Advanced Vision lecture 3 Optical Flow
temporal information: 时间信息
典型建模:
motion cues: 用cue points标记人/物,反映其移动时的姿态
比如刻画正在运动的一个人,或者发生冲突的几个人
Some Applications Involving Temporal Information:
- Action Recognition
- Structure from Motion
- Applications to Graphics
…
Problem: 预测出时间戳t和t+1之间的图像

引出Optical Flow的定义:
Optical flow or optic flow is the pattern of apparent motion of objects, surfaces, and edges in a visual scene caused by the relative motion between an observer and a scene. (wiki)
也就是人眼中物体移动的模式
相对概念:motion field:物体实际移动的情况
sources of motion:
scene, camera…都有可能是移动的(2*2=4种情况)
表示视频的方式:(此处提到过去的Vision Experience)
这门课要有vision方面的prerequisites,必须课下补上readings

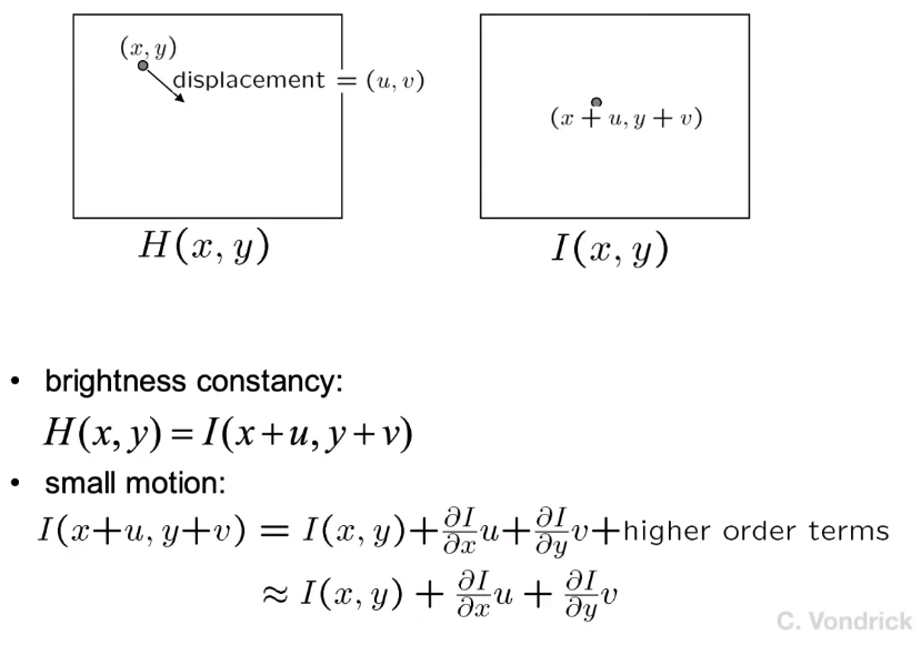
[算法]color/brightness constancy assumption:
根据颜色/亮度选择最近的点,视作该点上一帧的位置
Brightness Constancy 的数学表述:

Aperture Problem and Solving it:
光圈问题和解决方式:
Spatial Coherence Constraint:
假设实际不在一个平面的两点有相同的(u,v)
u,v是平面坐标?
没听懂

Optical Flow的Aliasing问题:
? 发生偏移…
解决方式:Reduce resolution
Robust Estimation 的Penalty function:
全是平方,为了…?

数据集:
- Middlebury (2007)
- Sintel
- KITTI (2012)
- FlyingChairs(2015) 有足够数据训练CNN
不同的学习Optical Flow的网络结构:
- FlowNet
- SpyNet
- Self-Supervised Flow(自学习 不需要外部数据)
Backward flow就是forward flow反过来:

基础概念:
warp:图像扭曲
具体怎么扭曲有具体的warp function
Guest Talk:
谷歌学者Deqing Sun
从三个方面讲了关于Optical Flow:
1、Network
成就:构造了参数更小,Error而更小(Better Performance)的PWC-Net
2、Data
关于FlyingChair的一些问题,如何构造Optical flow的data set,实验效果(3~4个物体在sintel上表现最好等)
3、Application
比如谷歌官方已经推出的:脸部去除模糊,视频慢动作补全等
本文来自互联网用户投稿,文章观点仅代表作者本人,不代表本站立场,不承担相关法律责任。如若转载,请注明出处。 如若内容造成侵权/违法违规/事实不符,请点击【内容举报】进行投诉反馈!
