Energy Band
要求:会画并且会解释
半导体是根据导电性来区分的
微观机理:Band Theory

density of states 状态密度,我们一个原子有不同能级,固体会有能带,我在不同能量上会有能带,固体上有很多电子处在不同能带或者能级上,DOS指的是某一个能量上电子态的密度以及数量
HDOS 表示在这个能量上有很多电子态
ZDOS 表示没有供电子占据的电子态
电子态(空的轨道)
房间举例,越往前能量越高,所以没有人坐,自己就是电子,电子态就是座位(就是电子云中空的轨道,又出现的几率,但是还没有被占领)
电子态多不代表电子多
有两种分布:电子态分布,电子的分布
电子态的分布和电子的分布有什么不同呢?
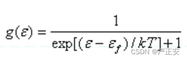
费米狄拉克分布

量纲:单位,但是与一般的单位不同,这个单位蕴含着对物理量的一个理解,根据单位感觉这个物理量表示什么(搞不清楚的时候先分析量纲)
费米狄拉克分布的量纲 : 无量纲
表示的是占据概率(座位被同学占据的概率),在不同的能级或能带上,电子态被电子占据的概率,可以用费米狄拉克分布来描述,(固体物理含义:我在不同的电子态中,电子占据这些电子态的概率分布,实际上是一个energy分布)
holes表示空位的数量
本文来自互联网用户投稿,文章观点仅代表作者本人,不代表本站立场,不承担相关法律责任。如若转载,请注明出处。 如若内容造成侵权/违法违规/事实不符,请点击【内容举报】进行投诉反馈!

