开源cnc项目Marlin2.0运动控制部分代码理解
本文主要梳理Marlin2.0工程代码中关于运动控制部分的理解。Marlin1.0工程代码用C语言写的,阅读起来比较容易。Marlin1.0主要核心算法包括圆弧插补、速度前瞻、转角速度圆滑、梯形速度规划、Bresenham多轴插补。Marlin2.0工程相对于Marlin1.0工程程序用了更多C++的写法,程序写的相对专业(晦涩),许多人不太适应,其实2.0比1.0主要是增加了S形速度规划。
1 程序主循环 、G代码解析、圆弧插补
程序主循环非常简洁:
void loop() {for (;;) {idle(); // Do an idle first so boot is slightly faster#if ENABLED(SDSUPPORT)card.checkautostart();if (card.flag.abort_sd_printing) abortSDPrinting();#endifqueue.advance();endstops.event_handler();}
}
对上位机传过来的G代码解析都在queue.advance()函数中。G0、G1是直线插补命令,G3、G4是圆弧插补命令。源码路径中motion文件夹中G0_G1.cpp的G0_G1()就是解析G0、G1直线插补命令,G2_G3.cpp的G2_G3()就是解析圆弧插补命令。这里看圆弧插补函数
void plan_arc(
const xyze_pos_t &cart, // Destination position //目标位置
const ab_float_t &offset, // Center of rotation relative to current_position
//相对于当前位current_position的圆心位置,有center_position=current_position+offset
const uint8_t clockwise // Clockwise? //顺时针还是逆时针插补
)
先列出圆弧插补原理示意图:

圆心坐标O(xc,yc),起始点Ps(x1,y1),终点Pe(x2,y2),起始点也是当前点。圆弧插补思想就是算出OPs与OPe的夹角θ,进而求出PsPe段圆弧长度L=rθ,程序设定圆弧插补精度为p,则插补段数为N=L/p,则可以求出第i段的角度为θi=θ1+θ*i/N,则Pi.x=PO.x+r*cos(θs+θi)=PO.x+rcosθscosθi-rsinθssinθi=PO.x+ps.x*cosθi-Ps.y*sinθi,Pi.y=PO.x+r*sin(θs+θi)=PO.x+rsinθscosθi+rcosθssinθi=PO.x+ps.y*cosθi+Ps.x*sinθi,则从Ps到Pe的圆弧插补可以等效于从Ps经一系列中间点P1,P2,.....Pn再到Pe的一系列直线插补。
讲完原理,再来分析代码。
ab_float_t rvec = -offset; //Ps为当前点,O点坐标为(Ps.x+offset.x,Ps.y+offset.y),则向量OPs=(-offset.x,-offset.y)=-offset。const float radius = HYPOT(rvec.a, rvec.b), //计算弧长r,rvec.x=rcosθs,rvec.y=rsinθs#if ENABLED(AUTO_BED_LEVELING_UBL)start_L = current_position[l_axis],#endifcenter_P = current_position[p_axis] - rvec.a, //圆心坐标,center_P=ps.x+offset.x,center_Q=ps.y+offset.ycenter_Q = current_position[q_axis] - rvec.b,rt_X = cart[p_axis] - center_P, //计算圆弧终点向量OPe,OPe=Pe-Ort_Y = cart[q_axis] - center_Q,linear_travel = cart[l_axis] - current_position[l_axis],extruder_travel = cart.e - current_position.e;
// CCW angle of rotation between position and target from the circle center. Only one atan2() trig computation required.float angular_travel = ATAN2(rvec.a * rt_Y - rvec.b * rt_X, rvec.a * rt_X + rvec.b * rt_Y);//这里用到了向量点积和叉积公式,OPs.OPe=|OPs|*|OPe|*cosθ=OPs.x*OPe.y+OPs.y*OPe.x,OPs X OPe=|OPs|*|OPe|*sinθ=OPs.x*OPe.y-OPs.y*OPe.xif (angular_travel < 0) angular_travel += RADIANS(360);#ifdef MIN_ARC_SEGMENTSuint16_t min_segments = CEIL((MIN_ARC_SEGMENTS) * (angular_travel / RADIANS(360)));NOLESS(min_segments, 1U);#elseconstexpr uint16_t min_segments = 1;#endifif (clockwise) angular_travel -= RADIANS(360);// Make a circle if the angular rotation is 0 and the target is current positionif (angular_travel == 0 && current_position[p_axis] == cart[p_axis] && current_position[q_axis] == cart[q_axis]) {angular_travel = RADIANS(360);#ifdef MIN_ARC_SEGMENTSmin_segments = MIN_ARC_SEGMENTS;#endif}//求出弧长L=rθ,插补精度为MM_PER_ARC_SEGMENT,则插补总段数N=L/MM_PER_ARC_SEGMENTconst float flat_mm = radius * angular_travel,mm_of_travel = linear_travel ? HYPOT(flat_mm, linear_travel) : ABS(flat_mm);if (mm_of_travel < 0.001f) return;uint16_t segments = FLOOR(mm_of_travel / (MM_PER_ARC_SEGMENT));NOLESS(segments, min_segments);
将N个小圆弧当成直线进行插补:
for (uint16_t i = 1; i < segments; i++) { // Iterate (segments-1) times
........省略代码const float cos_Ti = cos(i * theta_per_segment), sin_Ti = sin(i * theta_per_segment);
//计算OPi,OPi=(rcos(θs+θi),rsin(θs+θi)),θi=i*theta_per_segmentrvec.a = -offset[0] * cos_Ti + offset[1] * sin_Ti;rvec.b = -offset[0] * sin_Ti - offset[1] * cos_Ti;// Update raw location //Pi的坐标=圆心坐标+OPi的坐标raw[p_axis] = center_P + rvec.a;raw[q_axis] = center_Q + rvec.b;#if ENABLED(AUTO_BED_LEVELING_UBL)raw[l_axis] = start_L;UNUSED(linear_per_segment);#elseraw[l_axis] += linear_per_segment;#endifraw.e += extruder_per_segment;apply_motion_limits(raw);#if HAS_LEVELING && !PLANNER_LEVELINGplanner.apply_leveling(raw);#endif//开始执行直线插补,目标点rawif (!planner.buffer_line(raw, scaled_fr_mm_s, active_extruder, MM_PER_ARC_SEGMENT#if ENABLED(SCARA_FEEDRATE_SCALING), inv_duration#endif))break;}
2 直线规划及速度前瞻算法
直线规划的实现函数在planner.cpp的Planner::buffer_line函数,buffer_line函数又调用buffer_segment函数,
bool Planner::buffer_segment(const float &a, const float &b, const float &c, const float &e#if IS_KINEMATIC && DISABLED(CLASSIC_JERK), const xyze_float_t &delta_mm_cart#endif, const feedRate_t &fr_mm_s, const uint8_t extruder, const float &millimeters/*=0.0*/
) {//调用_buffer_steps进行直线规划,主要是生成一个新的规划block,block中填充初速度、末速度、加速度、加速距离、减速距离等if (!_buffer_steps(target #if HAS_POSITION_FLOAT, target_float#endif#if IS_KINEMATIC && DISABLED(CLASSIC_JERK), delta_mm_cart#endif, fr_mm_s, extruder, millimeters)) return false;stepper.wake_up();//直线规划完以后唤醒定时器中断,在中断里根据规划的block执行速度规划return true;
}
_buffer_steps首先调用_populate_block()函数生成新的规划block并进行填充,填充时调用了转角平滑算法来计算初速度,然后再调用recalculate()函数来执行速度前瞻算法和梯形轨迹规划算法。我们先分析_populate_block()函数。
_populate_block()函数
我们来看一下要生成的block结构:
typedef struct block_t {volatile uint8_t flag; // Block flags (See BlockFlag enum above) - Modified by ISR and main thread!// Fields used by the motion planner to manage accelerationfloat nominal_speed_sqr, // The nominal speed for this block in (mm/sec)^2entry_speed_sqr, // Entry speed at previous-current junction in (mm/sec)^2max_entry_speed_sqr, // Maximum allowable junction entry speed in (mm/sec)^2millimeters, // The total travel of this block in mmacceleration; // acceleration mm/sec^2union {abce_ulong_t steps; // Step count along each axisabce_long_t position; // New position to force when this sync block is executed};uint32_t step_event_count; // The number of step events required to complete this block#if EXTRUDERS > 1uint8_t extruder; // The extruder to move (if E move)#elsestatic constexpr uint8_t extruder = 0;#endif#if ENABLED(MIXING_EXTRUDER)MIXER_BLOCK_FIELD; // Normalized color for the mixing steppers#endif// Settings for the trapezoid generatoruint32_t accelerate_until, // The index of the step event on which to stop accelerationdecelerate_after; // The index of the step event on which to start decelerating#if ENABLED(S_CURVE_ACCELERATION)uint32_t cruise_rate, // The actual cruise rate to use, between end of the acceleration phase and start of deceleration phaseacceleration_time, // Acceleration time and deceleration time in STEP timer countsdeceleration_time,acceleration_time_inverse, // Inverse of acceleration and deceleration periods, expressed as integer. Scale depends on CPU being useddeceleration_time_inverse;#elseuint32_t acceleration_rate; // The acceleration rate used for acceleration calculation#endifuint8_t direction_bits; // The direction bit set for this block (refers to *_DIRECTION_BIT in config.h)// Advance extrusion#if ENABLED(LIN_ADVANCE)bool use_advance_lead;uint16_t advance_speed, // STEP timer value for extruder speed offset ISRmax_adv_steps, // max. advance steps to get cruising speed pressure (not always nominal_speed!)final_adv_steps; // advance steps due to exit speedfloat e_D_ratio;#endifuint32_t nominal_rate, // The nominal step rate for this block in step_events/secinitial_rate, // The jerk-adjusted step rate at start of blockfinal_rate, // The minimal rate at exitacceleration_steps_per_s2; // acceleration steps/sec^2#if HAS_CUTTERcutter_power_t cutter_power; // Power level for Spindle, Laser, etc.#endif#if FAN_COUNT > 0uint8_t fan_speed[FAN_COUNT];#endif#if ENABLED(BARICUDA)uint8_t valve_pressure, e_to_p_pressure;#endif#if HAS_SPI_LCDuint32_t segment_time_us;#endif#if ENABLED(POWER_LOSS_RECOVERY)uint32_t sdpos;#endif} block_t;
_populate_block函数就是根据要规划的直线参数生成一个新的规划区块并填充它(有点像区块链)。我们进入_populate_block函数:
/*** Planner::_populate_block** Fills a new linear movement in the block (in terms of steps).** target - target position in steps units* fr_mm_s - (target) speed of the move* extruder - target extruder** Returns true is movement is acceptable, false otherwise*/
bool Planner::_populate_block(block_t * const block, bool split_move,const abce_long_t &target#if HAS_POSITION_FLOAT, const xyze_pos_t &target_float#endif#if IS_KINEMATIC && DISABLED(CLASSIC_JERK), const xyze_float_t &delta_mm_cart#endif, feedRate_t fr_mm_s, const uint8_t extruder, const float &millimeters/*=0.0*/
) {
const int32_t da = target.a - position.a,//position为上一个插补点的坐标,target-position为插补距离db = target.b - position.b,dc = target.c - position.c;
#if EXTRUDERSint32_t de = target.e - position.e;
#else
constexpr int32_t de = 0;
#endifuint8_t dm = 0;#if CORE_IS_XY......一大堆宏,看着好累#elseif (da < 0) SBI(dm, X_AXIS);if (db < 0) SBI(dm, Y_AXIS);if (dc < 0) SBI(dm, Z_AXIS);#endifif (de < 0) SBI(dm, E_AXIS);
// Clear all flags, including the "busy" bitblock->flag = 0x00;// Set direction bits //设置插补方向block->direction_bits = dm;.........//设置各轴插补步数block->steps.set(ABS(da), ABS(db), ABS(dc));.........//求出移动的距离sblock->millimeters = SQRT(#if CORE_IS_XYsq(delta_mm.head.x) + sq(delta_mm.head.y) + sq(delta_mm.z)#elif CORE_IS_XZsq(delta_mm.head.x) + sq(delta_mm.y) + sq(delta_mm.head.z)#elif CORE_IS_YZsq(delta_mm.x) + sq(delta_mm.head.y) + sq(delta_mm.head.z)#elsesq(delta_mm.x) + sq(delta_mm.y) + sq(delta_mm.z)#endif);//step_event_count设置为各轴最大移动步数block->step_event_count = _MAX(block->steps.a, block->steps.b, block->steps.c, esteps);.......//求出距离倒数1/sconst float inverse_millimeters = 1.0f / block->millimeters; // Inverse millimeters to remove multiple dividesfloat inverse_secs = fr_mm_s * inverse_millimeters;//求出时间的倒数1/t=v/s......//求出额定速度平方nominal_speed_sqr和额定速率nominal_rateblock->nominal_speed_sqr = sq(block->millimeters * inverse_secs); // (mm/sec)^2 Always > 0block->nominal_rate = CEIL(block->step_event_count * inverse_secs); // (step/sec) Always > 0.......//下面这段是设置加速度// Start with print or travel accelerationaccel = CEIL((esteps ? settings.acceleration : settings.travel_acceleration) * steps_per_mm);......block->acceleration_steps_per_s2 = accel;block->acceleration = accel / steps_per_mm;........//开始转角速度平方float vmax_junction_sqr;#if DISABLED(CLASSIC_JERK)xyze_float_t unit_vec =#if IS_KINEMATIC && DISABLED(CLASSIC_JERK)delta_mm_cart#else{ delta_mm.x, delta_mm.y, delta_mm.z, delta_mm.e }#endif;unit_vec *= inverse_millimeters;//求出当前线段单位向量 unit_vec={x/s,y/s,z/s}......// Skip first block or when previous_nominal_speed is used as a flag for homing and offset cycles.if (moves_queued && !UNEAR_ZERO(previous_nominal_speed_sqr)) {// Compute cosine of angle between previous and current path. (prev_unit_vec is negative)// NOTE: Max junction velocity is computed without sin() or acos() by trig half angle identity.//prev_unit_vec是上一段线段的单位向量,将unit_vec与-prev_unit_vec做点积就求出线段夹角余弦值cosθfloat junction_cos_theta = (-prev_unit_vec.x * unit_vec.x) + (-prev_unit_vec.y * unit_vec.y)+ (-prev_unit_vec.z * unit_vec.z) + (-prev_unit_vec.e * unit_vec.e);// NOTE: Computed without any expensive trig, sin() or acos(), by trig half angle identity of cos(theta).if (junction_cos_theta > 0.999999f) {// For a 0 degree acute junction, just set minimum junction speed.vmax_junction_sqr = sq(float(MINIMUM_PLANNER_SPEED));}else {NOLESS(junction_cos_theta, -0.999999f); // Check for numerical round-off to avoid divide by zero.// Convert delta vector to unit vectorxyze_float_t junction_unit_vec = unit_vec - prev_unit_vec;normalize_junction_vector(junction_unit_vec);const float junction_acceleration = limit_value_by_axis_maximum(block->acceleration, junction_unit_vec),sin_theta_d2 = SQRT(0.5f * (1.0f - junction_cos_theta)); // Trig half angle identity. Always positive.
//这里求sin(θ/2)//应用转角公式计算最大转角速度 v^2=a*rvmax_junction_sqr = (junction_acceleration * junction_deviation_mm * sin_theta_d2) / (1.0f - sin_theta_d2);if (block->millimeters < 1) {// Fast acos approximation, minus the error bar to be safeconst float junction_theta = (RADIANS(-40) * sq(junction_cos_theta) - RADIANS(50)) * junction_cos_theta + RADIANS(90) - 0.18f;// If angle is greater than 135 degrees (octagon), find speed for approximate arcif (junction_theta > RADIANS(135)) {const float limit_sqr = block->millimeters / (RADIANS(180) - junction_theta) * junction_acceleration;NOMORE(vmax_junction_sqr, limit_sqr);}}}// Get the lowest speedvmax_junction_sqr = _MIN(vmax_junction_sqr, block->nominal_speed_sqr, previous_nominal_speed_sqr);}else // Init entry speed to zero. Assume it starts from rest. Planner will correct this later.vmax_junction_sqr = 0;prev_unit_vec = unit_vec;#endif........block->max_entry_speed_sqr = vmax_junction_sqr;//设置最大初速度为最大转角速度// Initialize block entry speed. Compute based on deceleration to user-defined MINIMUM_PLANNER_SPEED.const float v_allowable_sqr = max_allowable_speed_sqr(-block->acceleration, sq(float(MINIMUM_PLANNER_SPEED)), block->millimeters);//求出允许的最大速度,v_allowable_sqr^2 =2as+MINIMUM_PLANNER_SPEED^2// If we are trying to add a split block, start with the// max. allowed speed to avoid an interrupted first move.block->entry_speed_sqr = !split_move ? sq(float(MINIMUM_PLANNER_SPEED)) : _MIN(vmax_junction_sqr, v_allowable_sqr);
.......
}
这里解释一下计算转角速度时的算法。如下图所示,P1P2与P2P3的夹角为θ,进而可求出求出sin(θ/2)=sqrt((1-cosθ)/2),根据设置的弧长容差h,有:sin(θ/2)=r/(r+h),进而可求出r=h*sin(θ/2)/(1-sin(θ/2))。有了r后可以由圆弧加速度公式:v*v=a*r,求出允许的最大转角速度v。

recalculate()函数
recalculate()函数代码:
void Planner::recalculate() {// Initialize block index to the last block in the planner buffer.const uint8_t block_index = prev_block_index(block_buffer_head);// If there is just one block, no planning can be done. Avoid it!if (block_index != block_buffer_planned) {reverse_pass();forward_pass();}recalculate_trapezoids();
}
速度前瞻算法在reverse_pass()和forward_pass()函数中实现,速度规划在recalculate_trapezoids()函数中实现。速度前瞻算法就是从当前待执行的区块往后规划很多个区块,使得每个区块的末速度等于前一个区块的初速度,并且每个区块的末速度与初速度满足关系:Ve^2-V0^2<=2*a*s。
reverse_pass()从当前新产生的区块往后递推到最前一个没有被处理过的区块,使得前后俩个区块的初速度V(i)满足V(i)^2<=V(i+1)^2+2*a*s。V(i+1)为该区块下一个区块的初速度。forward_pass()函数从最后一个被处理过的模块往前递推到当前新加入的区块,使得前后俩个区块的末速度满足V(i)^2<=V(i-1)^2+2*a*s。reverse_pass()规划的是区块的初速度,forward_pass()规划的是区块的末速度。
3 梯形速度与S形速度曲线规划
recalculate()中通过速度速度前瞻算法调整了各个区块以后,最后调用recalculate_trapezoids()执行速度曲线规划。该函数从当前已执行完的区块block_buffer_tail出开始往前到head_block_index,对之间的每个区块调用函数calculate_trapezoid_for_block(block, current_entry_speed * nomr, next_entry_speed * nomr),执行速度曲线规划算法。速度曲线默认是梯形速度曲线,如果使能了S_CURVE_ACCELERATION,则执行S形曲线规划。
梯形速度规划

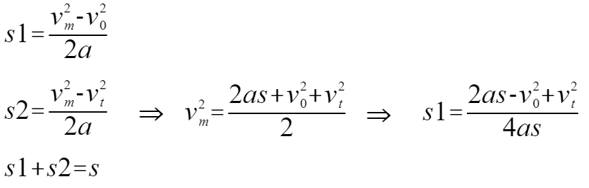
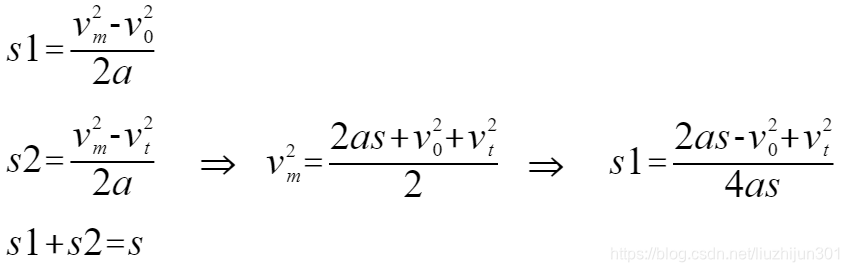
如左图所示,当采用梯形加速度法规划速度曲线时,初速度为𝑣0,末速度为𝑣t,正常运行速度为𝑣n。加速度段走过的距离s1=(𝑣n2-𝑣02)/2a,减速段曲线运行距离s3=(𝑣n2-𝑣t2)/2a,则恒速段走过的距离s2=s-s1-s2。若s2>0,则证明有恒速段,加速段和匀速段总距离sk为s1+s2。
当s2<0时没有恒速段时,曲线退化为只有加速和减速过程,如上边右图所示,设加速段和减速度段交点处速度为𝑣m,则有关系式:

当s1<0时,证明此时没有加速段只有减速段。当s1>s时,说明此时只有加速段没有减速段。由此可以求出加速段距离为s1,匀速段距离为0,则加速段和匀速段总距离sk=s1。这样在中断发波函数中,就可以根据已走过的距离s,若s
梯形速度规划函数calculate_trapezoid_for_block()的作用就是根据初速度v0,末速度vt,最大工作速度vn、加速度a和运动距离s规划计算出加速距离s1,以及开始减速距离sk=s1+s2(加速段加上匀速段,过后就是减速度了)。中断发波部分代码将在后文降到。
S形速度规划
Marlin2.0中使用的S形速度规划是基于梯形速度规划,先做好梯形速度规划,然后将加速段和减速段改成S形加减速曲线。用的S形曲线时6点Bezier曲线。
6点Bezier曲线是5阶形式:
V(t) = P_0 * B_0(t) + P_1 * B_1(t) + P_2 * B_2(t) + P_3 * B_3(t) + P_4 * B_4(t) + P_5 * B_5(t),0 其中: B_0(t) = (1-t)^5 = -t^5 + 5t^4 - 10t^3 + 10t^2 - 5t + 1 B_1(t) = 5(1-t)^4 * t = 5t^5 - 20t^4 + 30t^3 - 20t^2 + 5t B_2(t) = 10(1-t)^3 * t^2 = -10t^5 + 30t^4 - 30t^3 + 10t^2 B_3(t) = 10(1-t)^2 * t^3 = 10t^5 - 20t^4 + 10t^3 B_4(t) = 5(1-t) * t^4 = -5t^5 + 5t^4 B_5(t) = t^5 = t^5 V(t)可以改写为: V(t) = A*t^5 + B*t^4 + C*t^3 + D*t^2 + E*t + F 其中: A = -P_0 + 5*P_1 - 10*P_2 + 10*P_3 - 5*P_4 + P_5 B = 5*P_0 - 20*P_1 + 30*P_2 - 20*P_3 + 5*P_4 C = -10*P_0 + 30*P_1 - 30*P_2 + 10*P_3 D = 10*P_0 - 20*P_1 + 10*P_2 E = - 5*P_0 + 5*P_1 F = P_0 我们希望初始加速度和初始jerk都为0,因此我们设置P_i=P_0 = P_1 = P_2 (initial velocity),P_t = P_3 = P_4 = P_5 (target velocity),经过简化以后有: A = - 6*P_i + 6*P_t = 6*(P_t - P_i) B = 15*P_i - 15*P_t = 15*(P_i - P_t) C = -10*P_i + 10*P_t = 10*(P_t - P_i) D = 0 E = 0 F = P_i 此时有 V(t) = A*t^5 + B*t^4 + C*t^3 + F [0 <= t <= 1] buffer_segment()函数中,调用_buffer_steps()根据直线参数规划完区块以后,马上调用wake_up()函数开启定时器中断,召唤stepper.cpp中的isr()中断函数执行规划好的区块,最后发送电机驱动脉冲。中断ISR是最终的执行部分,它从区块队列中取出一个待执行区块,执行了Bresenham多轴插补算法,并且根据规划好的速度曲线生成对应的速度,进而生成对应的占空比取控制脉冲频率。中断函数isr()调用了stepper_pulse_phase_isr()执行插补,调用stepper_block_phase_isr()执行区块速度规划。 calculate_trapezoid_for_block()函数
void Planner::calculate_trapezoid_for_block(block_t* const block, const float &entry_factor, const float &exit_factor) {//这里计算初速度和末速度uint32_t initial_rate = CEIL(block->nominal_rate * entry_factor),final_rate = CEIL(block->nominal_rate * exit_factor); // (steps per second)// Limit minimal step rate (Otherwise the timer will overflow.)NOLESS(initial_rate, uint32_t(MINIMAL_STEP_RATE));NOLESS(final_rate, uint32_t(MINIMAL_STEP_RATE));//定义S形曲线的最大速度cruise_rate #if ENABLED(S_CURVE_ACCELERATION)uint32_t cruise_rate = initial_rate;#endif//取区块的加速度aconst int32_t accel = block->acceleration_steps_per_s2;//这里先假设存在匀速段,匀速段速度vn,计算加速段s1和减速段s2// Steps required for acceleration, deceleration to/from nominal rateuint32_t accelerate_steps = CEIL(estimate_acceleration_distance(initial_rate, block->nominal_rate, accel)),decelerate_steps = FLOOR(estimate_acceleration_distance(block->nominal_rate, final_rate, -accel));//这里计算匀速段距离s3=s-s1-s2// Steps between acceleration and deceleration, if anyint32_t plateau_steps = block->step_event_count - accelerate_steps - decelerate_steps;// Does accelerate_steps + decelerate_steps exceed step_event_count?// Then we can't possibly reach the nominal rate, there will be no cruising.// Use intersection_distance() to calculate accel / braking time in order to// reach the final_rate exactly at the end of this block.if (plateau_steps < 0) {//匀速段距离小于0,不存在匀速段,此时重新计算加速距离s1,和最大速度cruise_rate const float accelerate_steps_float = CEIL(intersection_distance(initial_rate, final_rate, accel, block->step_event_count));accelerate_steps = _MIN(uint32_t(_MAX(accelerate_steps_float, 0)), block->step_event_count);plateau_steps = 0;#if ENABLED(S_CURVE_ACCELERATION)// We won't reach the cruising rate. Let's calculate the speed we will reachcruise_rate = final_speed(initial_rate, accel, accelerate_steps);//计算最大#endif}#if ENABLED(S_CURVE_ACCELERATION)else // We have some plateau time, so the cruise rate will be the nominal ratecruise_rate = block->nominal_rate;//存在匀速段,最大速度等于vn#endif//如果使能S曲线,则计算加速时间、减速时间#if ENABLED(S_CURVE_ACCELERATION)// Jerk controlled speed requires to express speed versus time, NOT stepsuint32_t acceleration_time = ((float)(cruise_rate - initial_rate) / accel) * (STEPPER_TIMER_RATE),deceleration_time = ((float)(cruise_rate - final_rate) / accel) * (STEPPER_TIMER_RATE);// And to offload calculations from the ISR, we also calculate the inverse of those times hereuint32_t acceleration_time_inverse = get_period_inverse(acceleration_time);uint32_t deceleration_time_inverse = get_period_inverse(deceleration_time);#endif// Store new block parametersblock->accelerate_until = accelerate_steps;block->decelerate_after = accelerate_steps + plateau_steps;block->initial_rate = initial_rate;#if ENABLED(S_CURVE_ACCELERATION)block->acceleration_time = acceleration_time;block->deceleration_time = deceleration_time;block->acceleration_time_inverse = acceleration_time_inverse;block->deceleration_time_inverse = deceleration_time_inverse;block->cruise_rate = cruise_rate;#endifblock->final_rate = final_rate;
}4 中断发波ISR
stepper_pulse_phase_isr()
void Stepper::stepper_pulse_phase_isr() {......//这里step_error初始在stepper_block_phase_isr()中刚取到新区块时,初始值为-step_event_countadvance_dividend初始化为各轴待插补步数*2,delta_error[AXIS]加上步数advance_divided[AXIS]
若大于0,则这个轴脉冲#define PULSE_PREP(AXIS) do{ \delta_error[_AXIS(AXIS)] += advance_dividend[_AXIS(AXIS)]; \step_needed[_AXIS(AXIS)] = (delta_error[_AXIS(AXIS)] >= 0); \if (step_needed[_AXIS(AXIS)]) { \count_position[_AXIS(AXIS)] += count_direction[_AXIS(AXIS)]; \delta_error[_AXIS(AXIS)] -= advance_divisor; \} \}while(0)// Start an active pulse, if Bresenham says so, and update position#define PULSE_START(AXIS) do{ \if (step_needed[_AXIS(AXIS)]) { \_APPLY_STEP(AXIS)(!_INVERT_STEP_PIN(AXIS), 0); \ } \}while(0)// Stop an active pulse, if any, and adjust error term//发波,就是让对应的引脚翻转#define PULSE_STOP(AXIS) do { \if (step_needed[_AXIS(AXIS)]) { \_APPLY_STEP(AXIS)(_INVERT_STEP_PIN(AXIS), 0); \} \}while(0)// Determine if pulses are needed#if HAS_X_STEPPULSE_PREP(X); #endif#if HAS_Y_STEPPULSE_PREP(Y);#endif#if HAS_Z_STEPPULSE_PREP(Z);#endif......// Pulse start#if HAS_X_STEPPULSE_START(X);#endif#if HAS_Y_STEPPULSE_START(Y);#endif#if HAS_Z_STEPPULSE_START(Z);#endif
}stepper_block_phase_isr()
uint32_t Stepper::stepper_block_phase_isr() {.......// If there is a current blockif (current_block) {//step_events_completed >= step_event_count,区块执行完毕,将该区块从队列中删除// If current block is finished, reset pointerif (step_events_completed >= step_event_count) {#ifdef FILAMENT_RUNOUT_DISTANCE_MMrunout.block_completed(current_block);#endifaxis_did_move = 0;current_block = nullptr;planner.discard_current_block();}else {// Step events not completed yet...// Are we in acceleration phase ? 加速段if (step_events_completed <= accelerate_until) { // Calculate new timer value#if ENABLED(S_CURVE_ACCELERATION)//s形加速段,执行bezeier速度公式V(t) = A*t^5 + B*t^4 + C*t^3 + F// Get the next speed to use (Jerk limited!)uint32_t acc_step_rate =acceleration_time < current_block->acceleration_time? _eval_bezier_curve(acceleration_time): current_block->cruise_rate;#else //梯形加速段,v=initial_rate+a*tacc_step_rate = STEP_MULTIPLY(acceleration_time, current_block->acceleration_rate) + current_block->initial_rate;NOMORE(acc_step_rate, current_block->nominal_rate);#endif// acc_step_rate is in steps/second// step_rate to timer interval and steps per stepper isrinterval = calc_timer_interval(acc_step_rate, oversampling_factor, &steps_per_isr);acceleration_time += interval;#if ENABLED(LIN_ADVANCE)if (LA_use_advance_lead) {// Fire ISR if final adv_rate is reachedif (LA_steps && LA_isr_rate != current_block->advance_speed) nextAdvanceISR = 0;}else if (LA_steps) nextAdvanceISR = 0;#endif // LIN_ADVANCE}// Are we in Deceleration phase ? 减速段else if (step_events_completed > decelerate_after) {uint32_t step_rate;#if ENABLED(S_CURVE_ACCELERATION)//s形减速段,执行bezier减速段公式// If this is the 1st time we process the 2nd half of the trapezoid...if (!bezier_2nd_half) {// Initialize the Bézier speed curve_calc_bezier_curve_coeffs(current_block->cruise_rate, current_block->final_rate, current_block->deceleration_time_inverse);bezier_2nd_half = true;// The first point starts at cruise rate. Just save evaluation of the Bézier curvestep_rate = current_block->cruise_rate;}else {// Calculate the next speed to usestep_rate = deceleration_time < current_block->deceleration_time? _eval_bezier_curve(deceleration_time): current_block->final_rate;}#else//梯形减速段,v=final_rate-a*t// Using the old trapezoidal controlstep_rate = STEP_MULTIPLY(deceleration_time, current_block->acceleration_rate);if (step_rate < acc_step_rate) { // Still decelerating?step_rate = acc_step_rate - step_rate;NOLESS(step_rate, current_block->final_rate);}elsestep_rate = current_block->final_rate;#endif// step_rate is in steps/second// step_rate to timer interval and steps per stepper isrinterval = calc_timer_interval(step_rate, oversampling_factor, &steps_per_isr);deceleration_time += interval;#if ENABLED(LIN_ADVANCE)if (LA_use_advance_lead) {// Wake up eISR on first deceleration loop and fire ISR if final adv_rate is reachedif (step_events_completed <= decelerate_after + steps_per_isr || (LA_steps && LA_isr_rate != current_block->advance_speed)) {nextAdvanceISR = 0;LA_isr_rate = current_block->advance_speed;}}else if (LA_steps) nextAdvanceISR = 0;#endif // LIN_ADVANCE}// We must be in cruise phase otherwise 匀速段else {#if ENABLED(LIN_ADVANCE)// If there are any esteps, fire the next advance_isr "now"if (LA_steps && LA_isr_rate != current_block->advance_speed) nextAdvanceISR = 0;#endif// Calculate the ticks_nominal for this nominal speed, if not done yetif (ticks_nominal < 0) {// step_rate to timer interval and loops for the nominal speedticks_nominal = calc_timer_interval(current_block->nominal_rate, oversampling_factor, &steps_per_isr);}// The timer interval is just the nominal value for the nominal speedinterval = ticks_nominal;}}}//从队列中取一个规划好的区块并准备执行if (!current_block) {.......// Based on the oversampling factor, do the calculationsstep_event_count = current_block->step_event_count << oversampling;// Initialize Bresenham delta errors to 1/2delta_error = -int32_t(step_event_count);//初始化Bresenham参数// Calculate Bresenham dividends and divisorsadvance_dividend = current_block->steps << 1;advance_divisor = step_event_count << 1;// No step events completed so farstep_events_completed = 0;// Compute the acceleration and deceleration pointsaccelerate_until = current_block->accelerate_until << oversampling;decelerate_after = current_block->decelerate_after << oversampling;.......//计算bezeier系数#if ENABLED(S_CURVE_ACCELERATION)// Initialize the Bézier speed curve_calc_bezier_curve_coeffs(current_block->initial_rate, current_block->cruise_rate, current_block->acceleration_time_inverse);// We haven't started the 2nd half of the trapezoidbezier_2nd_half = false;#endif.......}}
本文来自互联网用户投稿,文章观点仅代表作者本人,不代表本站立场,不承担相关法律责任。如若转载,请注明出处。 如若内容造成侵权/违法违规/事实不符,请点击【内容举报】进行投诉反馈!
