LFM(转)
1.说明
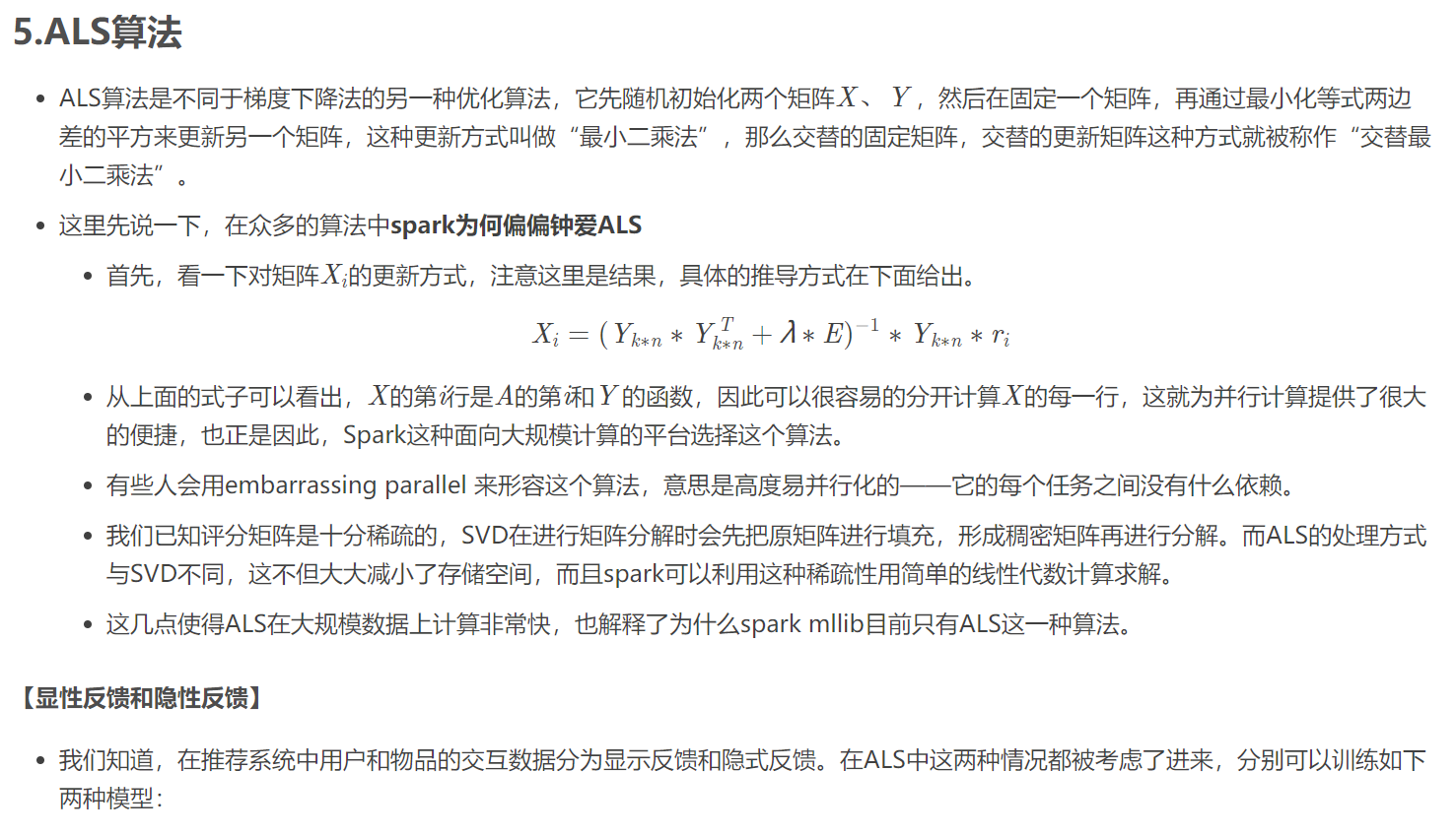
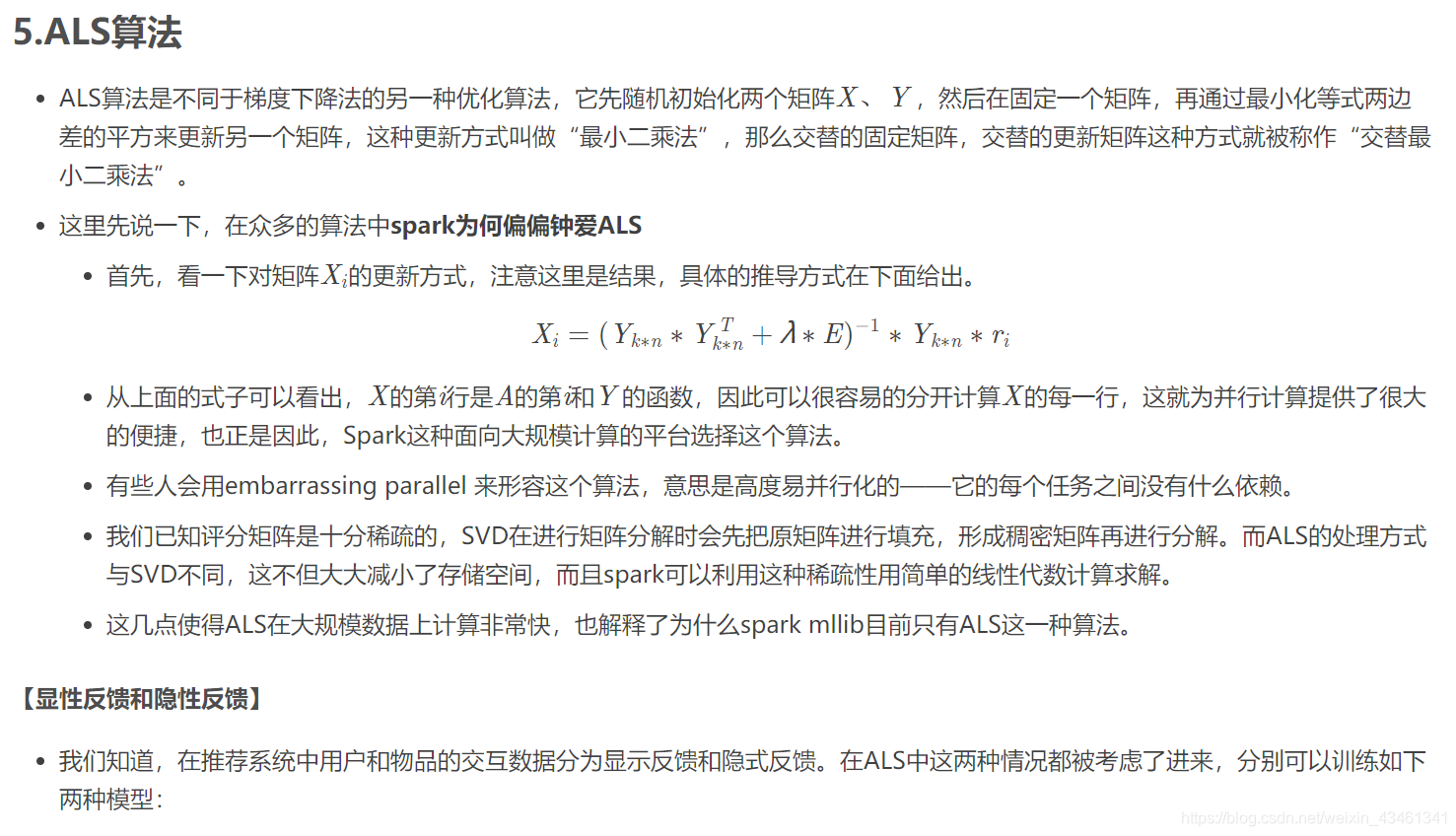
在推荐系统中有两种协同过滤的方式。
一种是基于邻域的方式,这种方式又包含了基于用户的和基于物品的,这种方式实现简单,而且效果也是非常的不错,唯一的缺点是对待稀疏矩阵的时候表现乏力。因此诞生了下面的方式。
方式二是基于模型的方式,也就是矩阵分解的方式,这种方式将推荐问题转化为了机器学习问题。


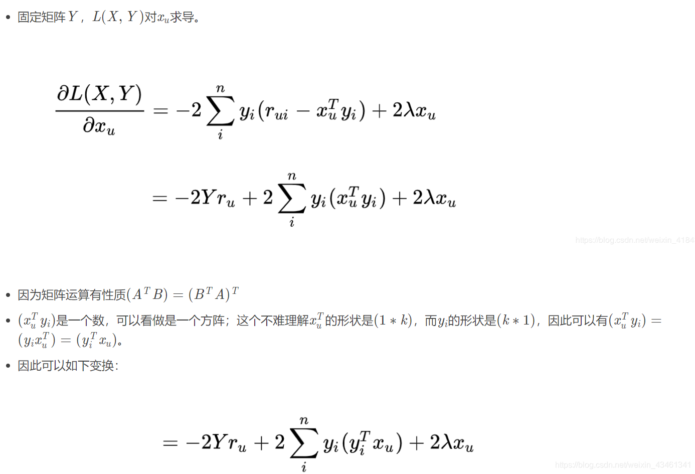
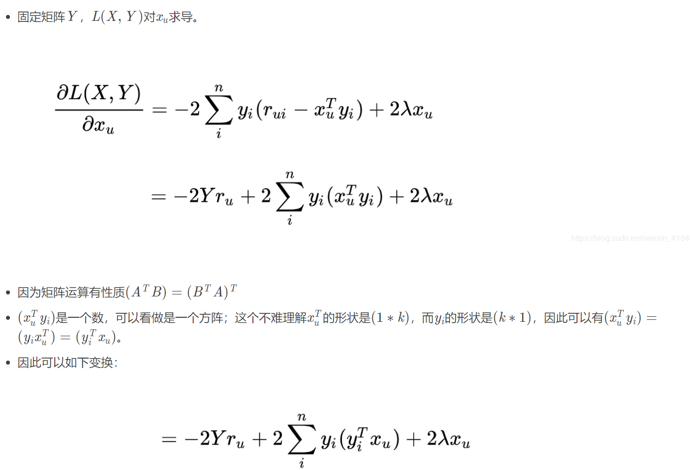
为了防止overfitting,添加正则项控制过拟合。




_coding:utf-8 _
author = “ricky”
import random
import math
class LFM(object):
def __init__(self, rating_data, F, alpha=0.1, lmbd=0.1, max_iter=500):""":param rating_data: rating_data是[(user,[(item,rate)]]类型:param F: 隐因子个数:param alpha: 学习率:param lmbd: 正则化:param max_iter:最大迭代次数"""self.F = Fself.P = dict() # R=PQ^T,代码中的Q相当于博客中Q的转置self.Q = dict()self.alpha = alphaself.lmbd = lmbdself.max_iter = max_iterself.rating_data = rating_data'''随机初始化矩阵P和Q'''for user, rates in self.rating_data:self.P[user] = [random.random() / math.sqrt(self.F)for x in range(self.F)]for item, _ in rates:if item not in self.Q:self.Q[item] = [random.random() / math.sqrt(self.F)for x in range(self.F)]def train(self):"""随机梯度下降法训练参数P和Q:return: """for step in range(self.max_iter):for user, rates in self.rating_data:for item, rui in rates:hat_rui = self.predict(user, item)err_ui = rui - hat_ruifor f in range(self.F):self.P[user][f] += self.alpha * (err_ui * self.Q[item][f] - self.lmbd * self.P[user][f])self.Q[item][f] += self.alpha * (err_ui * self.P[user][f] - self.lmbd * self.Q[item][f])self.alpha *= 0.9 # 每次迭代步长要逐步缩小def predict(self, user, item):""":param user::param item::return:预测用户user对物品item的评分"""return sum(self.P[user][f] * self.Q[item][f] for f in range(self.F))
if name == ‘main’:
‘’‘用户有A B C,物品有a b c d’’’
rating_data = list()
rate_A = [(‘a’, 1.0), (‘b’, 1.0)]
rating_data.append((‘A’, rate_A))
rate_B = [(‘b’, 1.0), (‘c’, 1.0)]
rating_data.append((‘B’, rate_B))
rate_C = [(‘c’, 1.0), (‘d’, 1.0)]
rating_data.append((‘C’, rate_C))
lfm = LFM(rating_data, 2)
lfm.train()
for item in ['a', 'b', 'c', 'd']:print(item, lfm.predict('A', item)) # 计算用户A对各个物品的喜好程度


* coding:utf-8 *
author = “Ricky”
import random
import math
class BiasLFM(object):
def __init__(self, rating_data, F, alpha=0.1, lmbd=0.1, max_iter=500):'''rating_data是list<(user,list<(position,rate)>)>类型'''self.F = Fself.P = dict()self.Q = dict() # 相当于博客中Q的转置self.bu = dict()self.bi = dict()self.alpha = alphaself.lmbd = lmbdself.max_iter = max_iterself.rating_data = rating_dataself.mu = 0.0'''随机初始化矩阵P和Q'''cnt = 0for user, rates in self.rating_data:self.P[user] = [random.random() / math.sqrt(self.F)for x in range(self.F)]self.bu[user] = 0cnt += len(rates)for item, rate in rates:self.mu += rateif item not in self.Q:self.Q[item] = [random.random() / math.sqrt(self.F)for x in range(self.F)]self.bi[item] = 0self.mu /= cntdef train(self):'''随机梯度下降法训练参数P和Q'''for step in range(self.max_iter):for user, rates in self.rating_data:for item, rui in rates:hat_rui = self.predict(user, item)err_ui = rui - hat_rui# 更新偏置self.bu[user] += self.alpha * (err_ui - self.lmbd * self.bu[user])self.bi[item] += self.alpha * (err_ui - self.lmbd * self.bi[item])for f in range(self.F):# 更新P、Qself.P[user][f] += self.alpha * (err_ui * self.Q[item][f] - self.lmbd * self.P[user][f])self.Q[item][f] += self.alpha * (err_ui * self.P[user][f] - self.lmbd * self.Q[item][f])self.alpha *= 0.9 # 每次迭代步长要逐步缩小def predict(self, user, item):'''预测用户user对物品item的评分'''return sum(self.P[user][f] * self.Q[item][f] for f in range(self.F)) + self.bu[user] + self.bi[item] + self.mu
if name == ‘main’:
‘’‘用户有A B C,物品有a b c d’’’
rating_data = list()
rate_A = [(‘a’, 1.0), (‘b’, 1.0)]
rating_data.append((‘A’, rate_A))
rate_B = [(‘b’, 1.0), (‘c’, 1.0)]
rating_data.append((‘B’, rate_B))
rate_C = [(‘c’, 1.0), (‘d’, 1.0)]
rating_data.append((‘C’, rate_C))
lfm = BiasLFM(rating_data, 2)
lfm.train()
for item in ['a', 'b', 'c', 'd']:print(item, lfm.predict('A', item)) # 计算用户A对各个物品的喜好程度


coding:utf-8
author = “ricky”
import random
import math
class SVDPP(object):
def __init__(self, rating_data, F, alpha=0.1, lmbd=0.1, max_iter=500):'''rating_data是list<(user,list<(position,rate)>)>类型'''self.F = Fself.P = dict()self.Q = dict() # 相当于博客中Q的转置self.Y = dict()self.bu = dict()self.bi = dict()self.alpha = alphaself.lmbd = lmbdself.max_iter = max_iterself.rating_data = rating_dataself.mu = 0.0'''随机初始化矩阵P、Q、Y'''cnt = 0for user, rates in self.rating_data:self.P[user] = [random.random() / math.sqrt(self.F)for x in range(self.F)]self.bu[user] = 0cnt += len(rates)for item, rate in rates:self.mu += rateif item not in self.Q:self.Q[item] = [random.random() / math.sqrt(self.F)for x in range(self.F)]if item not in self.Y:self.Y[item] = [random.random() / math.sqrt(self.F)for x in range(self.F)]self.bi[item] = 0self.mu /= cntdef train(self):'''随机梯度下降法训练参数P和Q'''for step in range(self.max_iter):for user, rates in self.rating_data:z = [0.0 for f in range(self.F)]for item, _ in rates:for f in range(self.F):z[f] += self.Y[item][f]ru = 1.0 / math.sqrt(1.0 * len(rates))s = [0.0 for f in range(self.F)]for item, rui in rates:hat_rui = self.predict(user, item, rates)err_ui = rui - hat_ruiself.bu[user] += self.alpha * (err_ui - self.lmbd * self.bu[user])self.bi[item] += self.alpha * (err_ui - self.lmbd * self.bi[item])for f in range(self.F):s[f] += self.Q[item][f] * err_uiself.P[user][f] += self.alpha * (err_ui * self.Q[item][f] - self.lmbd * self.P[user][f])self.Q[item][f] += self.alpha * (err_ui * (self.P[user][f] + z[f] * ru) - self.lmbd * self.Q[item][f])for item, _ in rates:for f in range(self.F):self.Y[item][f] += self.alpha * (s[f] * ru - self.lmbd * self.Y[item][f])self.alpha *= 0.9 # 每次迭代步长要逐步缩小def predict(self, user, item, ratedItems):'''预测用户user对物品item的评分'''z = [0.0 for f in range(self.F)]for ri, _ in ratedItems:for f in range(self.F):z[f] += self.Y[ri][f]return sum((self.P[user][f] + z[f] / math.sqrt(1.0 * len(ratedItems))) * self.Q[item][f] for f in range(self.F)) + \self.bu[user] + self.bi[item] + self.mu
if name == ‘main’:
‘’‘用户有A B C,物品有a b c d’’’
rating_data = list()
rate_A = [(‘a’, 1.0), (‘b’, 1.0)]
rating_data.append((‘A’, rate_A))
rate_B = [(‘b’, 1.0), (‘c’, 1.0)]
rating_data.append((‘B’, rate_B))
rate_C = [(‘c’, 1.0), (‘d’, 1.0)]
rating_data.append((‘C’, rate_C))
lfm = SVDPP(rating_data, 2)
lfm.train()
for item in ['a', 'b', 'c', 'd']:print(item, lfm.predict('A', item, rate_A) ) # 计算用户A对各个物品的喜好程度

//显性反馈模型
val model1 = ALS.train(ratings, rank, numIterations, lambda)
//隐性反馈模型
val model2 = ALS.trainImplicit(ratings, rank, numIterations, lambda, alpha)






本文来自互联网用户投稿,文章观点仅代表作者本人,不代表本站立场,不承担相关法律责任。如若转载,请注明出处。 如若内容造成侵权/违法违规/事实不符,请点击【内容举报】进行投诉反馈!
