二阶系统的带宽(频域分析)
文章目录
- 1、典型二阶系统的开环截止频率
- 2、典型二阶系统的闭环截止频率
- 3、典型二阶系统的伯德图
接着前面“ 二阶系统的时域响应及动态性能(时域分析) ”所讲的,下面讲下典型二阶系统的频域分析。以典型I型二阶系统为例,计算系统的开环截止频率(wc)和闭环截止频率(wb)。设I型系统为:

则开环传函为:(且对比典型二阶系统的开环传函):

1、典型二阶系统的开环截止频率

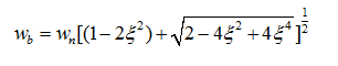
2、典型二阶系统的闭环截止频率
典型二阶系统的闭环传函:

其截止频率:

注意:

其实我们在工程整定时,把ζ = 0.707,也把典型二阶系统的带宽近视看成自然震荡角频率即
( w b ≈ w c ≈ w n w_{b}\approx w_{c}\approx w_{n} wb≈wc≈wn)对于二阶系统。
3、典型二阶系统的伯德图
举个例子:
典型二阶系统的传函为:

用matlab画下其伯德图:

可以看出其截止频率为200Hz,且当频率大于200Hz时,其幅值以-40dB/10倍频的斜率衰减。
本文来自互联网用户投稿,文章观点仅代表作者本人,不代表本站立场,不承担相关法律责任。如若转载,请注明出处。 如若内容造成侵权/违法违规/事实不符,请点击【内容举报】进行投诉反馈!
