初中数学题目(实数) - 第四小题解答

§04 第四小题
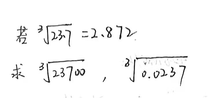
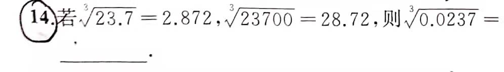
如果 23.7 3 = 2.872 \sqrt[3]{23.7} = 2.872 323.7=2.872,则 23700 3 = \sqrt[3]{23700} = 323700= ________, 0.0237 3 = \sqrt[3]{0.0237} = 30.0237= ________。
※ 解答
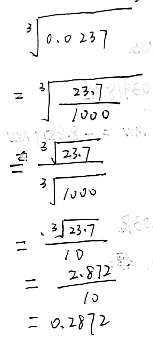
如果 23.7 3 = 2.872 \sqrt[3]{23.7} = 2.872 323.7=2.872,则 23700 3 = \sqrt[3]{23700} = 323700= 28.72 28.72 28.72, 0.0237 3 = \sqrt[3]{0.0237} = 30.0237= 0.2872 0.2872 0.2872。
▲ 图1 题目原型
▲ 图2 问题解答
▲ 图3 问题交流
▲ 图4 问题拓展
本文来自互联网用户投稿,文章观点仅代表作者本人,不代表本站立场,不承担相关法律责任。如若转载,请注明出处。 如若内容造成侵权/违法违规/事实不符,请点击【内容举报】进行投诉反馈!
