音乐和白噪声对新生儿重症监护室中的新生儿脑电功能连接的影响
The Effect of Music and White Noise on Electroencephalographic (EEG) Functional Connectivity in Neonates in the Neonatal Intensive Care Unit
引言
新生儿期是大脑快速发育的时期,这一时期的大脑容易受到各种因素的影响.
多项研究对噪声暴露对发育中的早产儿的潜在不利影响提出了担忧.
与令人不快的听觉暴露相比,音乐可以是一种积极的听觉刺激.在新生儿重症监护病房的早产儿中,音乐疗法改善了新生儿的行为状态\血氧饱和度\心率和呼吸频率,缩短了住院时间.
音乐是一种有效的新生儿重症监护室干预方法,但是由于研究手段方法的限值,目前对于音乐是如何影响大脑早期发育的任然未知.
本研究的目的是在前瞻性随机交叉试验中确定新生儿听音乐或听白噪声时脑电功能连通性是否有所不同.为听觉干预在新生儿人重症监护室中的应用提供可靠证据.
材料和方法
被试:
10名胎龄大于34周的新生儿被纳入研究
研究设计:
前瞻性随机交叉设计,受试者被随机分为两组,第一组先听音乐后听白噪声,第二组先听白噪声后听音乐.
音乐和白噪声的A-weighted声压级水平为45-50dB,白噪声和音乐之间间隔2小时,以防止溢出效应.
脑电图记录
采用11个头皮电极(FP1、FP2、C3、C4、T3、T4、O1、O2、Fz、Cz和Pz)记录EEG。单个参考电极位于Pz后方1 cm处,采样频率为256 Hz。
脑电数据预处理后,手动分为8-20秒的EEG片段,用于后续同步似然分析。
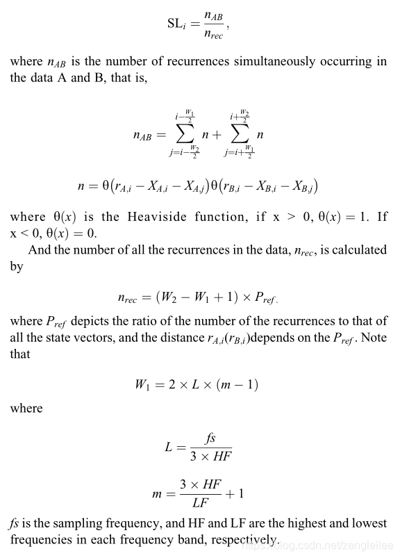
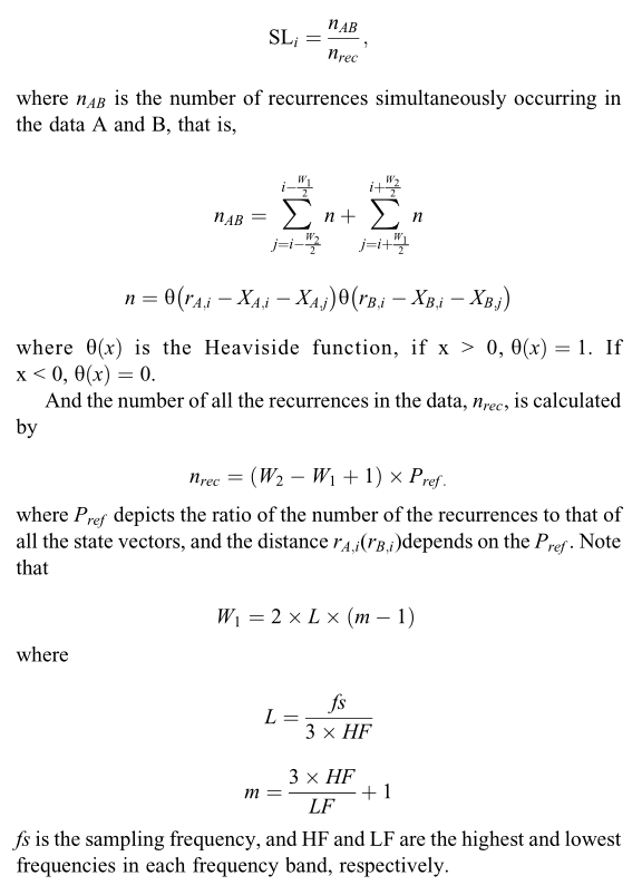
Synchronization Likelihood 同步似然率
同步似然率(SL)被用来度量任意两个电极之间的连通性。同步似然率是任意两个电极之间的同步指数,它基于在每个给定间隔内每个系统中相似图案出现的时间来指示相似图案在两个系统中同时出现的频率。该研究选择同步似然率进行功能连通性分析,因为同步似然率给出了2个或更多同时记录的时间序列之间的动态相互依赖的直接归一化、无偏估计.
同步似然率的原理及实现过程,如下所示.(我看不懂🐶🐶)


结果


Bonferroni方法调整的显著性水平为0.017
本文来自互联网用户投稿,文章观点仅代表作者本人,不代表本站立场,不承担相关法律责任。如若转载,请注明出处。 如若内容造成侵权/违法违规/事实不符,请点击【内容举报】进行投诉反馈!
