光学双目视觉
光学基本知识
物体表面的光
一束光打到一个平面上的损耗:反射光,折射光,漫反射光
相机获取的是漫反射光,不用反射光的原因是反射光的强度过大可能会引起相机的过曝
成像系统的重要参数
焦点:相机的镜头是一组透镜,当平行于主光轴的光线穿过透镜时,会聚到一点上,这个点叫做焦点
焦距:焦点到透镜中心(即光心)的距离

物距:指物体到透镜光心的距离
像距:是像到平面镜(或透镜的光心)之间的距离
景深:景深是指能清晰成像的最远平面和最近平面的距离。也就是说,在景深范围内,不同工作距离的物体都可以“清晰”的成像。
光圈数值:放挡板改变进光量,调节景深
ccd:ccd中文全称电荷耦合元件。可以称为ccd图像传感器,也叫图像控制器。ccd是一种半导体器件,能够把光学影像转化为电信号。
成像镜头
pinhole模型:针孔相机投影
针孔相机的原理就是初中时代学的小孔成像

telecetric lens model

双目视觉
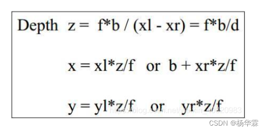
双眼时差带来立体感,通过视差做双目测量


这样可以求得深度z
本文来自互联网用户投稿,文章观点仅代表作者本人,不代表本站立场,不承担相关法律责任。如若转载,请注明出处。 如若内容造成侵权/违法违规/事实不符,请点击【内容举报】进行投诉反馈!
