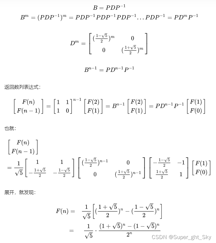
Fibonacci数列的研究
Fibonacci通项分析
参考文章:https://zhuanlan.zhihu.com/p/375097164

或者


暴力法时间复杂度分析
参考文章:
https://zhuanlan.zhihu.com/p/257214075
https://zhuanlan.zhihu.com/p/256344121


或

本文来自互联网用户投稿,文章观点仅代表作者本人,不代表本站立场,不承担相关法律责任。如若转载,请注明出处。 如若内容造成侵权/违法违规/事实不符,请点击【内容举报】进行投诉反馈!