NH2-FAPI-04,成纤维细胞活化蛋白抑制剂连接氨基,FAPI-04-amine,Amine-FAPI-04
中文名:成纤维细胞活化蛋白抑制剂连接氨基
英文名:NH2-FAPI-04
化学式:C26H31F2N7O4
分子量:543.6 g/mol
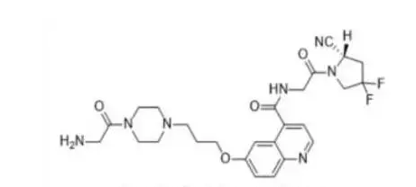
结构式:

产品描述:
FAPI是FAP的特异性抑制剂。在这些FAPI中,含有DOTA配体(FAPI-04)的[68Ga]Ga-DOTA-FAPI-04 PET/CT能显示出良好的体内药代动力学,导致快速肾脏清除和注射后10分钟至3小时的低背景活性。不久之后,[68Ga]Ga-DOTA-FAPI-04正电子发射断层扫描/计算机断层扫描(PET/CT)被应用于不同肿瘤实体的快速成像,具有异常清晰的肿瘤轮廓和高的肿瘤背景对比度。
纯度:95%+
保存条件:避光,干燥,-20℃保存
注意事项:取用一定要干燥,避免频繁的溶解和冻干。
温馨提示:仅用于科学研究或者工业应用等目的,非药用,非食用
相关点击试剂产品:
DOTA-DBCO
DOTA-PEG5-DBCO
DOTA-PEG5-azide
DOTA-Acrylamide
DOTA-PEG3-azide
(S)-DOTAGA-(COOt-Bu)4
DOTA-CH2-Alkynyl (TFA salt)
DOTA-CH2-Alkynyl(HCl salt)
DOTA-(COOt-Bu)3-CH2-Alkynyl
DOTA-CH2-Ph-azide(HCl salt)
DOTA-(COOt-Bu)3-CH2-Ph-azide
DOTA-PEG5-amine DOTA-PEG5-amine HCl salt
DOTA-PEG4-MeTz DOTA-四聚乙二醇-甲基四嗪
KLS。
本文来自互联网用户投稿,文章观点仅代表作者本人,不代表本站立场,不承担相关法律责任。如若转载,请注明出处。 如若内容造成侵权/违法违规/事实不符,请点击【内容举报】进行投诉反馈!
