Splay之萌新版
【学习笔记】平衡树 - S p l a y \mathrm{Splay} Splay
I \mathrm{I} I 平衡树
- 平衡树是什么?顾名思义就是左儿子与右儿子相平衡的 (即左儿子的权值小于根节点,右儿子大于根节点的权值)

- 而 s p l a y splay splay也是利用这样的性质来进行旋转的
I I \mathrm{II} II S p l a y \mathrm{Splay} Splay
2.1 2.1 2.1 r o t a t e \mathrm{rotate} rotate 操作
-
这个操作比较重要,也比较麻烦。我们可以看图理解。
-
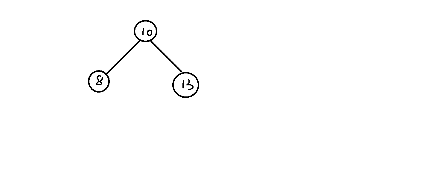
首先我们建立一颗平衡树(下图
-
我们设 10 10 10那个电 z z z, 8 8 8那个电 y y y, 7 7 7那个电 x x x。那么 z , y z,y z,y分别是 y , x y,x y,x的父亲。我们现在想要把 x x x旋到 y y y上。那么我们会得到的图:
- 首先 x x x成为 z z z的左儿子,又发现 y y y成了 x x x的右儿子(依然合法,平衡树的性质)。如果 x x x本身有右儿子那么就会成为 y y y的左儿子。于是我们就有了下面的代码:
inline void rotate(int x)
{int y=t[x].fa;//x的父亲int z=t[y].fa;//y的父亲int k=t[y].ch[1]==x;//x是y的右儿子t[z].ch[t[z].ch[1]==y]=x;//如果z原来y变成xt[x].fa=z;t[y].ch[k]=t[x].ch[k^1];//x的与x原来在y的相对的那个儿子变成y的儿子t[t[x].ch[k^1]].fa=y;t[x].ch[k^1]=y;t[y].fa=x;//y的父亲是x
}
2.2 2.2 2.2 S p l a y \mathrm{Splay} Splay 操作
- 这个操作就是把一个节点旋到根节点的操作(难道只要简单地旋两次就行了
- 这个操作我们分两种情况讨论
- x , y x,y x,y分别为 y , z y,z y,z的同一方向上的儿子
- x , y x,y x,y不为 y , z y,z y,z的同一方向上的儿子
- 那么我们大力发现:对于情况一我们先旋 y y y再旋 x x x,对于情况二我们直接旋两次 x x x(不理解可以手动滑稽一下
- 于是我们就有了下面的代码:
inline void SPlay(int x,int p)
{while(t[x].fa!=p){int y=t[x].fa;int z=t[y].fa;if(z!=p) (t[z].ch[0]==y)^(t[y].ch[0]==x)?rotate(x):rotate(y);//讨论是不是同属一个方向上的儿子,然后讨论是那种旋转方式rotate(x);}if(!p) root=x;//如果旋到的是根那么就更行根
}
2.3 2.3 2.3 f i n d \mathrm{find} find 操作
- f i n d \mathrm{find} find顾名思义就是寻找那个元素具体的位置
- 我们考虑平衡树的性质:越往左越小,越往右越大。于是我们只要不停地向左(如果要找的数更加小)向右递归找答案就行了。找到后把他 s p l a y splay splay到根节点。有点类似与二分查找操作。
- 复杂度 O ( log n ) O(\log n) O(logn)
- 于是我们就有了下面的代码:
inline void Find(int x)
{int u=root;if(!u) return;while(t[u].ch[x>t[u].val]&&x!=t[u].val) //一直找不到向左向右递归u=t[u].ch[x>t[u].val];SPlay(u,0);//再旋到根节点
}
2.4 2.4 2.4 I n s e r t \mathrm{Insert} Insert 操作
- 就是加入一个元素 x x x的操作。
- 其实这个操作和上面那个差不多。就是先找在树上有没有这个节点,如果本身就有我们只要对那个点进行操作。否则新开一个节点来存储信息。最后再把这个点 s p l a y splay splay到根就可以了。注意在向下寻找的过程中始终记录他的父亲是什么。
- 于是我们就有了下面的代码:
inline void insert(int x)
{int u=root,ff=0;while(u&&t[u].val!=x){ff=u;//记录父亲u=t[u].ch[t[u].val<x];//寻找}if(u) t[u].cnt++;//如果找到了那么就在原来基础上更新else {u=++tot;//新开一个节点if(ff) t[ff].ch[x>t[ff].val]=u;t[tot].ch[1]=t[tot].ch[0]=0;t[tot].fa=ff;t[tot].siz=1;t[tot].cnt=1;t[tot].val=x;//对那个各个信息节点进行修改}SPlay(u,0);//再旋到根
}
2.5 2.5 2.5 N e x t \mathrm{Next} Next 操作
- 其实就是寻找某个元素的前驱以及后继
- 我们以前驱为例来介绍一下:先确定前驱比他小,所以在左子树上。然后他的前驱是左子树中最大的值所以一直跳右结点就可以了。
- 后继同理不在赘述
- 于是我们就有了下面的代码:
inline int Next(int x,int f)//前驱0
{Find(x);//先寻找int u=root;if(t[u].val>x&&f) return u;//是不是前驱/后继if(t[u].val<x&&!f) return u; u=t[u].ch[f];while(t[u].ch[f^1]) u=t[u].ch[f^1];//要反过来,因为前缀是在右子树里寻找最大的,后继是在左子树寻找最小的return u;
}
2.6 2.6 2.6 d e l e t e \mathrm{delete} delete操作
- 删除操作吗。。。真的不太想说了。
- 我们首先找到这个树的前驱把他旋到根,再找到后继节点旋到根节点下面。于是在右子树比后继小的且比前驱大的有且仅有当前数。然后再看这个节点的数量来处理就行了。如果只有 1 1 1个直接根除。否则再把那个点(后继的左儿子)旋到根节点。
- 于是我们就有了下面的代码:
inline void Del(int x)
{int las=Next(x,0);int nex=Next(x,1);//前驱后继SPlay(las,0);SPlay(nex,las);//旋丫旋int del=t[nex].ch[0];//那个点就是后继的左儿子if(t[del].cnt>1){t[del].cnt--;SPlay(del,0);//旋到根节点}else t[nex].ch[0]=0;//直接删除
}
本文来自互联网用户投稿,文章观点仅代表作者本人,不代表本站立场,不承担相关法律责任。如若转载,请注明出处。 如若内容造成侵权/违法违规/事实不符,请点击【内容举报】进行投诉反馈!
