基于VORS、CCDM模型、GeoDetector、GWR模型集成技术在城镇化与生态系统健康空间关系分析及影响效应中的应用
原文:基于VORS、CCDM模型、GeoDetector、GWR模型集成技术在城镇化与生态系统健康空间关系分析及影响效应中的应用
城市群是一国经济发展水平的象征,也是一国经济发展到一定阶段的标志,我国城市群建设体量不断增加,将成为全球经济的核心,中国城市群的建设逐步引领全球进入到了21世纪的中国新时代。然而,高速的城镇化发展,不可避免地带来了一些对生态环境造成严重胁迫的问题,健康的生态系统是城市群的发展尤其是大城市群区域可持续发展的重要支撑,否则城镇化的发展可能会受到生态和环境的制约。在当前的城镇化建设过程中,要想实现区域的可持续发展必须协调好城镇化与生态环境保护。在城镇化进程中,已经不可避免地对生态系统各个方面产生了干扰。随着中共十八大“新型城镇化”的提出,越来越多的学者从不同视角对城镇化水平和生态系统健康进行探讨。城镇化与生态系统健康之间的相互作用是复杂的,有必要全面科学分析成渝地区城镇化水平与生态系统健康的空间关系,有利于提出与城镇化子系统对生态系统健康的影响相辅相成的改进措施,从而实现可持续发展。
当空间大数据、云计算与人工智能发生碰撞,地理服务产业也不断发生变革与进步。ArcGIS Pro 是一个专业的桌面 GIS 应用程序,可以探索,可视化,分析和管理二维和三维数据。R是用于统计分析、绘图的语言和操作环境。R是属于GNU系统的一个自由、免费、源代码开放的软件,它是一个用于统计计算和统计制图的优秀工具。本课程从基础、方法、拓展三方面对高光谱遥感进行讲解。基础篇,站在学员的角度去理解模型,讲述模型机理,遥感和GIS的基本概念和理论,帮助学员深入理解数据获取及预处理的方案。方法篇,将生态模型与ArcGIS Pro工具结合起来,采用ArcGIS Pro丰富的空间分析功能,快速提取模型运行所需的参量,对学习到的理论和方法进行高效反馈。拓展篇,通过空间自相关分析、地理探测器、地理加权回归等技术服务方案,结合R语言包,深入分析城镇化建设和生态系统健康水平间的关系。
将用案例实训,教授如何集成多源数据,依托ArcGIS Pro和R语言环境,采用“活力-组织力-恢复力-贡献力”(VORS)模型定量测算生态系统健康指数(EHI);如何从经济城镇化(GDPD)、人口城镇化(POPD)和土地城镇化(ULP)构建城镇化指数(UL)测算模型;如何定量测算长时序城镇化水平及生态系统健康状况,利用耦合协调度模型(CCDM)评估城镇化建设和生态系统健康水平间的耦合协调水平;如何采用地理和时间加权回归(GTWR)来衡量城市化与生态系统健康(UAEH)之间的互动关系和时空异质性,如何从多维和综合视角来评估城镇化建设和生态系统健康之间的空间关系,如何采用地理探测器进一步解析环境变量对生态系统健康的影响效应。
通过本学习,您将学会GIS和RS的基础知识,掌握空间数据获取及处理的技巧,学会地图符号与版面设计的方案;你也能掌握VORS模型各指标参量的选择与获取的方法,城镇化指数(UL)测算模型构建的方案;您可以进一步掌握研究城镇化与生态系统健康的空间关系的方法,并能够从多维度、多视角分析城镇化和生态系统健康的空间关系及影响效应。
第一章:生态系统健康理论基础及研究热点分析
1.生态系统健康概念及内涵
2.生态系统健康评价方法与指标体系
3.城镇化与生态系统健康
4.研究热点及未来发展方向

第二章:GIS应用
1.ArcGIS软件介绍及安装、常用功能介绍
ArcGIS版本介绍,安装;
ArcGIS软件界面,常用功能介绍;

2.数据类型与加载
(1)数据类型及获取方式介绍:
(2)ArcGIS Pro 可使用和集成各种数据集类型:包括基于要素和栅格的空间数据(包括图像和遥感数据)、表格数据、激光雷达等
(3)数据进入ArcGIS Pro
(4)从 ArcGIS Living Atlas、工程中的默认地理数据库和本地文件夹连接添加数据。
(5)空间地理数据库建立
(6)数据格式转换
(7)预览并浏览数据,检查其元数据,将其裁剪到感兴趣的重点区域,并对其进行处理以确保格式和空间参考的一致性

3.坐标系及地图投影
(1)地理坐标系
(2)投影坐标系

4.地图符号与版面设计
(1)根据获取或创建的空间数据集来创作地图
(2)符号化地图图层
(3)对地图进行标注
(4)创建图表
(5)地图布局:地图排版设计
(6)插入地图整饰要素:为地图添加文字信息; 使用表格框、使用经纬网、构建空间地图系列
(7)研究区域图制作

第三章:空间数据获取与预处理
1.数据类型

2.数据预处理
(1)土地利用数据
将土地利用按照需求进行重分类。
土地利用数据的重分类、掩膜提取和投影变换等均在ArcGIS 中完成。
(2)DEM数据
在PIE ENGINE云平台或者下载得到分辨率为30 m的ASTER GDEM数字高程数据,并在云平台进行拼接、裁剪等预处理后导出到本地。
或者在地理空间数据云平台下载得到分辨率为30 m的ASTER GDEM数字高程数据,在ArcGIS 中进行拼接、裁剪。
在ArcGIS 中进行投影变换和No data值处理等得到30 m×30 m栅格数据。
(3)社会经济数据
社会经济数据,主要包括人口、社会、经济三个方面,各项统计数据主要从《**省统计年鉴》、《中国城市统计年鉴》和各个市、区(县)统计公报等获取。各指标数据基于所收集到的原始数据进行整理和处理。
(4)遥感产品数据
归一化植被指数(NDVI)、GDP和人口数据等可以分别采用中国科学院资源环境科学数据中心产品“中国年度植被指数空间分布数据集”“中国人口空间分布公里网格数据集”“中国GDP空间分布公里网格数据集”,空间分辨率均为1 km×1 km,主要在ArcGIS 中进行投影变换后,用空间范围矢量边界对相应的栅格数据分别进行掩膜提取。
也可以在PIE ENGINE云平台或者下载得到NDVI\NPP\GDP\POP等遥感数据集,并在云平台进行拼接、裁剪等预处理后导出到本地。
3.指标标准化处理
由于评价模型中指标的类型、量纲和趋势各不相同,对各指标进行了标准化和归一化:
正向指标:

负向指标:


第四章:模型参量提取
1.生态系统健康水平测算
基于VORS(活力-组织力-恢复力-服务)模型,主要依据生态系统活力(EV)、生态系统组织力(EO)、生态系统恢复力(ER)和生态系统服务(ES)4个指标,对生态系统健康进行评估。

(1)生态系统活力(Ecosystem Vigor,EV)
自然生态系统活力一般指生态系统的初级生产力、代谢能力和活性。可以采用NDVI或者NPP等植被参量进行表征。

NPP的计算方法通常基于植物生物量变化或光合作用的速率。计算NPP时需要考虑到生态系统内各种因素的影响,包括气候因素(如降水量、温度、日照时数等)、土壤因素(如土壤养分含量、质地等)和植物物种、密度和分布等因素。
数据集下载与预处理:
基于PIE ENGINE的长序列NDVI指数、NPP指数提取与预处理;

(2)生态系统组织力( Ecosystem Organization,EO)
生态系统组织力指生态系统结构的稳定性,其度量通常选取基于空间邻接关系的景观格局指数构建指标体系。景观格局是不同类型景观斑块的空间排列。景观格局指数是一个描述不同土地利用类型的斑块大小、数量、面积、形状、布局和其他特征的指标。
生态系统组织力的计算方法:

对生态系统组织力的定量评价主要是从景观异质性、景观连通性及具有重要生态功能的斑块连通性进行的,采用Fragstats 4.2 软件进行景观格局指数计算。
1)Fragstats 使用的数据是栅格数据,数据格式为 GeoTIFF(.tif),注意属性最好为英文,不然可能报错,数据的预处理过程可以在 ArcGIS 中进行。 模导
2)一个 Fragstats 模型简单来说就是为 Fragstats 进行了配备了分析所需的全部参数。点击左上角工具条上的 New 按钮或从 File 的下拉菜单中选择 New 选项,即可创建一个空白模型。
3)加入之前准备好的实验数据,点击Add layer:
常用的一些景观指数以及他们的具体含义以及们在 Fragstats中的英文缩写:

4)设置参数:点击工具栏下方的Analysis parameters,并在下方选择Use 8 cell neighborhood rule,8近邻相比4近邻更为平滑,但计算也相对较慢。勾选Patch metrics、Class metrics、Landscape metrics以及Generate patch ID file。

5)视需要输入分类描述信息:新建一个 txt 文件,后缀为.fcd,其中 ID 即为不同地表类型的取值,它们取决于输入的栅格; Name 是每种地表分类的描述,在 Fragstats 的输出文件中将以TYPE 字段显示; Enabled 和 IsBackground 两者分别表示是否计算并输出本类型以及是否将本类型作为背景值。
6)接下来我们把设置好的 fcd 文件导入 Fragstats:

7)设置计算指标
斑块密度(PD)
指标位置:Class metrics -> Aggregation
生态学意义:表征景观格局破碎程度的指标之—。斑块密度值越高,斑块的数量越多,反映景观破碎化程度以及景观空间异质性程度越大。
平均分形维数(FRAC)
指标位置:Patch metrics -> Shape
生态学意义:平均分形维数=1表示景观形状简单,其值越大表示景观斑块形状越复杂。
最大斑块面积指数(LPI)
指标位置:Class metrics -> Area-Edge
生态学意义:最大斑块指数有助于确定景观的优势类型,可以反映人类活动的方向和强弱。
景观分割指数(DIVISION)
指标位置:Class metrics -> Aggregation
生态学意义:景观分割指数反映景观中斑块的分离程度,值越大表明景观内斑块组成越破碎、景观越复杂。
香浓多样性指数(SHDI)
指标位置:Landscape metrics -> Diversity
生态学意义:香浓多样性指数能反映景观异质性,对景观中各斑块类型非均衡分布状况较敏感,且在一个景观系统中,土地利用越丰富,破碎化程度越高,SHDI值越高。
聚集度指数(AI)
指标位置:Landscape metrics -> Aggregation
生态学意义:聚集度指数表明景观斑块间聚合的程度,其值越大表示同类斑块的聚集度越高。
8)保存后,点击运行,确定无误得出运行结果

9)最后的结果可以在“Results”中看到

(3)生态系统恢复力(Ecosystem Resilience,ER)
生态系统健康的另一个重要评价指标是生态系统弹性,也可以称为生态系统恢复力,是指自然生态系统在受到外界干扰后恢复到其原有结构和功能的能力,可以用抵抗力(Resistance)和恢复力(Resilience)来衡量。

(4)生态系统服务(Ecosystem Service,ES)
生态系统服务表示生态系统为人类社会提供直接或间接效益的能力,其是指示区域生态系统健康的重要指标。生态系统服务可以从两个方面来衡量:一是区域不同土地利用/覆被类型的生态系统服务系数(ESC),可以通过特定土地利用类型的生态系统服务价值与空间单元所有土地利用类型的平均生态系统服务价值的比值来确定;二是土地利用类型的空间邻近性。

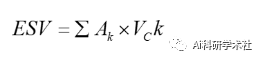
生态系统服务是指生态系统和生态过程对人类生存形成和维持的自然效用,反映了生态系统中相互关联的生态功能的产物。文章考虑空间异质性、社会发展程度和人口差异因素,采用改进的当量因子法计算生态系统服务价值(ESV)。

基于PIE ENGINE云平台获取生态系统服务价值数据

2.城镇化水平测算
城镇化是一个复杂的系统,可以从人口、土地和经济3个维度构建区(县)域城镇化水平综合评价指标体系。人口城镇化常用人口密度(POPD)来量化;经济城镇化用国内生产总值密度(GDPD)来量化;选取建设用地比例(ULP)来表示土地城镇化,将这些指标整合为一个衡量区域城镇化水平(UL)的综合指标。

(1)人口密度数据获取
数据来源:
中国科学院地理科学与资源研究所资源环境科学与数据中心WorldPop数据集,数据集分辨率较高可达100 m
数据链接
http://www.resdc.cn/DOI/DOI.aspx?DOIid=322→https://www.worldpop.org/project/categories?id=3
https://engine.piesat.cn/dataset-list
数据预览---POP人口密度数据

(2)经济数据获取
数据预览---GDP经济数据
https://www.resdc.cn/DOI/DOI.aspx?DOIID=33
https://doi.org/10.6084/m9.figshare.17004523.v1

第五章:城镇化和生态系统健康空间关系测算
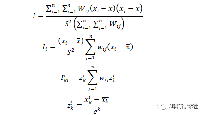
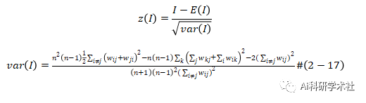
1.空间相关性分析
空间自相关是指地理对象的某一属性值的相似性与空间位置差异之间的统计相关性。空间自相关分析包括全局空间自相关和局部空间自相关。

计算出全局和局部Moran’s I 后,一般还需要对其结果进行假设检验[:

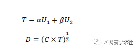
2.耦合模型
(1)耦合度模型
耦合是指多个系统之间或系统内部各组成要素之间通过相互作用、相互影响,彼此之间产生相互促进或约束,以致联合起来的现象。耦合度是对系统之间或系统中各要素相互作用、相互联系的紧密程度的一种度量:

(2)耦合协调度模型(CCDM)
协调则是系统之间一种良性的相互关联,体现了系统要素从杂乱无章到和谐发展的趋势。利用耦合协调度模型来考量城镇化与生态系统健康之间的发展协调性:

3.城镇化对生态系统健康的影响效应
运用地理探测器模型研究城镇化子系统对研究区生态系统健康空间分布特征的解释强度。

(1)R开发环境部署及简介
(2)R语言中地理探测器简介
geodetector包(install.packages("geodetector") ),
GD包install.packages("GD")

(3) 栅格数据读取与预处理
(4)无效值去除

(5)分异及因子探测
在geodetector包中,基于factor_detector()函数实现

(6)交互作用探测
通过interaction_detector()函数来执行

(7)最优参数地理探测器(OPGD)
采用最优参数地理探测器(OPGD),划定最优参数区间,以因子探测以及交互探测两大模块解析城镇化子系统对生态系统健康影响效应。
离散化方法:equal(等距),natural(自然间断点分类),quantile(分位数),geometric(几何间隔),sd(标准差),manual(手动间隔)
optidisc()函数:通过算法自动计算出最优的方法及分类

4.城镇化对生态系统健康影响效应
运用地理加权回归模型从全局视角探析城镇化对生态系统健康影响的空间异质性。
(1)地理加权回归(GWR)简介
(2)六个核函数的选择:
(3)Global Model(均值核函数)、Gaussian(高斯核函数)、Exponential、Box-car(盒状核函数)、Bi-square(二次核函数)、Tri-cude(立方体和函数)
(4)带宽的确定
(5)回归结果解读

第六章:SCI论文写作与拓展
1.论文写作思路与心得分享
2.SCI论文案例分析

基于VORS、CCDM模型、GeoDetector、GWR模型集成技术在城镇化与生态系统健康空间关系分析及影响效应中的应用https://mp.weixin.qq.com/s?__biz=MzU0MDQ3MDk3NA==&mid=2247552572&idx=3&sn=ab82ac9e94b58dc1b4593ce4f06b0bf4&chksm=fb3af5edcc4d7cfbf5be677beb2fdadb979180a3011e027e13798184885777651b1ea1c99c07&token=992698870&lang=zh_CN#rd
本文来自互联网用户投稿,文章观点仅代表作者本人,不代表本站立场,不承担相关法律责任。如若转载,请注明出处。 如若内容造成侵权/违法违规/事实不符,请点击【内容举报】进行投诉反馈!
