数据分析告诉你:房租大涨的锅自如背不背?
今年8月初,房租同比大幅上涨。一些文章直指以自如为首的品牌公寓巨头哄抬房租,通过抢房、囤房等操作,使房租高企。很快,自如CEO熊林发表声明称,品牌公寓市场占比极小,对房租的影响微乎其微。那么,品牌公寓对房租的影响到底如何呢?
我们爬取了自如网、蛋壳网和房天下三个网站近万条数据并进行分析。自如和蛋壳是两家品牌公寓,房天下为个人发布租房信息的平台。首先,我们爬取了回龙观、天通苑、北苑、沙河4个社区集中的地点,横向对比三家的价格差异。其中,回龙观和天通苑是北京最大的居住社区,素有北京的“睡城”之称。北苑地处朝阳区,地价较高。沙河位于昌平郊区,地价较低。然后,我们求证网友指出的,“由于品牌公寓巨头抢房源,互相抬价,导致租金比房东心理预期还要高”,进而导致“非品牌公寓房东对租金的心理预期水涨船高”。
爬虫代码和数据分析的 jupyter notebook 文件已经共享到Github网站上(https://github.com/molly00ecla/RentSpider),以供大家进行更多的探索分析。
各区域不同平台租金对比
我们爬取了网站房源的面积和出租价格信息。由于出租价格和面积正相关,我们使用出租价格除以面积,得到单平米租金,作为一个评价指标。如:
huiLongGuan_Ziroom = pd.read_csv('Ziroom/地区统计/回龙观地区20180821.csv'.decode('utf-8'),encoding='utf-8')
huiLongGuan_Ziroom[u'区域'] = 'HuiLongGuan'
huiLongGuan_Ziroom[u'来源'] = '自如'
huiLongGuan_Ziroom.head()
输出为:

在进行数据清理时,我们发现了一个问题:自如和蛋壳的租房信息统一发布,更加整齐。而房天下的数据非常混乱,异常数据较多,常有单间出租的房子标称面积为整个房屋的面积等。因此,我们使用上下限剔除了一些异常值。下限为30元/平方米(这是公租房的租金),上限为500元/平方米。
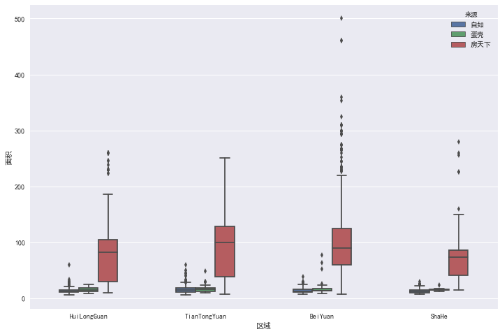
我们使用箱线图来对数据进行可视化:
RentData = pd.concat([huiLongGuan_Ziroom, TianTongYuan_Ziroom, BeiYuan_Ziroom, ShaHe_Ziroom,huiLongGuan_Danke, tianTongYuan_Danke, beiYuan_Danke, shaHe_Danke,huiLongGuan_Fang, tianTongYuan_Fang, beiYuan_Fang, shaHe_Fang])
RentData = RentData.fillna('-')sns.boxplot(x=RentData[u'区域'],y=RentData[u'单平米租金'],hue=RentData[u'来源'],width=0.5)
输出为:

通过箱线图可以直观地看出,在这四个地区中,自如的价格最贵,基本处于150-250元/平方米。蛋壳的价格比自如略低,但是也远超过房天下的房租价格。以回龙观地区为例,自如单平米房租的中位数为220元,而房天下的中位数为78.4元,每平米价格差高达159元。也就是说,如果我在回龙观租一间10平米的房间,自如需付2200元,而房天下上只要784元。
然后,我们对比一下三家的面积分布:
sns.boxplot(x=RentData[u'区域'],y=RentData[u'面积'],hue=RentData[u'来源'],width=0.5)
输出为:

一个明显的现象是,自如和蛋壳多为单间出租,每个房间的大小在十几平米到二十几平米之间。而房天下的房源以整租为主。考虑到客厅、卫生间和厨房的面积分摊,房天下的平米租金应该略高一些。
通过对数据的对比,一个非常强烈而直观的印象就是,自如等品牌公寓价格的确偏高,和房天下平台的租金对比相当强烈。选择自如租房,意味着每年要比别人多花上万元,还不算额外的服务费等费用。
而房天下的信息非常杂乱。并且,信息的来源也是不可靠的。房屋信息往往不完整,户型图和照片缺失甚至冒用,是否有暖气、空调等信息也不完善。此外,房天下的房源大多数为整租。这就意味着租户需要组队租房,并承担租客流动造成的资金损失。因此,这给租户找房造成了很大的困扰。
从这个角度来看,品牌公寓的存在是有其道理的。品牌公寓理论上和房东有更强的讨价还价的能力(因为对市价非常熟悉),并且房源的真实性和质量相对更有保障一点。
品牌公寓的租金对非公寓租金的影响
如果单单只是品牌公寓价格超高,问题并不是很大。租客完全可以自己花一些时间和精力,去房天下等平台找房子。更要命的问题是:由于品牌公寓抬价抢房,房租高企。而其他房东参照这个价格,往往也会跟风涨价。
为了验证这个问题,我们选择了回龙观地区的6个小区,分为“自如和蛋壳均入驻”和“只有自如入驻”两类。
之所以不对比品牌公寓入驻和没有品牌公寓入驻的小区,是因为房租受地段的影响较大,没有品牌公寓入驻的社区,很可能交通不便,本身地价就比较低。
我们统计只有自如入驻的小区,自如的价格和房天下的价格之差。然后统计自如和蛋壳均入驻的小区,自如的价格和房天下的价格之差。然后作一个对比。如果品牌公寓的价格会影响其他房东出价,那么后者应小于前者。
下图是自如入驻而蛋壳没有房源的小区的价格对比:

平均单平米价格差为152元。

平均单平米价格差为131元,相比于自如入驻而蛋壳没有房源的小区,每平米价格差下降了13.8%。也就是说,两家都有房源的小区,每平米单价涨了21元。
可见,品牌公寓的入驻,对整体房租的拉升是有明显的影响的。
总结
我们横向对比了4个区域的房租,发现以自如为首的品牌公寓租金远高于市价。然后,通过对比品牌公寓入驻小区的价格差,发现品牌公寓的入驻,会导致整体房租的上涨。总之,这个锅自如怕是要背起来了。
此外,随着品牌公寓遍地开花,如果大量的房源被品牌公寓垄断,后果也是十分严重的。那时,每平方米200元甚至更高的租金就会成为常态。——“当厂主对工人的剥削告一段落,工人领到了用现钱支付的工资的时候,马上就有资产阶级中的另一部分人——房东、小店主、当铺老板等等向他们扑来。”
本文来自互联网用户投稿,文章观点仅代表作者本人,不代表本站立场,不承担相关法律责任。如若转载,请注明出处。 如若内容造成侵权/违法违规/事实不符,请点击【内容举报】进行投诉反馈!
