STATA学习笔记之按照某个变量的类别分组排序
STATA按照某个变量的类别分组排序
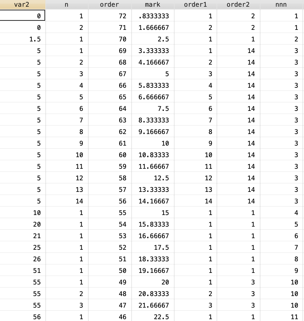
比如要按照var2这个变量的类别进行分组和排序,如下图所示:

四种情况:
如果需要生成n,命令是:
by var2, sort: gen n=_n
如果需要生成order2,命令是:
by var2, sort: gen order2=_N
如果需要生成order,命令是:
sort var2
gen order=_n
如果需要生成nnn,命令是:
sort var2
egen nnn=group(var2)
本文来自互联网用户投稿,文章观点仅代表作者本人,不代表本站立场,不承担相关法律责任。如若转载,请注明出处。 如若内容造成侵权/违法违规/事实不符,请点击【内容举报】进行投诉反馈!
