详解GCN原理-公式推导
GNN survey
convolution
如何graph domain 上做convolution 是最近最热门的研究方向。
总的来说有两种卷积的方法: Spectral and non-spectral (spatial)
spectral Network
通过对图的拉普拉斯矩阵做特征分解,将它定义在 傅里叶 domain上。
在深入解释之前,先看一些有关图的定义,以下都是针对无向图所做的说明

对于图 G G G,可以用它其中的节点 V V V 和 边 E E E来对他进行定义。
矩阵 A A A是图的邻接矩阵,反应了节点之间有无连接。
D D D代表了图的度矩阵,表示了每个节点有多少个度,即有多少条边和它相连接, D D D为对角矩阵
f f f代表了一中映射,可以节点转换为信号。

当给了一张图:
- 我们有了它的邻接矩阵 A A A和度矩阵 D D D

- 计算拉普拉斯矩阵,其实很简单就是 D − A D-A D−A:

-
然后对 L L L做spectral decomposition ,又称特征分解。因为 L L L是对称矩阵,所以可以得到以下的分解形式:
L = U Λ U T L=U\Lambda\ U^T L=UΛ UT
其中 Λ \Lambda Λ是特征值的对角矩阵, U U U是一个由特征向量组成的向量。Λ = d i a g ( λ 0 , . . . , λ n − 1 ) , U = [ μ 0 , . . , μ n − 1 ] , 正 交 的 \Lambda=diag(\lambda_0,...,\lambda_{n-1}), U=[\mu_0,..,\mu_{n-1}],正交的 Λ=diag(λ0,...,λn−1),U=[μ0,..,μn−1],正交的。



- 假设 f = [ 4 , 2 , 4 , − 3 ] T f=[4,2,4,-3]^T f=[4,2,4,−3]T,我们来研究 L f Lf Lf代表了什么意思:
L f = ( D − A ) f = D f − A f Lf=(D-A)f=Df-Af Lf=(D−A)f=Df−Af


我们只关注于第一个结点 v 0 v_0 v0,根据上图我们可以看到,结果 a a a就是结点 v 0 v_0 v0和它的两个邻居结点 v 1 , v 2 v_1,v_2 v1,v2信号的差值。
- 那么就有下式的成立:

如果 f T L f f^TLf fTLf表示相邻结点之间能量的话,那么如果信号的频率越高,则相邻的两个信号之间的差值就越大,能量也就会越大。
- 而特征值 λ \lambda λ,就是一种频率的反映

-
Vertex domain 转换成 spectral domain
给定一个图的结点的signal x x x,则经过傅里叶转换到频域上的 x ^ = U T x \hat x=U^Tx x^=UTx

其实就是乘上不同频率 λ \lambda λ上的特征值,得到这个信号在不同频率上的大小是多少:

-
怎么转换回去呢?spectral domain 转换成 Vertex domain
就是将每一个频率下对应的信号,和对应特征向量中的值相乘:

右边一列是在不同特征值下的特征向量的分布情况,下面的那一行不同频率下的值。
现在我们知道了 vertex和spectral domain 互相转换的方法
**如果我们在spectral 转换成 vertex的时候,改变转换时乘上的参数,改成一个 g θ ( Λ ) g_\theta(\Lambda) gθ(Λ) 一个关于 θ 的 函 数 \theta 的函数 θ的函数 ** 。
然后我们希望通过这个 g θ g_\theta gθ转换成我们想要的label,那么这个过程就是可以通过神经网络进行训练的。

-
现在我们明确了我们想找的filter g θ ( Λ ) g_\theta(\Lambda) gθ(Λ),使得:
y ^ = g θ ( Λ ) x ^ \hat y=g_\theta(\Lambda) \hat x y^=gθ(Λ)x^⇒ g θ ( Λ ) U T x \Rightarrow g_\theta(\Lambda) U^Tx ⇒gθ(Λ)UTx
两边同时成一个 U
U y ^ = U g θ ( Λ ) U T X U\hat y=U g_\theta(\Lambda)U^TX Uy^=Ugθ(Λ)UTX
合并一下:
y = U y ^ = U g θ ( Λ ) U T X = g θ ( U Λ U T ) X = g θ ( L ) x y=U\hat y=U g_\theta(\Lambda)U^TX=g_\theta(U\Lambda U^T)X=g_\theta(L)x y=Uy^=Ugθ(Λ)UTX=gθ(UΛUT)X=gθ(L)x -
上述的 g θ ( . ) g_\theta(.) gθ(.)可以是任意的一个函数,比如:

根据泰勒展开式会有上述的形式,但是这样会出现一个问题1,就是学习的复杂度太高了: O ( n ) O(n) O(n)
还有另外一个问题2:
当 g θ = L 2 g_\theta=L^2 gθ=L2的时候:

L 2 L^2 L2代表着与结点距离为2的邻居结点的信息, L n L^n Ln则代表着距离为n。如果当n越来越大,那么图中的每一个结点会和其他的所有结点相关,这个就违反了局部性 localized。
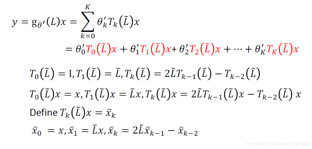
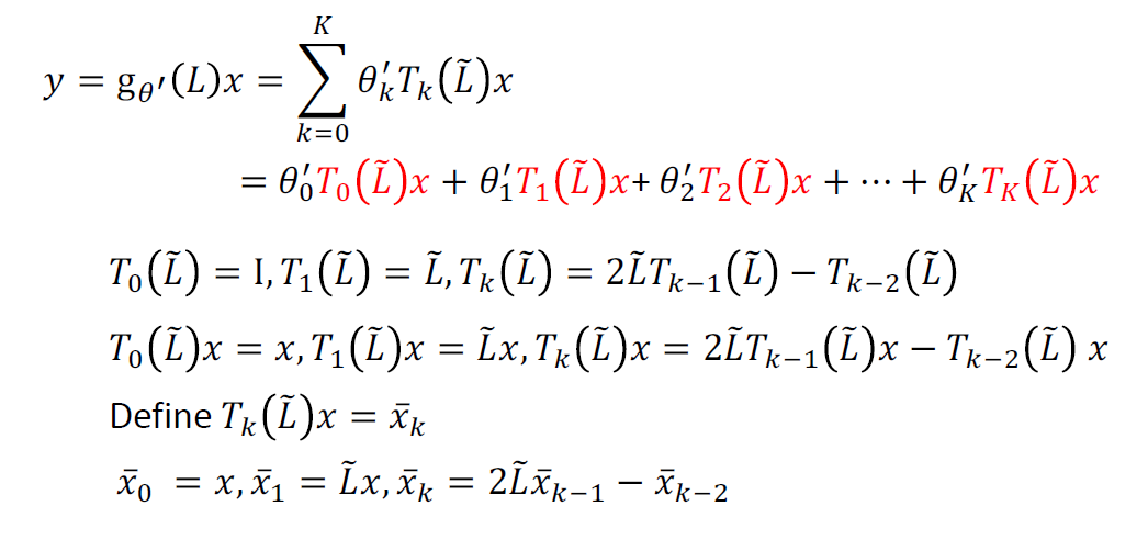
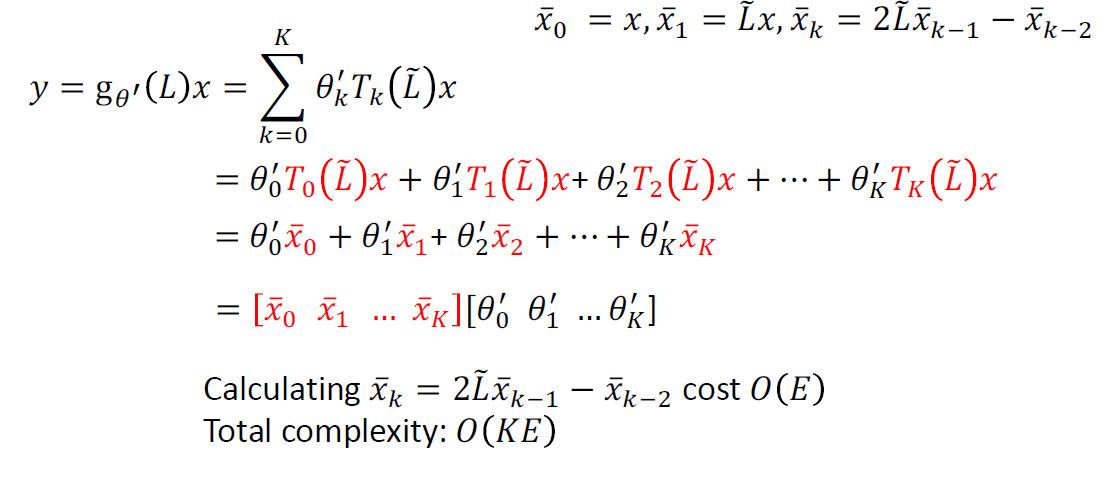
使用ChebNet去解决上述的两种问题
我们使用 一个可以被循环计算的多项式函数来拟合L






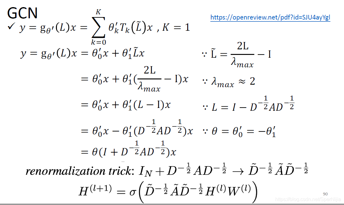
综上,GCN的最终形态会被写成:

参考
视频:https://www.youtube.com/watch?v=M9ht8vsVEw8&t=1913s
PPT:http://speech.ee.ntu.edu.tw/~tlkagk/courses/ML2020/GNN.pdf
本文来自互联网用户投稿,文章观点仅代表作者本人,不代表本站立场,不承担相关法律责任。如若转载,请注明出处。 如若内容造成侵权/违法违规/事实不符,请点击【内容举报】进行投诉反馈!
