文章目录
- 1. 前言
- 2. LSTM原理
- 2.1 整体框架
- 2.2 遗忘门
- 2.3 输入门
- 2.4 cell state(细胞状态更新)
- 2.5 输出门
- 3. LSTM小结
1. 前言
LSTM是RNN的一个变种,都属于lstm系列。

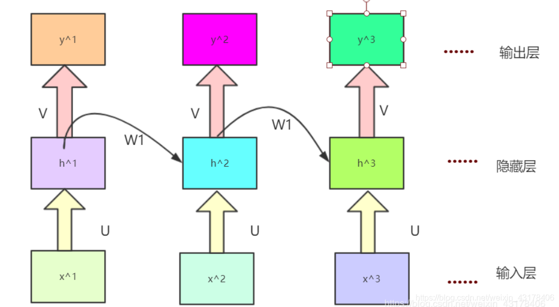
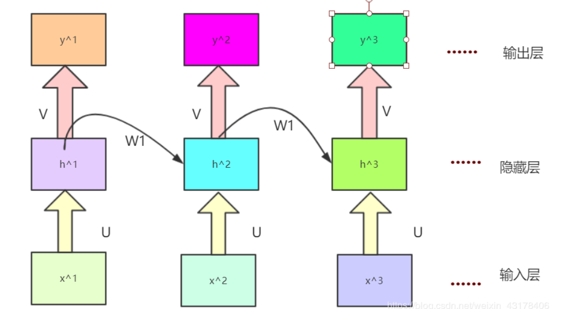
上图为RNN的结构图(输出层其实就是最后一个隐藏层。上图也可以看成有两个隐藏层的RNN)。LSTM输入与RNN类似,对于一个样本,输入为 (
本文来自互联网用户投稿,文章观点仅代表作者本人,不代表本站立场,不承担相关法律责任。如若转载,请注明出处。 如若内容造成侵权/违法违规/事实不符,请点击【内容举报】进行投诉反馈!