双工位堆垛机路径优化方法
导语
大家好,我是智能仓储物流技术研习社的社长,你的老朋友,老K。行业群
新书《智能物流系统构成与技术实践》
作者:昆明理工大学杨烈兵/吕宏
来源:《软件》
自动化立体仓库作为物流自动化系统的一个核心和枢纽,具有很高的空间利用率和很强的出入库能力,是物流系统实现物流合理化的关键所在。
而堆垛机是立体仓库中的主要搬运设备,由于仓库的搬运量很大,而堆垛机容量又有限,堆垛机在整个物流周期中的行驶时间占比较大,如果堆垛机的调度不当,会严重影响堆垛机的工作效率,进而直接影响立体仓库的整体效率。因此,堆垛机路径优化显得尤其重要。

一、锂电池化成库模型
图1是锂电化成库结构图,它主要由以下几部分组成:
(1)货架,用于存放电池的货架,每个货格一个货位,每个货位存放一托盘单位电池,由巷道数、列数和层数决定可以存放电池的数量;
(2)堆垛机,运送电池托盘,往返于出入库口和货位之间,通过货叉的伸缩完成货物的存放与取出;
(3)出入库台,出入库台与输送线连接,存放和取出货物均由出入库台进出仓库;
(4)管理控制中心,包括整个立体仓库的信息、数据处理、监控、操作台等。
堆垛机由计算机控制,按照计算机的指令依次对电池进行存取,由于短时间内存取任务较多,出入库的顺序不同,堆垛机所运行的路径和时间也会不同,合理的作业路径能有效提高堆垛机的作业效率。

图1 锂电化成库结构图
图2锂电化成库平面简化图,货位号从出入库口开始顺序顺序排列直到仓库顶层。其运行过程主要依靠堆垛机沿X轴的水平方向和Y轴的垂直方向在巷道中移动到达货物所在的层列,然后再通过货叉的横移动作实现货物的存取。

图2 立体仓库货位示意图
文中锂电池化成库为同端出入库式,堆垛机以托盘为单位进行搬运,货架每个货位只能存放一托盘电池,且仓库规模大,搬运量大。
堆垛机为双工位堆垛机,即堆垛机上有两个工位,最多只能同时有两个电池托盘在堆垛机上,一次作业做多完成两托盘电池的入库和两托盘电池的出库。
双工位堆垛机进行一次满载作业时,如图3所示,执行作业时堆垛机从出入库台O点取电池托盘依次进入A4点存放电池,B4点存或取电池,C4点存或取电池,D4点取电池,最后返回O点将所取电池放置出入库台,运出仓库。所运行的总路程为:


图3 堆垛机满载作业方式
同样,当存取货物数量少于4时,堆垛机取货路径有以下几种情况,如图4所示,搬运不同数量所走的总路程分别为:


图4 堆垛机未满载时作业方式
二、数学模型
结合双工位堆垛机实际情况可知,双工位堆垛机存取货具有一定的条件限制,即每次最多存两个货物取两个货物,且当需要存两个货物时堆垛机第一个到达的货物必须为存货位置;需要取两个货物时,堆垛机到达的最后一个货位必须为取货位置。固定货架及堆垛机运行参数作如下设定。
设定1:考虑到曲线运动的复杂性,本文货物在出入库时是按照直线运动;
设定2:一个巷道只有一台堆垛机,双工位堆垛机两个并排工位在模型中看做一个点存取货;
设定3:货位间距为常数,货格高度为H,货格宽度为L;
设定4:设入口处为O,坐标为(0,0);
设定5:堆垛机存取电池,存取任务足够时优先进行复合作业。
根据模型假设的基本描述,本文模型主要优化目标是优化堆垛机的作业路径,缩短堆垛机搬运总路程,提高出入库的效率。
堆垛机一次作业要存取的货物共j个,堆垛机从出入库台O(0,0)点取需要存的货物依次经过第i个作业货位i(Xi,Yi),直到到达最后一个作业货位j(Xj,Yj)完成操作,最后返回O(0,0)完成一次作业。一次遍历j个货位的存取货作业所走的路程为:

在一批存取货任务中,设存货任务m个,取货任务n个

则这批存取货任务中堆垛机总运行路径为:

upint为向上取整,完成一批任务的存取作业,可以对每次存取作业的路径进行优化,合理安排存取货位顺序,使堆垛机运行总路径最短。
三、遗传算法的设计
3.1 染色体编码设计
模型采用实数编码方式,染色体信息包括货位编码、存取货需求以及货位操作顺序。编码由两层组成,上层表示需要存取货物的货位编号,下层采用0-1编码,编号0表示需要存入货物的货位,编号1表示需要取出货物的货位。编码方式如下:
1:一条染色体表示一种堆垛机完成一次任务所有货物存取的路径。
2:一条染色体可以分为n段,每段代表一个基因,每个基因表示堆垛机一次作业存取货的路径,其中n表示染色体中堆垛机从出库台取货存入仓库,再从仓库取出货物到出库台的作业次数。
3:每段基因由上下两层组成,上层表示货位编号,下层表示所对应的货位存取货需求,0表示需要存货,1表示需要取货。
4:每段基因长度为1-4,最多存在两个存两个取,即下层编码最多两个1,两个0;且存在两个存货时,第一个编码必为0,存在两个取货时,最后一个编码必为1。
如图5所示,堆垛机从出入库台搬货依次进入4号货位存货,12号货位取货,7号货位存货,5号货位取货,最后将所取货物搬回出入库台运出立体仓库,完成一次作业。
然后重新搬取货物依次进入9号货位存货,3号货位存货,6号货位取货,1号货位取货,完成第二次作业。整条染色体表示一批货物存取货路径方案。

图5 货位编码方式
3.2 种群初始化
初始化种群时,先设置种群规模为M,然后采用随机配的方法产生种群,将需要作业的货位随机分配,为了避免产生不可行解,需保证每个基因片段中最多存在两个存货货位与两个取货货位,且存在两个存货货位时第一个必须为存货货位,存在两个取货货位时最后一个货位必须为取货货位。
3.3 定义适应度函数
适应度函数用来区分种群中个体好坏的标准,本文目标是求堆垛机总路程S最小值,因此把函数值的倒数作为个体适应度值,函数值越小,适应度值越大,个体越优秀。

3.4 选择操作
选择操作就是按照优胜劣汰的原则对种群中的基因进行筛选,适应度越高的个体被选中的几率越大,保证优秀基因的延续。本文采用轮盘赌法,从旧群体中以一定的概率选择优良个体组成新的群体,每个染色体被选中的概率为

3.5 交叉操作
本文采用部分映射杂交,确定交叉操作的父代,将父代样本两两分组,每组进行以下过程:首先,每隔4个货位划分一个基因片段,然后从待交配的2个父代中随机选择一个基因片段进行交叉,剩余基因片段不变。
交叉后同一个个体中有重复的货位编号,用*号表示,有冲突的货位采用部分映射的方法消除冲突,即利用交换片段的货位码值对应关系进行映射。交叉操作过程如图6所示。

图6 交叉操作
3.6 变异操作
变异操作是模拟自然界生物进化中的个体基因突变,目的是为了保持种群多样性。本文的变异策略为随机选择染色体中两个货位码值相同的位置进行对换,如选择货位码值均为1的12和6两个货位的位置进行对换,得到变异后的染色体。操作过程如图7所示。

图7 变异操作
四、仿真结果与分析
本文采用MATLAB对模型进行仿真,遗传算法参数设定如下:
货架每个货格高度H=460mm,货格宽度L=810mm。以堆垛机运行的路径最短为目标进行仿真,选取仓库一批存取货任务,12个存货任务,10个取货任务,相应货位编号信息如表2和表3所示。
表1 遗传算法参数选取

表2 存货信息表

表3 取货信息表

图8为堆垛机随机策略运行轨迹图,即随机挑选货位进行存取货作业的运行轨迹图,堆垛机运行路径依次为 106-78-127-42 65-28-151-91 87-57-21-81 110-71-43-178 93-166-140-130 142-174,运行总路程为153019mm。

图8 随机策略堆垛机运行轨迹图
图9为堆垛机最邻策略运行轨迹图,即随机选取第一个存货任务,然后依次选取最邻近的可作业货位进行操作,直至遍历所有任务货位的轨迹图。堆垛机运行路径依次为87-71-106-140 174-142-178-127 57-91-93-42 110-78-130-81 43-28-65-21 166-151,运行的总路程为116549mm。

图9 最邻策略堆垛机运行轨迹图
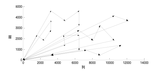
图10为遗传算法优化后得到的存取货任务轨迹图,堆垛机运行路径依次为142-178-174-140 87-106-71-21 43-42-57-91 151-166-130-127 78-81-65-28 110-93,运行总路程为107232mm。

图10 遗传算法优化后堆垛机运行轨迹图
由以上3张堆垛机运行轨迹图,可以明显看出经过遗传算法改进后的堆垛机存取路径明显优于随机存取和最邻策略存取的路径。
遗传算法改进后的路径相比随机存取路径减少了29.92%,相比最邻存取策略路径减少了7.99%。对比有效验证了遗传算法在双工位堆垛机路径优化的实用性及优越性,为双工位以及多工位堆垛机的路径优化提供一定的参考价值。
五、结语
堆垛机出入库出入库效率问题一直是立体仓库优化研究的重点,不同的出入库方式,不同的出入库路径都会对立体仓库的整体效率产生影响。
本文针对锂电池化成库的运行特点以及双工位堆垛机存取货的特殊性,将遗传算法应用到双工位堆垛机存取货的路径优化中,从仿真结果来看,得到了较好的存取车顺序,减少了堆垛机的运行总路程。
验证了遗传算法在双工位堆垛机的路径优化问题中的可行性。另外,一些对模型简化的条件假设会对货物出入库效率产生不同影响,这些问题的解决还需要做进一步研究。
知名企业
读者福利:
👉抄底-仓储机器人-即买即用-免调试
👉甲乙双方人脉互配神器--->千人俱乐部
福利
知识社区:主要包含智能仓储物流自动化规划设计,自动化立体库、智能机器人,自动化拣选系统,仓储管理软件WMS,AGV/AMR应用等。
免费提供一些解决方案、行业报告、PPT、电子书、手册、技术资料等干货(目前30G+,并实时更新),全部可下载。


更多推荐
工厂规划方法流程:137页
最全提升机大盘点:12种!
2023年中国物流信息软件系统行业概览
AGV系统设计解析:布局-车体-对接-对接-数量计算-路径规划
建设“库架合一”立体库|你必须要知道的细节!
自动化箱式存储系统设计与系统构架
立体库的好基友|各类自动化输送系统
AGV智能仓储管理系统的设计思路
实例剖析--自动化立体库效率提升方案
货架计算与设计
收藏|堆垛机故障大全及解决办法
巷道堆垛机基本知识要点
本文来自互联网用户投稿,文章观点仅代表作者本人,不代表本站立场,不承担相关法律责任。如若转载,请注明出处。 如若内容造成侵权/违法违规/事实不符,请点击【内容举报】进行投诉反馈!

