大学物理下
网课
11 光学
P56 11.4薄膜干涉-等厚干涉




22:27

前后有半波损失,求光程差会减掉
注意k

空气膜上表面是从玻璃射入空气没有半波损失,下表面是空气射入玻璃有半波损失。整体是有半波损失的。





亮纹中间是暗纹,可以看成相邻亮纹的距离是暗纹的宽度,所以中间有29条暗纹,除29
玻璃厚度超过相干长度,玻璃不形成干涉
P57 11.4牛顿环及其应用





环外扩说明中间部位是底,内缩说明是以外围为底(也就是工件外侧是被压实的)




这里写错了,油膜是1.2,玻璃1.5
P58 11.5迈克尔逊干涉仪


6;55






光的衍射




单缝衍射


















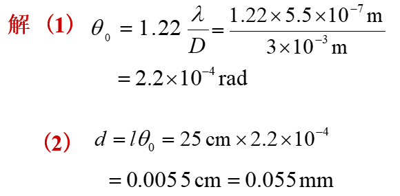
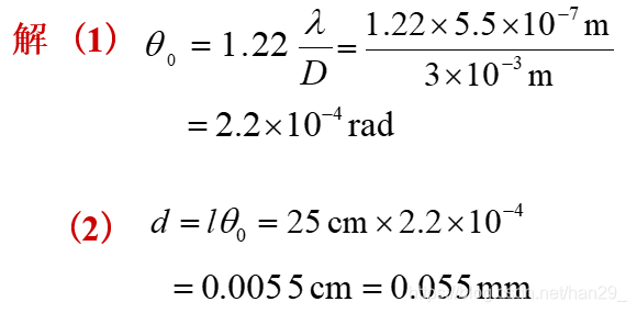
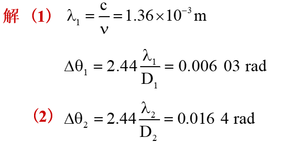
圆孔衍射 光学仪器的分辨率










衍射光栅














光的偏振性 马吕斯定理













反射光与折射光的偏振






双折射







🎈课后习题


伽利略变换式 牛顿的绝对时空观






迈克耳孙-莫雷实验




狭义相对论的基本原理 洛伦兹变换式








狭义相对论的时空观






















14-6 相对论性动量和能量















本文来自互联网用户投稿,文章观点仅代表作者本人,不代表本站立场,不承担相关法律责任。如若转载,请注明出处。 如若内容造成侵权/违法违规/事实不符,请点击【内容举报】进行投诉反馈!
