R语言:二项分布
在概率论和统计学中,二项分布(英语:Binomial distribution)是n个独立的是/非试验中成功的次数的离散概率分布,其中每次试验的成功概率为p。这样的单次成功/失败试验又称为伯努利试验。实际上,当n = 1时,二项分布就是伯努利分布 引自Wiki。
R具有四个内置函数来生成二项分布:
dbinom(x, size, prob)
pbinom(x, size, prob)
qbinom(p, size, prob)
rbinom(n, size, prob)
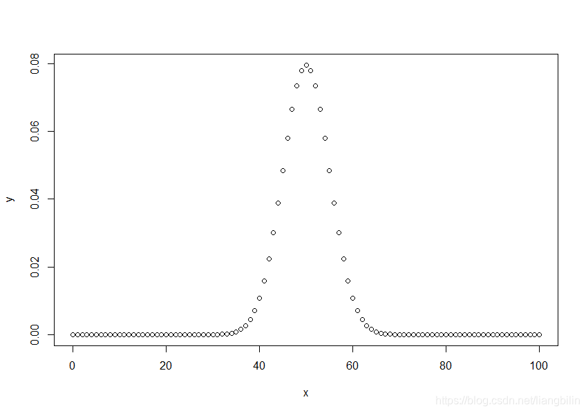
其中,dbinom 的模拟抛硬币实验如下:
- 假设抛100次硬币
x <- seq(0,100,1)
- 二项分布的结果为:
y <- dbinom(x,100,0.5)
- 绘制二项分布图
plot(x,y)

本文来自互联网用户投稿,文章观点仅代表作者本人,不代表本站立场,不承担相关法律责任。如若转载,请注明出处。 如若内容造成侵权/违法违规/事实不符,请点击【内容举报】进行投诉反馈!
