁克·泰勒
英国数学家,我们经常用到“泰勒公式”:

6.洛必达
法国数学家,在高等数学求极限的时候,我们经常用到“洛必达法则”。

7.卡尔·弗里德里希·高斯
德国数学家,在机器学习中他的名字肯定不会陌生,比如“高斯分布”、“高斯核函数”。

8.伯努利
瑞士数学家,“伯努利分布” 是一种离散分布,有两种可能的结果。1表示成功,出现的概率为p(其中0

9.德·摩根
英国数学家,在概率论里,我们经常用到“德. 摩根律”:


10.拉普拉斯
法国数学家,在概率论和数理统计中,“拉普拉斯分布”非常重要,该分布用于生物、金融和经济学方面的建模。


往期精彩回顾适合初学者入门人工智能的路线及资料下载机器学习及深度学习笔记等资料打印机器学习在线手册深度学习笔记专辑《统计学习方法》的代码复现专辑
AI基础下载机器学习的数学基础专辑黄海广老师《机器学习课程》视频课本站qq群851320808,加入微信群请扫码:

本文来自互联网用户投稿,文章观点仅代表作者本人,不代表本站立场,不承担相关法律责任。如若转载,请注明出处。 如若内容造成侵权/违法违规/事实不符,请点击【内容举报】进行投诉反馈!
