C N! SDUT
Time Limit: 1000 ms Memory Limit: 65536 KiB
Problem Description
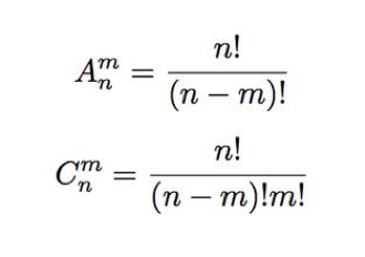
给出两个数 n, m。求
和
。
计算公式:

Input
输入数据有多组(数据组数不超过 250),到 EOF 结束。
对于每组数据,输入两个用空格隔开的整数 n, m (0 <= m <= n <= 20) 。
Output
对于每组数据输出一行,
和
用空格隔开。
提醒:因为n!和 m! 数据较大,定义数据类型应用 long long int,输出格式%lld
Sample Input
1 1
5 3
4 3
Sample Output
1 1
60 10
24 4
Hint
请注意数据范围,可能需要使用 long long 等 64 位整型,输出格式%lld
Source
MLE_kenan
本题需要定义一个求阶乘的函数,下面求排列组合数时多次用到,当程序较简单是函数的优势并不明显,但当程序较复杂时便体现出定义函数的优势,可以让程序清晰,化简一个程序中多次出现部分
#include
#include long long int f(long long int n)
//定义一个求阶乘的函数;{long long int sum=1,i;for(i=1;i<=n;i++){sum *= i;}return sum;
}int main(){long long int n,m;while(~scanf("%lld%lld",&n,&m)){long long int a,b;a = f(n)/f(n-m);b = a/f(m);printf("%lld %lld\n",a,b);}return 0;}
本文来自互联网用户投稿,文章观点仅代表作者本人,不代表本站立场,不承担相关法律责任。如若转载,请注明出处。 如若内容造成侵权/违法违规/事实不符,请点击【内容举报】进行投诉反馈!
