量化交易软件:衡量指标信息
概述
机器学习依靠数据训练来学习市场的一般行为,最终做出相当准确的预测。 所选学习算法必须遍历精心挑选的样本,以便提取有意义的信息。 许多人未能成功应用这些精密工具的原因是,大多数有意义的信息都隐藏在嘈杂的数据当中。 对于许多策略开发人员来说可能并不清楚,他们选取的数据集可能不适合模型训练。
指标可考虑作为针对基础价格序列携带有关信息的提供者。 利用这个前提,熵可以用来衡量指标传达了多少信息。 使用 Timothy Masters 撰写的《测试和优调市场交易系统(TTMTS)》一书中记录的步骤和工具,赫兹量化来演示如何使用这些步骤和工具来评估指标数据的结构。
为什么要衡量指标信息
通常,在使用机器学习工具进行策略开发时,赫兹量化只是简单地将各种数据扔给算法,希望能从中得到一些结果。 最终的成功将取决于模型中所用的预测变量的品质,且有效的预测因子通常具有某种特征。 其中之一充满了重要的信息内容。
在模型训练的变量中信息量很重要,但并不是有效模型训练的唯一要求。 因此,衡量信息内容可在训练过程中筛选盲目选用的指标。
熵
在 MQL5.com 上撰写有关熵的文章已有很多次了。 我要向读者们道歉,因为他们将不得不忍受另一个定义,但我保证这对于理解该概念的应用至关重要。 之前的文章已经提供了熵计算的历史和推导,所以为了简洁起见,我们直接从方程开始。

编辑
添加图片注释,不超过 140 字(可选)
H(X) 表示 X 的熵,X 是表示任意变量的离散变量,例如一条消息。 消息的内容只能假定有限数量的值。 这在等式中表示为小写的 x。 小写 x 是消息的观测值,如此,如果 x 的所有可能值都可在一个集合 N 中列举。
研究一个公平骰子的例子。 掷骰子时,可以被视为提供信息,判定游戏的结果。 骰子有 6 条独特的边,编号为 1 到 6。 观察到任何朝上的数字的概率是 1/6。
依此示例,大写 X 是骰子,小写 x 可以是骰子侧面绘制的任何数字。 所有这些都置于集合 N ={ 1,2,3,4,5,6}。 应用公式,这个骰子的熵是 0.7781。

编辑
添加图片注释,不超过 140 字(可选)
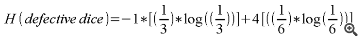
现在考虑另一个骰子,它有制造缺陷。 它有 2 个面,上面画着相同的数字。 对于这个有缺陷的骰子,集合 N 的可能值是 {1,1,3,4,5,6}。 再次使用该公式,赫兹量化得到的平均熵值为 0.6778。

编辑切换为居中
添加图片注释,不超过 140 字(可选)
比较这些值,我们注意到信息内容减少了。 分析两个骰子,当观察每个可能值的概率都相等时,熵方程产生其最大可能值。 因此,当所有可能值的概率相等时,熵达到其最大平均值。
如果我们丢弃有缺陷的骰子,作为产生传统实数输出的指标。 那么,X 成为指标,小写 x 则将是指标可以承担的数值范围。 在继续之前,赫兹量化遇到了一个问题,因为熵方程严格处理离散变量。 变换方程操控连续变量是可能的,但是这样应用是困难的,故此坚持离散数的领域更容易。
计算指标的熵
若要将熵方程应用于连续变量,我们必须指标的值离散化。这是通过将数值范围划分为大小相等的区间,然后计算落入每个区间的数值个数来完成的。 使用这种方法,枚举指标所有值的最大范围的原始集合被被子集替换,每个子集都是选定的区间。
在处理连续变量时,可以依据变量假设概率变化的可能值,因为它显然为熵应用于指标提供了一个重要的方面。
回到抛骰子的第一个例子。 如果我们将最终熵值的每一个除以各自熵 n 的 log(N)。 第一个骰子产生 1,而有缺陷的骰子产生 0.87。 将熵值除以变量数值个数的对数,可以假设产生的度量对应于变量的理论最大熵。 其可称为比例或相对熵。
正是这个数值,在我们评估指标时起到大用,因为该指标能示意熵与其理论最大平均值的接近程度。 它越接近最大值那一侧越好,而指标另一个端点的任何内容也许是暗示,在任何类型的机器学习尝试中,该指标都只是一个劣等候选者。

编辑
添加图片注释,不超过 140 字(可选)
最终应用的等式如上所示,代码在下面以 mql5 脚本实现,可在文章末尾的附件里下载。 使用该脚本,赫兹量化就能够分析大多数指标。
计算指标熵的脚本
用户调用脚本时可调整以下参数:
-
TimeFrame - 选定分析指标值的时间帧。
-
IndicatorType - 用户可在此选择一个内置指标进行分析。 若要指定自定义指标,请选择自定义指标选项,并在下一个参数值中输入指标名称。
-
CustomIndicatorName - 如果上一个参数选择了自定义指标选项,则用户必须在此处输入正确的指标名称。
-
UseDefaults - 如果设置为 true,将使用指标中的硬编码作为默认的用户输入。
-
IndicatorParameterTypes - 这是以逗号分隔的字符串,必须按照正确顺序列出指标的数据类型 — 一个可能的输入示例,假设要分析的指标分别接受 4 个输入:双精度、整数、整数、字符串类型;用户只需输入 “double, integer, integer, string”,也支持缩写形式 “d, i, i, s”,其中 d= double,i=integer 以及 s=string。 列举值映射为整数类型。
-
IndicatorParameterValues - 与前面的输入一样,这也是一个以逗号分隔的数值列表,例如,使用前面的示例 “0.5, 4, 5, string_value”。 如果指标参数值或指标参数类型的参数格式有任何错误,将导致指标的默认值无法破译,或丢失。 检查智能系统,以便获取错误消息。 请注意,此处无需包含指标名称,如果考虑自定义指标,则必须由 CustomIndicatorName 指定。
-
IndicatorBuffer - 用户可以规定要分析的指标缓冲区编号。
-
HistoryStart - 历史记录样本的开始日期。
-
HistorySize - 相对于历史开始要分析的柱线数量。
-
Intervals - 此参数指示为离散化过程创建的编号间隔。 TTMTS 的作者为几千个样本量指定了 20 个区间,其中 2 个被规定为硬性最小值。我已在相应的数值上添加了自己的数值转轮,则相对于样本大小实现了改变区间数的可能性,特别是每 1000 个样本可划分 51 个。 如果用户输入的任何值小于 2,则此选项可用。 故此,需要明确的是,将区间设置为任何小于 2 的数字,使用的区间数量将根据所分析的柱线数量而变化。
//--- input parameters input ENUM_TIMEFRAMES Timeframe=0; input ENUM_INDICATOR IndicatorType=IND_BEARS; input string CustomIndicatorName=""; input bool UseDefaults=true; input string IndicatorParameterTypes=""; input string IndicatorParameterValues=""; input int IndicatorBuffer=0; input datetime HistoryStart=D'2023.02.01 04:00'; input int HistorySize=50000; input int Intervals=0; int handle=INVALID_HANDLE; double buffer[]; MqlParam b_params[]; //+------------------------------------------------------------------+ //| Script program start function | //+------------------------------------------------------------------+ void OnStart() { if(!processParameters(UseDefaults,b_params)) return; int y=10; while(handle==INVALID_HANDLE && y>=0) { y--; handle=IndicatorCreate(Symbol(),Timeframe,IndicatorType,ArraySize(b_params),b_params); } //--- if(handle==INVALID_HANDLE) { Print("Invalid indicator handle, error code: ",GetLastError()); return; } ResetLastError(); //--- if(CopyBuffer(handle,IndicatorBuffer,HistoryStart,HistorySize,buffer)<0) { Print("error copying to buffer, returned error is ",GetLastError()); IndicatorRelease(handle); return; } //--- Print("Entropy of ",(IndicatorType==IND_CUSTOM)?CustomIndicatorName:EnumToString(IndicatorType)," is ",relativeEntroy(Intervals,buffer)); //--- IndicatorRelease(handle); } //+------------------------------------------------------------------+ //+------------------------------------------------------------------+ //| | //+------------------------------------------------------------------+ bool processParameters(bool use_defaults,MqlParam ¶ms[]) { bool custom=(IndicatorType==IND_CUSTOM); string ind_v[],ind_t[]; int types,values; if(use_defaults) types=values=0; else { types=StringSplit(IndicatorParameterTypes,StringGetCharacter(",",0),ind_t); values=StringSplit(IndicatorParameterValues,StringGetCharacter(",",0),ind_v); } int p_size=MathMin(types,values); int values_to_input=ArrayResize(params,(custom)?p_size+1:p_size); if(custom) { params[0].type=TYPE_STRING; params[0].string_value=CustomIndicatorName; } //if(!p_size) // return true; if(use_defaults) return true; int i,z; int max=(custom)?values_to_input-1:values_to_input; for(i=0,z=(custom)?i+1:i; i 只需注意为间隔选择的值:更改计算中使用的间隔数,将改变最终熵值。 在进行分析时,明智的做法是保持某种一致性,以尽量减少所使用的独立输入的影响。 在脚本中,相对熵计算封装在 Entropy.mqh 文件中定义的函数之中。
本文来自互联网用户投稿,文章观点仅代表作者本人,不代表本站立场,不承担相关法律责任。如若转载,请注明出处。 如若内容造成侵权/违法违规/事实不符,请点击【内容举报】进行投诉反馈!
