基于Landsat8数据利用ENVI5.1反演海表温度SST——以杭州湾为例
1.下载数据(下载网址:http://ids.ceode.ac.cn/query.html)
(1)设置参数

(2)选择高清无云的图像下载

2. 辐射校正,ENVI5.1
(1)Toolbox—Radiometric Correction—Radiometric Calibration,选择_MTL 文件

(2)设置参数,导出文件

3.大气校正
(1)导入辐射校正所得的图像,在弹出的对话框选择第二个选项

(2)设置参数,Flight time可以从“*_MTL.txt” 中找到,Ground Elevation选择0.1km,因为杭州湾区域地形比较平坦

(3)设置多光谱参数:Multispectral Settings —Defaults—Over-Land Retrieval standard(600:2100)

(4)高级设置:Advanced Settings—Tile Size设置成200

(5)设置输出路径,导出图像
4.波段10的辐射校正
(1)Toolbox—Radiometric Correction—Radiometric Calibration,选择_MTL_Thermal

(2)导出文件

5 计算NDVI

(1)Toolbox—Spectral—Vegetation—NDVI,选择大气校正后的图像

(2)红波段为4,近红外波段为5

6 计算植被覆盖度

NDVIv=0.7 NDVIs=0.05
(1) Toolbox—Band Ratio—Band Math
输入公式:
[(b1 gt 0.7)1+(b1 lt 0.05)0+(b1 ge 0.05 and b1 le 0.7)((b1-0.05)/(0.7-0.05)) ((b1-0.05)/(0.7-0.05))]
b1为NDVI

7 计算地表反射率
(1)在band math中输入公式:
地表反射率e=0.004*b1+0.991
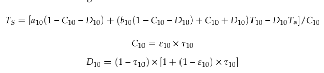
8 计算海表温度
这里利用Qin单通道算法计算

(1)先计算C10
(a)查询大气透过率τ10,网址:http://atmcorr.gsfc.nasa.gov/
(b)填写参数

(c)得到结果,τ10为0.95

(d) 在band math中输入公式:b1*0.95,b1为地表辐射率e

(2)计算D10
在band math中输入公式:(1-0.95)*(1+(1-b1)*0.95),b1为地表辐射率e
(3) a10=-62.7182
b10=0.4339
(4) 计算Ta
中纬度地区:
夏天: Ta = 16.0110 + 0.9262T0
冬天: Ta = 19.2704 + 0.9112T0
T0可以在中国气象数据网(http://data.cma.cn)上查询
数据服务—地面资料—数据和产品—中国地面国际交换站气候资料日值数据集

查询到平均气温为9.5摄氏度,换算成开氏度为282.5K,T0为282.5K
代入到冬天的公式 Ta = 19.2704 + 0.9112T0,可以得到Ta=276.6844K

(5) 计算T10
需要用到第四步的波段10的辐射校正结果
在band math中输入公式:1321.08/alog(774.89/b1+1)
b1为波段10的辐射校正

(6)计算海表温度

在band math中输入公式
(-62.7182*(1-b1-b2)+(0.4339*(1-b1-b2)+b1+b2)b3-b2276.6844)/b1-273
b1为C10,b2为D10,b3为T10
9 SST反演结果

选择Raster Color Slices



本文来自互联网用户投稿,文章观点仅代表作者本人,不代表本站立场,不承担相关法律责任。如若转载,请注明出处。 如若内容造成侵权/违法违规/事实不符,请点击【内容举报】进行投诉反馈!
