机电设备可靠性基础笔记
目录
参考资料1:
《可靠性 维修性*保障性 概论》 秦英孝 主编 国防工业出版社 2002年10月第一版
参考资料2:
《可靠性工程》第二版 ELSAYED A. ELSAYED 【美】
参考资料3:
《可靠性工程师手册》第二版 中国质量协会CAQ组织编写 李良巧 主编【中】
参考资料4:
《注册可靠性工程师手册》第2版 Donald W.Benbow & HugW.Broome 著【美】,上海市质量协会&上海质量管理科学研究院 译【中】2023年8月20日注
前言
0.1 可靠性的范围和机电可靠性的范围
0.2 可靠性部门在组织里的作用
0.3 失效后果与保修
0.4 客户需求与QFD
第一章 可靠性的数学指标(特征量)
第一节 可靠度函数
第二节 故障密度函数
第三节 故障率
第四节 寿命
第五节 故障率曲线(浴盆曲线)
第二章 可靠性的设计与分析
第一节:可靠性设计的程序
第二节 可靠性模型建立和可靠度计算
第三节:可靠性预计
第四节:可靠性分配
第三章 可靠性试验
第一节 可靠性试验的目的
第二节 可靠性试验的内容
第三节 环境应力筛选试验
第四节 可靠性增长试验
第五节 鉴定和验收试验(可以参考GJB899)
第六节 加速寿命试验
第四章 可靠性的数学度量
第五章 Weibull分布和Arrhenius模型
前言:
韦伯分布的应用场景:
目录
参考资料1:
《可靠性 维修性*保障性 概论》 秦英孝 主编 国防工业出版社 2002年10月第一版
参考资料2:
《可靠性工程》第二版 ELSAYED A. ELSAYED 【美】
参考资料3:
《可靠性工程师手册》第二版 中国质量协会CAQ组织编写 李良巧 主编【中】
参考资料4:
《注册可靠性工程师手册》第2版 Donald W.Benbow & HugW.Broome 著【美】,上海市质量协会&上海质量管理科学研究院 译【中】2023年8月20日注
前言
0.1 可靠性的范围和机电可靠性的范围
0.2 可靠性部门在组织里的作用
第一章 可靠性的数学指标(特征量)
第一节 可靠度函数
第二节 故障密度函数
第三节 故障率
第四节 寿命
第五节 故障率曲线(浴盆曲线)
第二章 可靠性的设计与分析
第一节:可靠性设计的程序
第二节 可靠性模型建立和可靠度计算
第三节:可靠性预计
第四节:可靠性分配
第三章 可靠性试验
第一节 可靠性试验的目的
第二节 可靠性试验的内容
第三节 环境应力筛选试验
第四节 可靠性增长试验
第五节 鉴定和验收试验(可以参考GJB899)
第六节 加速寿命试验
第四章 可靠性的数学度量
第五章 Weibull分布和Arrhenius模型
前言:
韦伯分布的应用场景:
参考资料1:
《可靠性 维修性*保障性 概论》 秦英孝 主编 国防工业出版社 2002年10月第一版
前三章内容绝大部分来自于参考资料1,非本人原创,个别不同内容,系本人自行添加修改,如有错漏与原参考资料正确性无关,感谢参考书给了本人一个系统学习的机会。2022年7月12日注
参考资料2:
《可靠性工程》第二版 ELSAYED A. ELSAYED 【美】
第四章的内容源于参考资料2,本书的专业性和权威性无需多言,难度较高,可以说句句都是知识点,喜欢可靠性的同学可以尝试通读原书,收益一定很大。感谢本书作者的指引!2023年2月21日注
参考资料3:
《可靠性工程师手册》第二版 中国质量协会CAQ组织编写 李良巧 主编【中】
本书是可靠性工程师注册考试指定辅导教材,从“六性"的角度对可靠性,维修性,测试性,保障性,安全性,环境适应性做了粗略的概述,作为教材,注重基本概念的澄清和简述,数学相关的知识点非常少,而且为了一致性和连贯性,对于维修性,测试性,保障性的很多数学评价刻意的对标可靠性,在实际的工程应用中,实用性值得进一步探讨和推敲。但是本书仍然不失为一本概述入门型的书,值得无基础的同学首先浏览。2023年8月20日注
参考资料4:
《注册可靠性工程师手册》第2版 Donald W.Benbow & HugW.Broome 著【美】,上海市质量协会&上海质量管理科学研究院 译【中】2023年8月20日注
前言
军工的可靠性,内涵外延可能都大于民品,不同于民品一旦投产,长期使用,修整和存储都是小概率事件,而军工产品的设计,验收,存储,维护,修整,等等都是大概率要考虑的,比如存储,不可能天天都打仗,每天扔炮弹吧,比如维修,坦克放几年,不可能就丢掉卖废铁吧。所以,军工要考虑的范畴,涵盖了太多民品不曾重视的领域。但是,单就设计,生产,验收,使用数据反馈和改进等方面,还是与民品一致的思路。这就是为什么参考资料一还是可以参考的原因了。 如果你时间有限,可以只看前言,这里是作者15年可靠性工作的一些感悟,并且会不断刷新。
0.1 可靠性的范围和机电可靠性的范围
可靠性的定义在第一章将详细阐述,在这里,需要先聊聊可靠性的范围和相关的领域。在机电设备行业,作者没有找到权威的机电设备行业可靠性领域确切范围。翻看可靠性权威著作,如参考资料三,它认为可靠性是"六性"的概念,这个源于军工的实际需要,而资料三来源于美军标和国军标。而对于美国的质量协会,参考资料四则认为可靠性是相对小的范围,它与安全,质量,维修性/可用性相关。从本人的工作经历来看,机电设备可靠性可以包含为:(可以肯定的说,六个方面的内容,缺一都会对机电设备的可靠性带来巨大影响。)
- 环境适应性与寿命
- 安全性,
- 电磁兼容性
- 可生产性
- 可维修性
- 可保障性(相比于军品,保障性要求简单);
与机电设备可靠性工程密切相关领域有:
- 质量QA/QC
- 可测试性
- 机电项目管理PM
- 生产管理manufacture/production
- 现场服务service
- 采购buyer
- 供应商
与机电设备可靠性工程相关的概念还有:
- 精益生产
- 六西格玛
0.2 可靠性部门在组织里的作用
在参考资料四里指出了可靠性部门以下几个关键工作项目:
- 确定和提高产品的使用寿命
- 收集元件和产品的失效数据,包括供应商提供的产品的失效数据
- 竞争产品的可靠性试验和分析
- 帮助内部组织内部其他部门
- 可靠性预测提供筛选指南(QC,QA,采购部,生产部)
- 降额技术增加产品寿命(设计部)
- 可靠性数据支撑保修(或失效/退化件更换),客户期望与舆情控制 (service,品牌形象)
- 生产部的生产参数和工艺流程选择
- 预测安全性
- 评估供应商和供货的优劣
参考资料四第六页:“组织机构的每一部分,包括采购、质保、包装、现场服务、物流等部门都可以从可靠性工程知识中收益”。从作者的工作经历看,也确实如此。有点遗憾的两方面:
- 绝大部分的组织里,从最高层到最基层,很难相信可靠性本身与每个环节和部门都有关系,很难给可靠性部门和从事可靠性的人足够的资源和时间。
- 太多可靠性工作者的工作浮于表面,没有从根本上帮助组织,也没有理解可靠性工程的系统性和严密的逻辑性,很多场合都是生搬硬套书本知识,照猫画虎的复制成功经验,浪费了组织太多资源和耐心,参考上一条,这些资源和耐心很珍贵。
怎么办呢?作者没有标准答案,但是,可以说的是,可靠性工作者要有足够的决心和毅力获取资源和组织对可靠性的信心,这需要大量的学习和时间的积累,甚至于在一家公司做很久的弱相关工作,拿到一定的话语权作为前提。另外,如果你是一个有话语权的人,请珍视手中的资源,合理有序的投入到可靠性中。这是细水长流的事,也是在关键时刻力挽狂澜的事,严谨和耐心是第一位的。
0.3 失效后果与保修
根据 参考资料四 第八页,可靠性工程师的一个职责是核算失效的后果。失效会对最终客户造成不同程度的影响,但是,客户会通过不同的手段和产品供应商分担这种影响,可能是双输的局面。预测可能发生的失效和可以接受的的目标,可以让组织内部看到失效的成本,进而推动可靠性工作。当失效没有办法避免时,现场可以用维修处理,对于公司而言,保修清单就很关键,保修的条款越全面,对于出现的维修的成本和客户体验就越好。保修的详细记录还可以作为可靠性数据和产品改进方向的重要依据。
0.4 客户需求与QFD
第一章 可靠性的数学指标(特征量)
可靠性的数学指标(特征量)通常用于
- 在工程中:设计,预计,分配,评定,比较
- 在生产中:管理和落实
- 在验收中:进行验证
- 在使用中:进行可靠性评价,分清楚责任,向供应商反馈可靠性信息,
- 帮助用户:确定备份器材(spare part),估计有效性(on time、USDT)
第一节 可靠度函数
1.1 可靠度的定义
产品在规定的条件下规定的时间内完成规定功能的概率叫做产品的可靠度
1.2 为什么用概率的观点定义可靠度
研究产品的可靠性是从不可靠即故障入手的。同一个型号的产品由于元器件,生产,包装运输,存储,使用,维护,在工作中的条件和损耗都不尽相同,使得每一个产品个体发生故障的时间不同且无法预知。但是同一批次,或同一型号的产品的故障时间是有统计规律的。从数学角度看就是故障发生的时间(长度)服从某个分布的随机变量。所以,可靠度指的是大批产品的可靠性统计的特性,而不是单独只某个产品个体!
例子:拿出一个灯泡问可否确定可以用多久?严谨的说是无法回答的,使用的下一秒就爆从概率上讲是有可能的!
1.3 可靠度的数学表示
产品的可靠度是时间的函数,个体的寿命 T 大于等于规定时间 t,则可以完成功能,个体的寿命T小于t,则无法完成功能。所以,关键点就是那个规定时间 t 了。t 越长可靠度越低。
- 可靠度函数 R(t) = P(T>=t) (P表示概率)
- 故障分布函数(故障概率,不可靠度) F(t) = P(T
- R(t) + F(t) = 1
思考题:频率在什么情况下接近概率?
答案:样本数足够大且具有代表性的时候,频率约等于概率

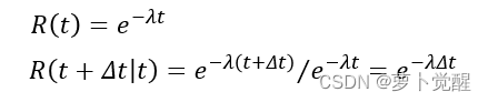
1.4 条件概率与无记忆性
工程中还有类似这样的问题,产品已经工作的 a 小时,还能正常工作 b 小时的概率是多少。实际上这是一个条件概率,在工作了a小时后(条件)下再工作b小时的概率。
根据概率知识可知道 P(A|B) = P(AB) / P(B)
则上述问题就是
R(a+b | a) = P(T>a+b) / P(T>a) = R(a+b) / R(a)
如果故障时间服从指数分布

说明从任何时刻开始的工作一段时间的可靠度相等,所以又叫做无记忆系统
思考题:N个产品,88个工作到了2400小时,再继续工作800小时,剩下了66个。请问后800小时的可靠度是多少?(注意不是指数分布了)
答案:66/88 = 75%
第二节 故障密度函数
2.1 故障密度函数定义
产品在 t 时刻后的单位时间里发生故障的概率,叫做产品在 t 时刻的故障密度。故障密度随着时间变化的关系,叫做故障密度函数。可以用故障分布函数 F(t)一阶导数来计算

2.2 故障数据对故障密度的近似计算
实际上就是经验故障密度函数直方图,逼近无限细分的横轴,类似用频率逼近概率的做法。
2.3 故障密度函数,故障分布函数,可靠度函数的关系


第三节 故障率
故障率通常是产品可靠性特征的重要指标。分为平均故障率和瞬时故障率,它的定义是:
- 平均故障率:
- 已经工作到时刻t的产品,在t时刻后平均单位时间内发生的故障数叫做平均故障率。
- 瞬时故障率:
- 已经工作到时刻t的产品,在t时刻后瞬时单位时间内发生的故障数叫做瞬时故障率。
瞬时故障率是平均故障率的在单位时间趋近于0时的极限,如果瞬时故障率是常数,两者相等。下面的公式就是可靠度用故障率的表达。

思考题,当故障率为常数时,可靠度时什么分布?
答案:指数分布
第四节 寿命
寿命有多种,实际工程或生活当中,非专业的人会混淆以下几个概念,比如你告诉一个人,灯泡的平均寿命是1000小时,他会觉得你说的是很大概率上这个灯泡可以用1000小时,实际上,你是告诉他,只有1/3左右的可能性能用到1000小时(假定是可靠度函数指数分布)。说清楚了看他会不会和颜悦色的与你相处!也就是平均寿命和可靠寿命搞反了。销售可以通过这个来忽悠客户了。
- 平均寿命
- 可靠寿命
- 特征寿命
- 中位寿命
4.1 平均寿命
MTTF:平均故障前时间,针对不可修复的产品,故障前的工作时间的数学期望例如,N个不可修复的同类型产品,故障前时间为 t1 t2 t3......tN,那么

![]()
MTBF:平均故障间隔时间,针对可修复产品,相邻两次故障时刻之间的工作时间的数学期望

如果故障密度函数为(故障时间分布函数是服从指数分布)
![]()
![]()
平均寿命与可靠度函数的关系。

重要提示:
如果产品的寿命服从指数分布(故障时间分布函数),那么工作到平均寿命的可靠度只有36.8%,已经有63.2%故障了!如果时正态分布,工作到平均寿命时,已经有一半发生故障了!所以平均寿命几乎不可以成为寿命的依据。
4.2 可靠寿命
可靠度是时间的递减函数,如果知道了可靠度函数,再给出一个可靠度,就可以得出这个可靠度下的工作时间。称为可靠寿命。
![]()
4.3 特征寿命和中位寿命
可靠度为1/e的寿命为特征寿命,中位寿命是可靠度为0.5的时候的寿命。
第五节 故障率曲线(浴盆曲线)

- 早期故障源于不正常的生产或返修流程,可以用ESS检查出,或者用burn in度过。
- 中间偶然期是固有的产品故障率,通常是常量。
- 后期是不可避免的,只有提前淘汰或更换部件

- 威布尔分布的可靠性应用 - 知乎 (zhihu.com)
-
第二章 可靠性的设计与分析
- 定义:通过预计,分配,分析,改进等一系列的可靠性活动,把可靠性的定量要求设计到产品的技术文件和图样中去,形成产品的固有可靠性。
- 可靠性设计要在性能,质量,费用方面权衡。注意,实际上这个权衡很多维度要考虑
- 性能:效能,精度,功耗,体积
- 质量:可靠性,维修性,安全性,操作性
- 费用:研制,生产,维修,抛弃(环保)
-
第一节:可靠性设计的程序
- 1.1 确定可靠性指标:可靠度,MTBF,失效率,平均修复时间,修复率,可用度
- 1.2 收集元器件的失效数据,考虑环境和负荷情况
- 1.3 确定产品的寿命刨面
- 1.4 建立组件,部件,元器件的功能关系,建立产品可靠性模型
- 1.5 进行可靠性指标分配和预计,
- 1.6 根据元器件失效率指标,选择元器件类型,降额。
- 1.7 再次预计,重新分配
- 1.8 FMEA,FTA
- 1.9 改进设计
- 1.10 设计要考虑 EMC, thermal, 降额,耐环境,安全,容差,加固,人机系统,维修性
-
第二节 可靠性模型建立和可靠度计算
- 2.1 可靠性模型分类和注意事项
- 可靠性模型(建模)是为预计和估算产品的可靠性所建立的框图和数学模型,注意同样的物理连接,由于功能和意图不一样,画出来的可靠性模型就不一样。例如两个串联的阀门和一个管子,如果是可靠的流通,和可靠的关闭,他们的可靠性模型就不同了。
- 常见的典型系统
- 串联
- 混联
- k/n系统
- 旁路系统
- 网络系统
- 常见的分析方法
- 可靠性框图法
- 真值表法
- 贝叶斯法
- 最小割集法
- 蒙特卡洛模拟法
- FMEA
- FTA
- 2.2 典型系统的可靠度模型
- 2.2.1 串联系统:减少串联系统部件数和缩短工作时间可以提高系统可靠性


- 2.2.2 储备系统(并联系统):并联能提高系统的平均寿命,两部件提高50%, 三部件提高30%。

-

- 2.2.3 混联模型:串并系统,并串系统。


- 2.2.4 n中取k系统
- 2.2.5 多数表决系统
- 2.2.6 非工作储备系统(UPS)
- 2.2.6.1 冷储备
- 2.2.6.2 温储备
- 2.2.6.3 滑动储备系统
-
第三节:可靠性预计
- 在新系统的设计阶段要对可靠性进行预计,以便及时的发现设计中存在可靠性的问题并及时修改。实际上就是推测系统的可靠性。
- 3.1 可靠性预计的目的
- 预计结果和要求的可靠性指标比较,是否达标
- 在方案论证阶段可以比较方案,选优
- 在设计阶段可以发现薄弱环节,改进设计
- 可靠性增长试验,验证试验,费用核算时提供依据
- 为可靠性分配打基础
- 3.2 可靠性预计的内容
- 基本可靠性预计
- 任务可靠性预计
- 3.3 可靠性预计的程序(12步)
- 3.3.1 对系统的功能,性能,允许偏差,故障定义
- 3.3.2 确定分系统
- 3.3.3 找出影响可靠度的主要元件和模组
- 3.3.4 确定各个分系统中所用的元件和模组的失效率
- 3.3.5 计算分系统的失效率
- 3.3.6 对分系统的失效率基本数值提供修正系数
- 3.3.7 再次计算分系统的失效率
- 3.3.8 计算整个系统的失效率
- 3.3.9 对系统的失效率基本数值提供修正系数
- 3.3.10 计算系统的失效率
- 3.3.11 求系统的预测可靠度
- 3.3.12 MTBF
- 3.4 可靠性预计的一般方法(8个方法)
- 3.4.1 元器件计数法(属于基本可靠性预计)
- 3.4.2 应力分析法 (在电子产品的详细设计阶段,了解应力情况才可以做)
- 3.4.3 相似产品法(在方案论证和初步设计时,且有相似的产品出现过的情况下)
- 3.4.4 故障率预测法 (要求组成产品的所有单元都有 故障率数据,用于在详细设计阶段)
- 3.4.5 专家评分法(适用于仅仅有个别单元的故障率数据,方案论证和初步设计阶段使用,通常考虑复杂度,技术发展水平,工作时间,环境条件)
- 3.4.6 相似产品类比论证法(有专家参与评分给出修订系数,直接作用于故障率)
- 3.4.7 功能干预法(MIL-HDBK-338)
- 3.4.8 上下限法
- 产品不同阶段的预计方法的选取
- 研制阶段
- 可靠性预计方法
- 方案论证
- 功能干预法,相似产品法
- 初步设计
- 专家评分法,元器件计数法, 相似产品类比论证法
- 详细设计
- 故障率预测法。应力分析法,上下限法
-
第四节:可靠性分配
- 4.1 概述
- 定义:把系统的可靠性指标逐级分配到各个单元的过程,实际上是最优化问题
- 注意:可靠性预计时自下而上,可靠性分配是自上而下
- 三个约束和目的:
- 可靠性指标为约束
- 以成本为约束
- 以交期为约束
- 可靠性分配的方法,按照一定的原则,但是有些需要考虑的因素。
- 1 改进潜力大可以多分担指标
- 2 关键部件的指标要高
- 3 恶劣环境下的器件要低
- 4 新的工艺,模组要低
- 5 易于维修和更换的要低
- 复杂的分系统要低
- 4.2 可靠性分配的一般方法
- 4.2.1 等分配法
- 也叫平均分配法,不考虑各个单元的重要程度而,而直接平均分配可靠度要求,不是合理的做法,尽可能避免使用。除非是完全没有先验知识的情况。
- 4.2.2 比例分配法
- 可以参考老版本或型号的各个部分的故障率的数据进行相似比例的分配。
- 4.2.3 最少工作量算法
- 在提高整个系统的可靠性时,有时可靠度越低的分系统越容易提高,反之则很困难。则可以提高这些容易的,只要确保所有的分系统组成的系统达到要求即可。
- 4.2.4 考虑重要度的分配法
- 4.2.5 关键性考虑
- 第五节:系统可靠性分析
- 5.1 FMEA
- 5.2 FTA
- 第六节:电子产品的可靠性设计
- 元器件的选用和控制
- 降额度设计
- 耐环境设计
- 电磁兼容设计
- 容差分析
- 潜在电路分析
- 6.1 电子元器件的选择与控制 (PNA)
- 制定元器件大纲是关键。可以控制标准元器件和非标准元器件的选择和使用。
- 6.1.1 元器件大纲的制定
- 元器件控制大纲
- 元器件的标准化
- 元器件的应用指南
- 元器件的应力筛选
- 信息交换网
- 6.1.2 电子元器件的选用与管理
- GB,GJB,七专
- 库存与使用反馈、
- 6.2 降额设计
- 控制降额幅度,不要过分降额。
- 1. 一级降额
- 2. 二级降额
- 3. 三级降额
- 6.3 耐环境设计
- 环境条件对设备的故障的影响:
- 温度第一,振动第二,湿度第三(共占43%)
- 加上沙尘,盐雾,低气压,冲击等等,超过了50%
- 环境影响与故障模式
- 环境因素
- 主要影响
- 典型故障模式
- 高温
- 热老化
- 金属氧化
- 结构变化
- 设备过热
- 粘度下降
- 蒸发
- 低温
- 粘度增加
- 浓度变化
- 结冰结雾结露
- 物理尺寸收缩
- 元件性能改变
- 高湿度
- 湿气入侵
- 电化学反应
- 锈蚀
- 电解
- 干燥
- 干裂
- 脆化
- 粒化
- 低气压
- 膨胀
- 漏气
- 空气绝缘下降
- 强度下降
- 散热不良
- 沙尘
- 磨损
- 堵塞
- 静电增大
- 吸附水份
- 盐雾
- 化学反应
- 锈蚀与腐蚀
- 电解
- 霉菌
- 霉菌吞吃和繁殖
- 吸附水分
- 分泌腐蚀液体
- 风
- 力作用
- 材料沉积
- 热量损失
- 热量增大
- 雨
- 物理应力
- 吸收水和浸泡
- 锈蚀和腐蚀
- 湿度
- 吸收水和浸泡
- 结冰结雾结露
- 浓度变化
- 绝缘强度改变
- 臭氧
- 化学反应
- 破裂裂纹
- 脆化
- 粒化
- 空气绝缘下降
- 振动
- 机械应力疲劳
- 电路中产生噪声
- 冲击
- 机械应力
- 噪声
- 低频影响与振动相同,高频引起设备元器件谐振
- 真空
- 有机材料分解,蜕变,放气,蒸发冷焊
- 加速度
- 机械应力,液压增加
- 高压
- 机械应力,绝缘变大
- 爆破
- 严重的机械应力
- 紫外线,激光
- 材料退化,化学分解,过热,油脂分解或附着
第三章 可靠性试验

第一节 可靠性试验的目的
1.1 摸底
1.1.1 找出可靠性特征(寿命分布,故障率,可靠度等等)
1.1.2 如果已经知道了寿命分布模型,可以通过试验确定未知的参数
1.2 鉴定
新产品的可靠性鉴定,发现甄别薄弱环节,为改进提供依据
1.3 验收
是否达到要求和被用户接受
第二节 可靠性试验的内容
2.1 按试验地点分
- 现场试验
- 实验室试验
2.2 按产品阶段分
- 设计阶段,摸底
- 定型阶段,鉴定
- 生产阶段,验收
- 使用阶段,评定
2.3 试验目的
- 工程试验
- ESS
- 可靠性增长
- 环境试验:检查产品对环境的适应能力
- 极限试验
- 功能适应性试验
- 结构完好性试验
- 统计试验
- 寿命试验
- 连续工作
- 间断性工作
- 存储寿命
- 加速寿命试验
- 鉴定
- 验收
- 寿命试验
2.4试验结束方式
- 完整
- 截尾:定时截尾,定数截尾
第三节 环境应力筛选试验
3.1 定义:
元器件用于产品之前,或者产品出厂之前,通过试验找出产品的潜在缺陷,并将其剔除的过程称为筛选。
- 目视筛选 (用于筛选明显缺陷)
- 通电老化筛选 (用于筛选明显缺陷)
- 环境应力筛选 (用于筛选潜在缺陷)
3.2 注意点:
可靠性是设计到产品中去的,但是即使产品设计完成,还需要制造,修理,更换备件,其中又包含了各种工艺,操作方法等等。同样会明显影响预期的设计可靠性。所以:
ESS的目的:在产品出厂前,有意把环境应力施加到产品上,使得产品的潜在缺陷加速发展成早期故障(浴盆曲线)而排除掉,提高了产品的出厂的可靠性(故障率低)。
经验数据,对于集成电路,ESS可以筛选出1/3。一个好的筛选体系,可以让最终产品的MTBF提高一个数量级(10倍)。
3.3 筛选方案目的和评价方法
3.3.1 筛选的目标:
- 从数学上将,希望到达浴盆曲线的最低的点(直线起点),产品的故障率趋于常量。
从实际目标角度:
- 使得筛选后的产品的缺陷概率与可靠性要求一致或接近
- 保证筛选后的铲平的无可筛选缺陷概率达到规定的水平
- 筛选中的排除每个问题器件的综合成本低于在客户现场排除的综合成本(慎重!还有品牌问题)
3.3.2 筛选方案的依据
- 快速有效经济的使得产品缺陷暴露
- 不能使得正常产品失效(损毁或内伤影响正常使用寿命)
- 元器件的筛选很重要
3.3.3 筛选方案要素
- 施加的环境应力的类型水平和承受应力的时间
- 进行环境应力筛选的产品
- 试验期间监控的产品性能和应力参数
- 试验总体需要的时间
3.3.4 筛选方案评价
- 淘汰率Q:试验所淘汰的产品数和参数试验的样品总数的比值
- 不是越高越好,也不是越低越好
- 用起来不太理想
- 筛选效率:被淘汰的早期失效产品的比值,与非早期失效的产品的比值, 最后的乘积(所以筛选效率是0-1之间的一个数,最好为1)

- r 早期失效中被淘汰的数
- R 含有早期失效的数
- n 被淘汰的产品数
- N 受试产品总数
- 筛选效果系数B:产品经过筛选后,失效率下降的相对幅度

N下标是筛选前,S下标是筛选后的,理想的是100%,但是到了90%就已经可以提高MTBF一个数量级。
实际上,筛选效率最全面,但是很难在设计和使用初期就得到,通常用的是Q和B结合考虑。
3.4 环境应力筛选的应力施加
首先要明白,环境应力筛选中的应力,目的是为了激发早期故障,不是模拟使用环境,这个目的类似于HALT,但是HALT是设计薄弱点的问题,而ESS是生产工艺,原材料缺陷的错误点的问题。不是所有的应力在激发产品内部缺陷时都有用

一般一个温度循环4个小时,10次,共40小时。循环次数可以依据复杂程度。1,3,6,10。
3.5 应力的筛选效果比较

3.6 ESS 的适用阶段
其实不只是在生产阶段,在研制,适用阶段也可以适用。比如对于鉴定和增长试验的样品预处理,在大修后的筛选。早期设计POC的验证和工艺缺陷的暴露等等。
3.7 ESS的反思
- ESS不可以改变产品的失效机理,同ALT一样
- 环境不必考虑真实适用环境,
- 它不能提高产品的固有可靠性
- 关键设备应该在元器件级,电路版级和设备级100%筛选
- ESS不是鉴定验收,但是有助于鉴定验收
- 思考题:ESS与可靠性增长试验的关系是?ESS与可靠性统计试验的关系是?
第四节 可靠性增长试验
可靠性增长试验定义:有计划的试验,分析及确定问题和改进产品可靠性的过程。可以贯穿所有的产品阶段
4.1 可靠性增长(不仅仅是试验)
通过逐步改正设计制造中的缺陷而不断提高产品可靠性的过程,贯穿于产品的全部生命周期。注意:
- 可靠性增长是对产品的可靠性(故障)而言,不是性能和功能的改进
- 可靠性增长是否有效,需要验证后才可以确认
常见的可靠性增长的方法:
- 依靠分析设计
- 依靠试验
- 依靠生产
- 依靠现场使用
4.2 可靠性增长试验
4.2.1可靠性增长试验是一个有计划的试验,分析及确定问题的过程,产品可以在实际环境,模拟环境,或者加速环境下试验,目的是暴露产品的设计缺陷
4.2.2 发现,分析,纠正,有效性检验是不可或缺的步骤,注意,单纯的试验可以发现问题,不能实现可靠性的增长,而要靠纠正和检验有效性实现。
4.2.3 RTG的任务
时间一般在工程研制之后和鉴定验收之前。
4.2.4 RTG的适用范围
RTG的试验耗费一般都巨大,试验总时间一般为MTBF目标值的5到25倍,所以不是所有产品都适用
4.2.5 RTG对受试产品的要求和处理
- 版本最新,功能性能达标,通过了环境试验,如果有早期故障,要先排除
- 做过可靠性增长的产品,不可以再做鉴定验收或者交付(残余应力和损耗)
4.3 RTG的基本方法
4.3.1 TAAF(试验,分析,纠正)
4.3.2 试验计划:产品计划里要有对产品研制的增长曲线,用特征值标识,目标达到可靠性指标要求,试验计划包括
- 试验的目的和要求
- 受试产品及每台产品的试验项目
- 试验条件,环境,适用状况,性能,工作周期
- 试验进度安排
- 试验装置,设备说明及要求
- 改进设计需要的时间和资源
- 数据的收集和记录要求
- 故障报告,分析和纠正措施
- 试验产品的最后处理
4.3.3 可靠性增长模型

注意:在反复的试验和改进过程,系统或元件的可靠性水平在不断的改进,因此,反应系统或元部件质量的总体水平也在不断的变化中。之前的统计方法,适用于不变总体。而可靠性增长遇到的是变动总体的统计分析方法。
- 丹尼模型
- 克劳模型
- 杜安模型(再次更新)
第五节 鉴定和验收试验(可以参考GJB899)
5.1 一些统计概念
- MTBF上限:可以接收的MTBF值,真值接近它的时候,高概率接收
- MTBF下限:拒收的MTBF值,真值接近它的时候,高概率拒收
- 鉴别比:MTBF上限除以下限
- 生产方风险:合格成了不·合格
- 使用方风险:不合格成了合格
5.2 抽样特性曲线(OC曲线)

5.3 可靠性统计的试验方案
- 计数验证试验
- 小批量(超几何)
- 大批量 (二项,泊松)
- GJB179
- 序贯二项试验方案
- 计量验证试验
- 定时截尾:指数分布,正态分布,威布尔分布
- 定数截尾:指数分布,正态分布(标准方差已知与未知两种),威布尔分布
- 序贯:指数分布,正态分布
- 干涉验证
- 贝叶斯序贯
- 试验方案的选择因素
- 产品特性,试验目的,允许时间,经费,试验设备
- 对于未知可靠度分布函数分布的
- 单次单个试验成本极高,困难很大的,可以考虑小批量计数试验
- 成本低,困难小,考虑用大批量计数试验
- 对于已经知道可靠度分布函数分布的可以采用计量验证方案中对应的方案
- 如果需要对MTBF做点估计或区间估计(包括双侧,通常是单侧),可以考虑定时截尾。
- 如果是鉴定验收,可以首选序贯实验方案
- 样本容量的确定
- 固定样本或序贯样本
- 鉴别比越小,样本量越大
- 风险率越小,样本量越大
5.4 鉴定试验
5.4.1 指数分布假设的统计试验方案,选择指数分布的原因是它较为普遍的适用,威布尔分布的形状参数为1时就是指数分布,但是也不可以滥用指数分布。
5.4.2 鉴定试验类似于我们的RTQ(qualifications),证明设计完成,投产之前,可靠性指标达到了要求,所以需要提供对对于可靠性指标的估计值。计划包括:
- 试验目的
- 试验方案
- 试验条件
- EUT
- 必备文档
- 试验进度记录
5.4.3 指数分布寿命试验的方案
- 无替换定数截尾
- 有替换定数截尾
- 无替换定时截尾
- 有替换定时截尾

5.4.4 可靠性特征值的点估计和区间估计
- 点估计
- 无替换定数截尾

- 有替换定数截尾

- 无替换定时截尾

- 有替换定时截尾?

- 无替换定数截尾
- 双侧区间估计
- 定数截尾


- 定时截尾
- 单侧置信下限估计
- 定数截尾
- 定时截尾
- 失效率为零时的定时截尾试验单侧置信下限估计
5.4 可靠性验收
目的:对已经经过鉴定的产品,对于生产批次做的评价,可以采用序贯法,定时定数等方案,试验条件于鉴定试验相同。
序贯试验通常具有做出判断所要求的平均失效数少,所要求的平均积累试验数最少的优点。在验收试验里最常用。
第六节 加速寿命试验
6.1 定义:
在不改变失效机理的情况下,加大应力,加快产品失效,缩短试验时间,估计出正常使用下的可靠性指标。
6.2 分类:

6.2.1 恒定应力ALT:经典方法,最常用
6.2.2 步进应力ALT:
6.2.3序进应力ALT:
6.3 方法
- 增大应力
- 严格失效判别标准
- 采用已经退化的样本
- 按比例放大或缩小模拟试验结果的方法
- 尺寸结构加速
2022年7月12日 更新到此
第四章 可靠性的数学度量
前三章的知识点为可靠性最为基础的入门知识,然而,作为一名可靠性工程师的话,远远不够,需要对可靠性的数学度量甚为清洗和明确,第四章开始,我们开始进阶的学习。非可靠性相关的同学可以绕行。
第五章 Weibull分布和Arrhenius模型
前言:
1951年,瑞典工程师、数学家Waloddi Weibull(1887-1979)详细解释了这一分布,于是,该分布便以他的名字命名为Weibull Distribution。
Weibull distribution与很多分布都有关系。如,当形状参数为k=1,它是指数分布;k=2且时,是Rayleigh distribution(瑞利分布)
韦伯分布的应用场景:
目录
- 工业制造
- 研究生产过程和运输时间关系
- 极值理论
- 预测天气
- 可靠性和失效分析
- 雷达系统对接受到的杂波信号的依分布建模
- 拟合度无线通信技术中,相对指数衰减频道模型,Weibull衰减模型对衰减频道建模有较好的拟合度。
- 量化寿险模型的重复索赔
- 预测技术变革
- 风速由于曲线形状与现实状况很匹配,被用来描述风速的分布。


形状参数,表示函数的走势,m>1,表示失效率随时间增加,m<1, 表示失效率随时间减小。

Weibull分布 - 简书 (jianshu.com)
https://www.jianshu.com/p/813b04d72f8f
威布尔分布的可靠性应用 - 知乎 (zhihu.com)
https://zhuanlan.zhihu.com/p/75574803 位置参数,且 l>0; 表示设备在[0, l ]之间不会发生故障。
威布尔分布之所以好用,是因为通过调整不同参数,可以表征整个产品生命周期,即可靠性常提到的浴盆曲线,分为早期失效、随机失效和老化失效三个阶段。

威布尔分布的可靠性应用 - 知乎 (zhihu.com)
https://zhuanlan.zhihu.com/p/75574803
第六章 ADT和ALT
本章参考资料b(174条消息) adt matlab 加速退化,【原创】加速寿命试验与加速退化试验的区别_龙纹身女孩的博客-CSDN博客
加速退化试验(Accelerated Degradation Testing,ADT)与加速寿命试验(Accelerated Life Testing,ALT)作为可靠性加速试验技术的两大重要组成部分,ADT是指通过提高应力水平来加速产品性能退化,采集产品在高应力水平下的性能退化数据,并利用这些数据来估计产品可靠性及预测产品在正常应力下的寿命时间的加速试验方法。
ADT与ALT两者研究对象不同,ADT的研究对象是具有性能退化数据的产品,ALT研究对象是具有失效寿命数据的产品。ADT只能研究退化性的失效模式,ALT除可以研究退化性的失效模式之外还可以研究突发性的失效。另外,两者目的不同,ADT的目的是找出产品性能退化如何发生、何时发生的,并在保持失效机理不变的条件下,将试品置于比正常应力严酷的环境条件或工作应力下进行试验,加速试品性能的退化,以确定材料、元器件、系统的退化轨迹,从而通过外推的方法得到产品在设计或使用条件下的失效时间或可靠性指标。ALT的目的是通过应用与可靠性或寿命相关的加速模型,通过比正常使用时更高的应力条件下的试验来度量可靠性或寿命,以确定其寿命长短。ALT试验方法主要利用截尾法来结束试验。
GB/T 34986 IEC62506

可靠性|加速寿命方法及模型的使用指导分析_耐久性试验__汽车测试网 (auto-testing.net)
https://www.auto-testing.net/news/show-113611.html上述链接中提出了多种模型,其中的温度模型就是阿伦纽斯模型
- 温度
- 温度循环
- 电应力
- 振动应力
本文来自互联网用户投稿,文章观点仅代表作者本人,不代表本站立场,不承担相关法律责任。如若转载,请注明出处。 如若内容造成侵权/违法违规/事实不符,请点击【内容举报】进行投诉反馈!
