论文笔记:Identity-based strong designated verifier signature schemes: Attacks and new construction
强指定验证人签名方案可以使签名者说服指定验证人,使指定验证人无法将签名转让给第三方,甚至没有第三方可以验证指定验证人签名的有效性
Identity-based strong designated verifier signature schemes: Attacks and new construction
- 基于id的指定验证者签名
- Zhang-Mao scheme
- Lal-Verma scheme
- 针对两个方案的攻击
- 新方案
- 基于身份的指定验证者签名方案
基于id的指定验证者签名
Zhang-Mao scheme
Setup:
e : G 1 × G 1 → G 2 e:G_1\times G_1\rightarrow G_2 e:G1×G1→G2, order q q q, 任意生成元 P P P; H 1 : { 0 , 1 } ∗ → G 1 H_1:\{0,1\}^*\rightarrow G_1 H1:{0,1}∗→G1; H 2 : { 0 , 1 } ∗ × G 1 × G 1 → G 1 H_2:\{0,1\}^*\times G_1\times G_1\rightarrow G_1 H2:{0,1}∗×G1×G1→G1
msk: s ∈ Z q ∗ s\in Z_q^* s∈Zq∗,mpk: P p u b = s P P_{pub}=sP Ppub=sP
KeyExtract:
S I D = s H 1 ( I D ) , Q I D = H 1 ( I D ) S_{ID}=sH_1(ID),Q_{ID}=H_1(ID) SID=sH1(ID),QID=H1(ID)
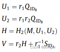
Sgin ( Q I D A , Q I D B , M , r 1 , r 2 ∈ Z q ∗ ) → ( U 1 , U 2 , V ) (Q_{ID_A},Q_{ID_B},M,r_1,r_2\in Z_q^*)\rightarrow(U_1,U_2,V) (QIDA,QIDB,M,r1,r2∈Zq∗)→(U1,U2,V)给指定验证方 I D B ID_B IDB

Verify ( ( U 1 , U 2 , V ) , M ) ((U_1,U_2,V),M) ((U1,U2,V),M)
H = H 2 ( M , U 1 , U 2 ) H=H_2(M,U_1,U_2) H=H2(M,U1,U2)
验证
e ( U 1 , V ) = e ( U 2 , H ) e ( S I D B , Q I D A ) e(U_1,V)=e(U_2,H)e(S_{ID_B},Q_{ID_A}) e(U1,V)=e(U2,H)e(SIDB,QIDA)
============
e ( U 1 , V ) = e ( r 1 Q I D B , r 2 H ) e ( r 1 Q I D B , r 1 − 1 S I D A ) = e ( U 2 , H ) e ( S I D B , Q I D A ) e(U_1,V)=e(r_1Q_{ID_B},r_2H)e(r_1Q_{ID_B},r_1^{-1}S_{ID_A})=e(U_2,H)e(S_{ID_B},Q_{ID_A}) e(U1,V)=e(r1QIDB,r2H)e(r1QIDB,r1−1SIDA)=e(U2,H)e(SIDB,QIDA)
============
Transcript simulation:
指定的验证者Bob随机选择两个数字 r 1 ′ , r 2 ′ r_1',r_2' r1′,r2′并计算

生成的 ( U 1 ′ , U 2 ′ , V ′ ) (U_1',U_2',V') (U1′,U2′,V′)也满足验证
Lal-Verma scheme
Setup和Key generation与Zhang-Mao 相同,除了 H 2 : { 0 , 1 } ∗ × G 2 → G 1 H_2:\{0,1\}^*\times G_2\rightarrow G_1 H2:{0,1}∗×G2→G1
Proxy key generation:
原签名方Alice生成签名:
- random r 1 , r 2 , r 3 ∈ Z q ∗ r_1,r_2,r_3\in Z_q^* r1,r2,r3∈Zq∗,授权凭证 W W W
- U 1 = r 1 Q I D B , U 2 = r 2 Q I D A , U 3 = r 3 U 1 U_1=r_1Q_{ID_B},U_2=r_2Q_{ID_A},U_3=r_3U_1 U1=r1QIDB,U2=r2QIDA,U3=r3U1
- V = r 3 H + r 1 − 1 S I D A , H = H 2 ( M , W , e ( r 2 Q I D B , S I D A ) ) V=r_3H+r_1^{-1}S_{ID_A},H=H_2(M,W,e(r_2Q_{ID_B},S_{ID_A})) V=r3H+r1−1SIDA,H=H2(M,W,e(r2QIDB,SIDA))
- σ = ( M , W , U 1 , U 2 , U 3 , V ) \sigma=(M,W,U_1,U_2,U_3,V) σ=(M,W,U1,U2,U3,V)发给代理签名方Bob
代理方Bob: - H = H 2 ( M , W , e ( U 2 , S I D B ) ) H=H_2(M,W,e(U_2,S_{ID_B})) H=H2(M,W,e(U2,SIDB)).
- 查验 e ( U 1 , V ) = e ( U 3 , H ) e ( S I D B , Q I D A ) e(U_1,V)=e(U_3,H)e(S_{ID_B},Q_{ID_A}) e(U1,V)=e(U3,H)e(SIDB,QIDA)
- 计算proxy secret key S I D P = V + S I D B S_{IDP}=V+S_{ID_B} SIDP=V+SIDB
Proxy signature generation:
Bob:
- random t 1 , t 2 , t 3 ∈ Z q ∗ t_1,t_2,t_3\in Z_q^* t1,t2,t3∈Zq∗
- X 1 = t 1 Q I D C , X 2 = t 2 S I D P , X 3 = t 3 X 1 X_1=t_1Q_{ID_C},X_2=t_2S_{IDP},X_3=t_3X_1 X1=t1QIDC,X2=t2SIDP,X3=t3X1
- X = t 3 H 1 + t 1 − 1 S I D P , H 1 = H 2 ( M , W , e ( t 2 Q I D C , S I D P ) ) X=t_3H^1+t_1^{-1}S_{IDP},H^1=H_2(M,W,e(t_2Q_{ID_C},S_{IDP})) X=t3H1+t1−1SIDP,H1=H2(M,W,e(t2QIDC,SIDP))
- 代理签名 ( M , W , X 1 , X 2 , X 3 , X , V ) (M,W,X_1,X_2,X_3,X,V) (M,W,X1,X2,X3,X,V)发给指定接收方Cindy
Proxy signature verification:
Cindy:
- 检查消息 M M M是否确认到授权 W W W
- 检查是否分别将Alice和Bob指定为授权 W W W中的原始签名者和代理签名者
- 计算 H 1 = H 2 ( M , W , e ( X 2 , Q I D C ) ) H^1=H_2(M,W,e(X_2,Q_{ID_C})) H1=H2(M,W,e(X2,QIDC))
- 查验 e ( X 1 , X ) = e ( X 3 , H 1 ) e ( S I D C , Q I D B ) e ( Q I D C , V ) e(X_1,X)=e(X_3,H^1)e(S_{ID_C},Q_{ID_B})e(Q_{ID_C},V) e(X1,X)=e(X3,H1)e(SIDC,QIDB)e(QIDC,V)
针对两个方案的攻击
Zhang-Mao scheme:声称他们的方案是一个强指定验证者签名,甚至没有第三方可以验证指定验证者签名的有效性,因为在验证方程中需要指定验证者的私钥。这几个性质实际上并不满足
- 假设 ( U 1 , U 2 , V ) (U_1,U_2,V) (U1,U2,V)是消息 M M M的签名,任何拦截了 ( U 1 , U 2 , V ) (U_1,U_2,V) (U1,U2,V)签名的人可以根据验证方程计算 e ( S I D B , Q I D A ) e(S_{ID_B},Q_{ID_A}) e(SIDB,QIDA): e ( U 1 , V ) = e ( U 2 , H ) e ( S I D B , Q I D A ) e(U_1,V)=e(U_2,H)e(S_{ID_B},Q_{ID_A}) e(U1,V)=e(U2,H)e(SIDB,QIDA)
- 在这之后,如果攻击者又拦截了消息 M ∗ M^* M∗的签名 ( U 1 ∗ , U 2 ∗ , V ∗ ) (U_1^*,U_2^*,V^*) (U1∗,U2∗,V∗),可以通过 e ( U 1 ∗ , V ∗ ) = e ( U 2 ∗ , H ∗ ) e ( S I D B , Q I D A ) e(U_1^*,V^*)=e(U_2^*,H^*)e(S_{ID_B},Q_{ID_A}) e(U1∗,V∗)=e(U2∗,H∗)e(SIDB,QIDA)验证签名。即攻击者无需指定验证者的私钥就能验证签名
Lal-Verma scheme:类似地,攻击者也可以很容易地拦截获取 e ( S I D C , Q I D B ) e(S_{ID_C},Q_{ID_B}) e(SIDC,QIDB)根据验证方程: e ( X 1 , X ) = e ( X 3 , H 1 ) e ( S I D C , Q I D B ) e ( Q I D C , V ) e(X_1,X)=e(X_3,H^1)e(S_{ID_C},Q_{ID_B})e(Q_{ID_C},V) e(X1,X)=e(X3,H1)e(SIDC,QIDB)e(QIDC,V),当再次拦截到签名,也可以直接验证 e ( X 1 ∗ , X ∗ ) = e ( X 3 ∗ , H 1 ∗ ) e ( S I D C , Q I D B ) e ( Q I D C , V ∗ ) e(X_1^*,X^*)=e(X_3^*,H^{1*})e(S_{ID_C},Q_{ID_B})e(Q_{ID_C},V^*) e(X1∗,X∗)=e(X3∗,H1∗)e(SIDC,QIDB)e(QIDC,V∗)
新方案
基于身份的指定验证者签名方案
Setup和Key generation与Zhang-Mao 相同,除了 H 2 : { 0 , 1 } ∗ × G 2 → G 1 H_2:\{0,1\}^*\times G_2\rightarrow G_1 H2:{0,1}∗×G2→G1(和Lal-Verma相同)
Sign ( M , Q I D A , Q I D C ) → ( U , σ ) (M,Q_{ID_A},Q_{ID_C})\rightarrow(U,\sigma) (M,QIDA,QIDC)→(U,σ)
- random r ∈ Z q ∗ r\in Z_q^* r∈Zq∗
- U = r Q I D A U=rQ_{ID_A} U=rQIDA
- σ = H 2 ( M , e ( r Q I D C , S I D A ) ) \sigma=H_2(M,e(rQ_{ID_C},S_{ID_A})) σ=H2(M,e(rQIDC,SIDA))发给Cindy
Verify
查验: σ = H 2 ( M , e ( U , S I D C ) ) \sigma=H_2(M,e(U,S_{ID_C})) σ=H2(M,e(U,SIDC))
Signature simulation:
Cindy选择随机数 r ′ ∈ Z q ∗ r'\in Z_q^* r′∈Zq∗并计算:
- U ′ = r ′ Q I D A U'=r'Q_{ID_A} U′=r′QIDA
- σ ′ = H 2 ( M , e ( U ′ , S I D C ) ) \sigma'=H_2(M,e(U',S_{ID_C})) σ′=H2(M,e(U′,SIDC))
生成的签名也是可验证的。
这个签名结构简单所以后面就不赘述了…仅作为对指定验证者签名的初步了解
本文来自互联网用户投稿,文章观点仅代表作者本人,不代表本站立场,不承担相关法律责任。如若转载,请注明出处。 如若内容造成侵权/违法违规/事实不符,请点击【内容举报】进行投诉反馈!
