DPN
Paper : Dual Path Networks
Code : official
摘要
作者首先将ResNeXt和DenseNet使用HORNN的框架统一起来,说明了两个符合直觉的结论
- ResNeXt模型具有较高的特征复用性
- DenseNet模型可以更好的探索新特征
接着,尝试使用直接将两个网络合并成一个网络,并说明在准确率良好的情况下,相比ResNeXt和DenseNet,计算力和模型规模更小。个人感觉结合方式没什么创新,分析得到的结论倒是值得一看。
网络结构
简单描述一下HORNN与ResNet和DenseNet之间的关系
- ResNet复用了前面层已提取过的特征,除去这些直连的复用特征外,真正由卷积提取出来的特征基本都是之前没有提取到过的全新特征,所以ResNet特征冗余度比较低。
- DenseNet前面层提取出的特征不再是被后面层简单的复用,而是创造了全新的特征,这种结构后面层用卷积提取到的特征很有可能是前面层已提取过的,所以DenseNet特征冗余度高。
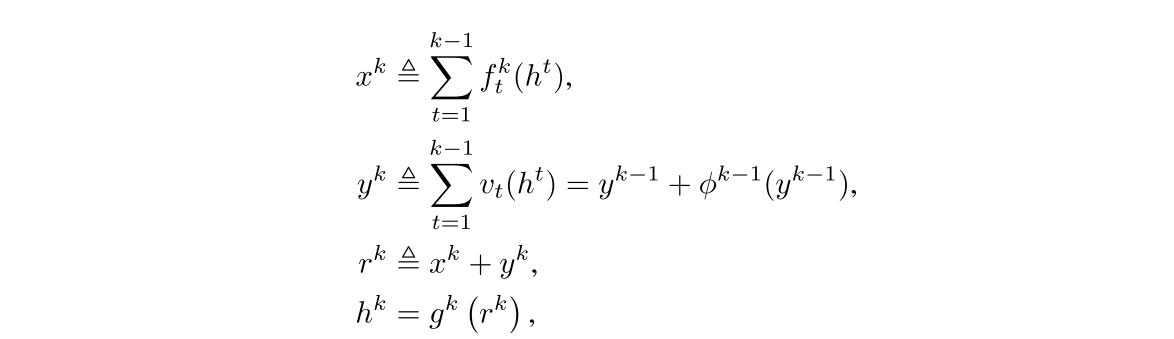
DPN结合了两者的优点,既要复用特征,低冗余率,又要给予模型足够的灵活性发现新特征,表达式如下
其中 x k x^k xk为DenseNet path, y k y^k yk为ResNet path,从网络结构直观上看表示如下
参考的DPN网络结构设计
核心观点
- 对ResNet和DenseNet的优点进行了较为细致的分析
- 提出了将ResNext和DenseNet结合的方法
本文来自互联网用户投稿,文章观点仅代表作者本人,不代表本站立场,不承担相关法律责任。如若转载,请注明出处。 如若内容造成侵权/违法违规/事实不符,请点击【内容举报】进行投诉反馈!
