详解阿里巴巴1688日常业务中的榜单算法
导读:本文详解阿里巴巴1688日常业务中的榜单算法。
作者:阿里集团 新零售技术事业群 CBU技术部
来源:大数据DT(ID:hzdashuju)
在1688日常的业务场景中,榜单(如图6-14所示)一直以来都对买家起到了很好的风向标作用,但在日常场景中,运营对榜单的人工干预较大,人力成本较高,同时多是大颗粒度的投放,并没有进行深层的细分挖掘。
▲图6-14 榜单产品示意图
随着我们对流量和商品的进一步挖掘,更多的细分主题市场、流量特征被挖掘出来,使得在细分主题市场上生成榜单,并对流量做精准的匹配变成可能。在日常,以类目为主线,在细粒度的主题市场上生成了上万个榜单,投放于榜单会场中,并个性化地呈现在买家面前。
01 榜单生成
传统的榜单生成需要大量的人力参与,所以让人在大促的时候生成榜单,成本会非常大。也正因为如此,我们尝试用纯算法的方式自动化生成。
与人工生成榜单相比,算法生成榜单无论是在榜单的多样性还是生产效率上都有非常大的优势,如图6-15所示,但在榜单的准确度和重复度上,可能不及人工生成的榜单。所以,这次算法生成榜单要在保证效率和多样性的基础上,再提高准确度,同时降低榜单语义上的重复。
▲图6-15 榜单生成过程示意图
在榜单生成上,我们刚开始考虑直接用叶子类目,这种做法的好处是可以非常快地对商品进行聚合,并用叶子类目的名称对榜单进行定义,然后进行排序并展示给用户。
但是这也会有问题,问题在于不同的行业类目的层级和细分程度是不一样的。就以女装为例,连衣裙是女装的一个叶子类目,但是生成一个连衣裙榜,这个榜单个性化程度还是太粗,凡是偏好连衣裙的用户看到的榜单内容还是完全一致的。用户会迅速产生使用疲劳。
从算法的角度来讲,榜单生成可以看成对指定的一批商品,根据商品特征进行聚类,然后对聚类后的内容进行定义的过程,如图6-16所示,其中属性词为基于商品标题和属性的电商命名体识别,品类词为基于商品标题识别的品类词+类目信息+威尔逊置信区间打分。
▲图6-16 榜单主题生成过程示意图
这样就可以得到每个商品对应的属性词和品类词。将这些属性词和品类词制作成商品的标签,然后利用属性词和品类词的组合来生成榜单。假设商品类目和属性如下所示,定义榜单主题集合为收脚运动裤、垂钓头灯、户外登山鞋。
女装:款式元素&材质&场景&风格
男装:款式元素&材质&场景&风格
配饰:人群&元素&材质&功能&风格
个护:功效&材质&人群&地点
利用以上方式可以快速从0到1生成初始榜单,并且绝大部分主题效果是不错的,但还是会出现雷同的主题。考虑到在无线会场推荐的时候,如果根据用户行为召回榜单却出现雷同的主题榜单,那么用户体验会非常差,也会浪费流量,因此在初始榜单生成后,需要对榜单进行合并归一化。
在生成的榜单中可能会出现类似下面这样的榜单,从产品的角度来看,这类榜单必须合并。
榜单1:卡通杯子榜、卡通水杯榜。
榜单2:垃圾桶榜、纸篓榜、垃圾筒榜。
榜单3:长袖T恤榜、长袖T恤衫榜。
仅仅从名称入手,榜单3是比较好合并的,而榜单1和榜单2就不太好合并了。榜单的合并必须从榜单中的商品集合入手。这里我们用了jaccard相似度计算的方式解决这个榜单合并的问题。
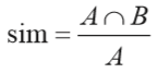
假设A榜单的商品集合为A,B榜单的商品集合为B,那么通过jaccard相似度计算的公式,A与B的交集除以A与B的并集,就得到榜单A和榜单B的相关度了。相关度越高,两个榜单就越好合并。
利用这个方法,可以非常快速地找到两个相似的榜单,但是如果直接拿jaccard相似度来计算会有一些极端情况。比如要计算A和B两个榜单的相关度,假设A榜单中所有的商品几乎都出现在了B榜单中,但是A榜单的商品集合相对较小,B榜单的商品集合很大,那么根据jaccard相关度计算公式,两个榜单的相关度会非常小,从而使两个榜单无法合并。这个时候我们需要把jaccard的相关度算法做个小改进:
其中A为A和B中元素较少的榜单集合。如果发现A榜单和B榜单内的商品集合相关度高,那么就把A榜单合并到B榜单中,这样就可以比较好地规避上面提到的问题。
02 榜单召回推荐
榜单召回主要考虑用户的实时足迹偏好和类目偏好两个维度,如图6-17所示。
▲图6-17 榜单召回策略示意图
主要的召回策略如下所示。
I in B:如果用户的足迹在某个榜单的商品中,那么召回对应的榜单
I2I in B:如果用户的足迹不在榜单商品中,那么将用户浏览过的商品扩展到更大的商品集合,再匹配到榜单内的商品,然后把对应的榜单召回
C2B:根据偏好类目召回榜单
03 榜单内商品排序
为了保证榜单的权威性,并不会对榜单内部商品进行个性化排序。对榜单内部的商品,按照大促所属的不同周期选择不同的排序方案。预热期按照买家的访问和下单的情况进行排序,大促爆发期则按照商品的实时GMV进行排序。
当然,也可以引入机器学习和深度学习构建排序模型,这部分内容和搜索、推荐比较类似,就不展开陈述了。
04 榜单个性化文案
1. 背景
榜单作为商品内容化的重要载体,如何展示更丰富的信息,起到“种草”、辅助成交转化的作用,一直是这一产品优化的方向。
我们通过智能文案技术,为榜单生成定制化的描述文案,通过一句话概括榜单内商品的功能功效和设计亮点,使其不只是商品的简单聚合,还能打出特有的内容心智。整体技术方案如图6-18所示,我们尝试加入风格控制,目的是在智能文案生成的过程中控制文案的风格。
▲图6-18 榜单文案算法模型
2. 数据预处理
我们采用基于单品的短亮点文案数据进行模型训练。榜单作为相同细分品类商品的聚合,包含的商品属于相同的品类并具有相似的属性,因此可以采用单品文案模型进行生成。
在测试数据上,我们首先选取了各榜单头部N个商品的标题,进行分词后,以TF-IDF算法计算词权重。以当前榜单中的词,在相同叶子类目的所有榜单中出现的频率作为其逆文档频率(IDF),与其在当前榜单中出现的频率(TF)相乘后进行排序,旨在选出当前榜单中最具有代表性的K个关键词,作为模型的输入。
3. 风格控制
榜单作为产品化组件,往往会在不同主题的日常与大促会场进行插入。因此,需要配合不同的使用场景,生成不同风格的榜单文案。
我们通过命名实体识别的方式,选出营销服务、款式元素、功能功效、新品、人群、修饰等实体词作为限定的风格词,采用风格化控制文案模型,根据需求的不同,分别生产出偏营销、偏细节描述、偏“种草”、偏节日氛围等不同风格的榜单文案,韩版连衣裙榜单风格文案示例如下所示。
可爱:韩版春季连衣裙,穿出可爱气质
羊绒:韩版羊绒针织连衣裙,时尚又减龄
少女:韩版宽松学生连衣裙,秒变韩剧美少女
爆款:今夏最热的爆款连衣裙,穿上就是韩剧女主
4. 人群个性化文案
文案的个性化一直是文案生成的优化方向。我们在生成文案时,将不同人群的历史偏好特征考虑在内,旨在生成更符合用户兴趣的文案,实现更好的转化效果。
我们统计了用户在各叶子类目下的点击行为,选取了用户点击商品标题、卖点文案中的高频词,以及用户在相应叶子类目下的搜索词,作为用户偏好特征,并通过聚类按照相似偏好划分人群,得到不同人群在各叶子类目下的点击和搜索高频词。
我们认为,这些词更符合相应人群对当前类目商品的需求与表述习惯。我们将其编码后输入生成模型进行人群控制,针对各人群生成个性化的榜单文案,示例如下所示。
个性化榜单数量十分庞大,智能文案解决的就是给榜单命名及描述榜单的问题,让榜单不是单纯地罗列商品,不同的榜单也有多样的描述,如图6-19所示。
▲图6-19 榜单个性化文案效果图
关于作者:阿里巴巴CBU技术部(1688.com),作为阿里集团新制造和新零售的重要技术生力军,CBU技术团队15年来一直以技术之力赋能千万中小企业,沉淀了一系列极具B类特色的交易、支付、营销、采购、分销技术产品,促进B类全链路商业效率优化。
本文摘编自《阿里巴巴B2B电商算法实战》,经出版方授权发布。
延伸阅读《阿里巴巴B2B电商算法实战》
点击上图了解及购买
转载请联系微信:DoctorData
推荐语:阿里巴巴CBU15年电商经验总结,揭秘阿里B2B背后核心算法和技术,搜索、推荐、营销、直播、端智能等场景算法集中呈现,阿里官方出品。
更多精彩回顾
书讯 |华章计算机拍了拍你,并送来了8月书单(下)
书讯 | 华章计算机拍了拍你,并送来了8月书单(上)
上新 | 首本深入讲解Linux内核观测技术BPF的书上市!
书单 | 《天才引导的历程》| 西安交通大学送给准大一新生的礼物
干货 | 机器人干活,我坐一边喝茶——聊聊最近爆火的RPA
收藏 | 揭秘阿里巴巴的客群画像
本文来自互联网用户投稿,文章观点仅代表作者本人,不代表本站立场,不承担相关法律责任。如若转载,请注明出处。 如若内容造成侵权/违法违规/事实不符,请点击【内容举报】进行投诉反馈!
