【虚拟仿真】人口模拟系统,老龄化和少子化距离我们有多远
人口模拟系统,老龄化和少子化距离我们有多远[计算机虚拟仿真]

git地址:https://gitee.com/asiworld/MakeAModelFrom-code
csdn博客地址:https://blog.csdn.net/JianShengShuaiest
bilibili地址:https://space.bilibili.com/15766978
开头
人口老龄化这个词离我们有多远?
当我们听到新闻,妈妈退休的年级延期到60岁,爸爸的退休年级延期到65岁的时候,
当我们看到很多城市为了引进人才而放宽政策的时候,
当我们在社会中滚打,伤痕累累的给家里打一个视频却要笑着和妈妈爸爸说今天有多么顺利的时候.
大家好,我是谢斯,这一期我制作了一个人口变化虚拟仿真系统.
让大家清晰的看到人口老龄化离我们有多远,
简介
我百度了人口老龄化,从中提取了三个重要的信息,
-
人口老龄化是指人口生育率降低和人均寿命延长导致的总人口中因年轻人口数量减少、年长人口数量增加而导致的老年人口比例相应增长的动态。
-
根据1956年联合国《人口老龄化及其社会经济后果》确定的划分标准,当一个国家或地区65岁及以上老年人口数量占总人口比例超过7%时,则意味着这个国家或地区进入老龄化
-
0~14岁人口占总人口的比例在
15%以下,为超少子化;
15%~18%,为严重少子化;
18%~20%,为少子化;
20%~23%,为正常;
23%~30%,为多子化;
30%~40%,为严重多子化;
40%以上,为超多子化。
总结这些信息可以得到我们需要重点关注的数据
- 出生率:出生人口占总人口的多少,
- 低龄率:14岁以下人口占总人口的比重
- 老龄率:65岁以上人口占总人口的比重
先对这三个概念进行讲解,我们先来假设一个城市,这个城市有100个人,
如果出生了一个婴儿,那么出生率就为1%
如果又死了一个人,那么死亡率就是1%
这个城市每个人的年龄分布在0-99岁,
那么这个城市的低龄率为15%,老龄率为35%
虚拟仿真
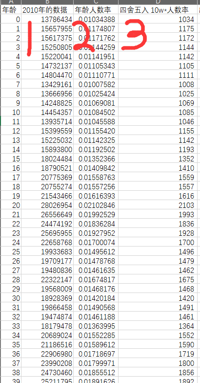
下面开始进入虚拟仿真阶段,我们来仿真一个100,000人的世界,首先我们需要做的就是得到一个比较真实的人口/年龄的数据
得到人口比例
- 从国家统计局得到人口和年龄的表格数据,
- 通过excel表格算出每个年龄的人口比例,我们程序制作一个10w人的世界,
- 我们把10w乘上比例系数,四舍五入,最终得到的是100005人的一个数据,
得到生育率和年龄的曲线
得到了人口的数据,下面我们就要得到一个生育率和年龄的曲线,我们假设从15岁到38岁都可以生育,24岁到达一个生育率巅峰,生育率总和为0.5,0.5的意思就是两个人组成家庭,一生生一个孩子,
有了这个生育率曲线,我们还要加入一个不同年代的社会因素,比如这次疫情肯定会让今年和明年的生育率大幅上升,
2010年还在计划生育,加上一些地方生育限制能力差,所以我们2010年的系数是1.3,2015年打开二胎政策,但是因为大家没钱生孩子,所以我们从2015年到2025年生育系数逐渐提高到2.0,因为2020疫情,有钱能生的基本上都怀了,所以一定会有一个生育高峰期,这样会导致2022年的生育计划提前了,2022年的生育系数会稍微降低一些.
我们再在人口上加入一些波动,效果就编程我们看到的这个样子
得到死亡率和年龄的曲线
有了生育,人口就会不断的上升了,人口需要有一定的减少才能维持平衡,否则会爆炸增长,参考我在网上看到的资料,大概得到了一个曲线,我看了一下曲线,大概和我想象中的一样,随着年龄的增长,死亡率也会增长,我做的这个世界的人的寿命是100岁,101岁的死亡可能性是100%,所以我们就可以得到我们想要的一个死亡率和年龄的曲线
总结
有了以上的数据,我们就可以从2011年开始模拟我的城市的人口变化情况,因为是概率性的,所以每次算出的结果也不一样,所以得到不同的结果也是很正常的
预览场景1效果
-
我们现在就运行一下效果,
-
初始这里面有100,005个小方片,
-
每一个方片代表一个人,
-
人变绿了说明她要生娃了
-
人变红了说明他要死亡了
-
这个图会模拟从2010年到2110年的人口变化,
-
等待演示完成,
-
运行完成后我们会把刚刚的人口信息保存成一个excel,
-
纵轴是年龄,
-
横轴是年代,
-
这个时候我们动态的读取这个数据,
-
来查看一下不同年代的人口比例
预览场景2效果
- 我已经得到了100年的数据了,下面我们要做的就是把excel动态的读取出来,
- 以纵轴为年龄轴,制作一个人口柱状图,
- 右边有0-14岁 15-64岁和65岁以上的人口比例,
- 从2010年,一直到2110年,的人口变化
- 看着这100年的人口和年龄的关系图,
- 原来的十万零五人,最后会变成什么样子呢,
- 如果我们是这里面的某个人,我们在不同的年代会有什么影响呢
- 运行完成之后我们会得到另一个excel数据
预览excel
-
我们打开excel表格,可以看到
-
可以看到里面一共有两项数据
-
不同年代的低龄率和高龄率,
-
旁边是分别有低龄率和高龄率的两条曲线的图表
-
我们可以发现低龄率的一个趋势,一直维持在17%之间
-
高龄率逐渐上升,到达2059年的时候达到顶峰23.97%,随后逐渐降低直到后面趋向于18%
最后的总结
- 最后总结一下
- 人口老龄化距离我们遥远么,其实一点也不遥远,
- 当我们看到孩子被老一辈们惯坏.
- 当你离开父母去大城市生存,
- 当你看到新闻上的家庭赡养纠纷
- 所以我们离人口老龄化真的很近
参考数据 ,
2010年 不同年龄的生育比例2-6-2卷,
http://www.stats.gov.cn/tjsj/pcsj/rkpc/6rp/indexch.htm
但是感觉好离谱于是还是参考了
https://wenku.baidu.com/view/17b437f7cfc789eb162dc897.html
2010年 不同年龄的死亡比例
https://wenku.baidu.com/view/17b437f7cfc789eb162dc897.html
参考数据
2010年 不同年龄的人口比例 1-3-1卷
http://www.stats.gov.cn/tjsj/pcsj/rkpc/6rp/indexch.htm
本文来自互联网用户投稿,文章观点仅代表作者本人,不代表本站立场,不承担相关法律责任。如若转载,请注明出处。 如若内容造成侵权/违法违规/事实不符,请点击【内容举报】进行投诉反馈!
