FAPI 10,成纤维细胞激活蛋白,FAP具有二肽酶活性,还有胶原酶活性
一、试剂基团反应特点(Reagent group reaction characteristics):
FAPI-10,成纤维细胞激活蛋白(fibroblast activation protein,FAP)是隶属于脯氨酰寡肽酶家族的II型跨膜丝氨酸蛋白酶,FAP不仅表现出二肽酶活性,还有胶原酶活性。它在除肽链外肽酶活性的同时,也具有独特的肽链内肽酶活性。此外,FAP在发挥蛋白酶功能的同时,也能独立于其蛋白酶功能而直接参与细胞间信号转导。
二、基础产品数据(Basic Product Data):
CAS号:N/A
中文名:成纤维细胞活化蛋白抑制剂-10
英文名:FAPI-10
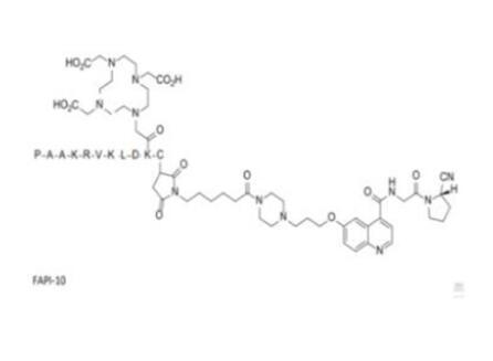
结构式(Structural):

三、详细产品数据(Detailed Product Data):
分子式:N/A
分子量:N/A
纯度标准:95%+,具体的试剂可以在线进行咨询
存储条件:20℃下,同时在阴凉,干燥,通风良好的库房
包装规格:1g、5g、10g等(根据情况会进行相应的定制分装)
溶解性:溶于大部分有机溶剂,如:DCM、DMF、DMSO、THF等等,在水中有很好的溶解性
库存:可和供应商进行沟通
使用注意事项:取用时保持干燥的环境,避免多次频繁解进行冷冻取用
四、cyclo试剂系列产品(Reagent series products):
cyclo(Trp-Tyr)
cyclo(D-Trp-Tyr)
cyclo(Trp-Trp)
cyclo(Ser-Tyr)
cyclo(Ser-Ser)
cyclo(Pro-Val)
cyclo(Pro-Thr)
cyclo(Phe-Trp)
Cyclo(Phe-Ser)
cyclo(Phe-Pro)
cyclo(Phe-Phe)
cyclo(Leu-Trp)
Cyclo(D-Leu-D-Pro)
cyclo(Leu-Phe)
cyclo(His-Phe)
cyclo(Gly-Trp)
温馨提示:所有的试剂仅用于科研实验。
文章编辑作者:西安凯新生物科技有限公司小编WMJ
本文来自互联网用户投稿,文章观点仅代表作者本人,不代表本站立场,不承担相关法律责任。如若转载,请注明出处。 如若内容造成侵权/违法违规/事实不符,请点击【内容举报】进行投诉反馈!
