机器视觉(八):图像特征提取
目录:
机器视觉(一):概述
机器视觉(二):机器视觉硬件技术
机器视觉(三):摄像机标定技术
机器视觉(四):空域图像增强
机器视觉(五):机器视觉与世界杯
机器视觉(六):频域图像增强
机器视觉(七):图像分割
机器视觉(八):图像特征提取
机器视觉(九):图像配准

🌏🧐以下为正文🦄🪐
区域和轮廓只包含对分割结果的原始描述,在实际应用中我们还需要从区域或轮廓中确定一个或多个特征量。这些确定的特征量被称为特征。确定特征的过程被称为图像特征提取。
一、概述
1.图像特征的分类
(1)图像的视觉特征
边缘、轮廓、形状、纹理和区域等。
(2)图像的统计特征
灰度直方图特征、矩特征,其中矩特征包括均值、方差、峰度及熵特征等。
(3)图像变换系数特征
傅立叶变换、离散余弦变换、小波变换等。
(4)图像代数特征
矩阵的奇异值
2. 特征提取与特征选择
(1)特征选择
从一组特征中挑选出一些最有效的特征,以达到降低特征空间维数的目的。
(2)特征提取
对原始特征进行变换得到的这些有利于分类、更本质、更少的新特征的过程。
二、兴趣点提取
1.什么是兴趣点
兴趣点是指图像信号在二维空间上发生变化的区域,通常情况下包括拐角点、交点和纹理等显著变化区域。

2.兴趣点标定的方法
(1)基于轮廓线的方法
轮廓线具有曲率变化的特征,可归类为结点,端点等类型。如在图像中寻找脊和谷的方法对兴趣点进行标定。(2)基于图像强度的方法
信号的自相关函数检测特征点,灰度值的差大于某个门限时即认为该点是兴趣点。(3)基于参数模型的方法
使用高斯卷积模型对拐角进行识别, 使用最小化方法,使得模板与观测信号最佳匹配。3.兴趣点的表达方法
(1)尺度不变特征变换(Scale-invariant feature transform,SIFT)
使用了128维的向量对兴趣点特征进行表达,该向量通过Lowe建立的码表形成。该方法可以做到缩放不变、亮度不变的特性。
(2)可控滤波器和梯度不变方法
使用高斯滤波器的方法求图像的梯度,具有长度为13的维数。
(3)区域矩不变特性
通过改变统计矩的组合,适用于图像的多种不变特性的应用。
(4)频域分析法
通过Gabor滤波器来捕捉图像在频率和方向上的细微变化,描述的维度很高。
三、Harris角点算法
1.概述
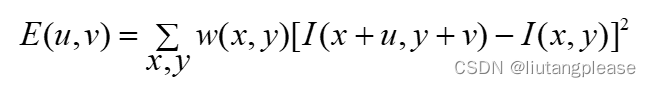
当滑动窗口处于一个兴趣点发生的地方,无论从哪个方向移动该窗口,都会发生图像强度(灰度值)的剧烈变化。

基于图像灰度的方法通过计算点的曲率及梯度来检测角点,避免了第一类方法存在的缺陷,此类方法主要有Moravec算子、Forstner算子、Harris算子、SUSAN算子等。
2.原理
图像窗口滑动后灰度值变化计算:

小距离窗口滑动近似计算:

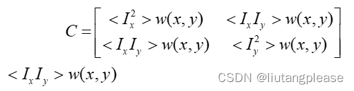
首先采用Sobel算子计算出梯度Ix和Iy,再逐点计算其乘积,最后使用高斯窗对该乘积图像的所有像素点进行卷积即可。
3.MATLAB编程实现
img=imread('F:\lena.png');
imshow(img);
img = rgb2gray(img); %转换为灰度图像
img =double(img);
[m n]=size(img); %获取图像尺寸
tmp=zeros(m+2,n+2); %创建空矩阵tmp
tmp(2:m+1,2:n+1)=img; %将img赋值给tmp矩阵
Ix=zeros(m+2,n+2);
Iy=zeros(m+2,n+2);
E=zeros(m+2,n+2); %创建空矩阵Ix,Iy,E
Ix(:,2:n)=tmp(:,3:n+1)-tmp(:,1:n-1); %求横向梯度Iy(2:m,:)=tmp(3:m+1,:)-tmp(1:m-1,:); %求纵向梯度Ix2=Ix(2:m+1,2:n+1).^2; %求梯度方向乘积
Iy2=Iy(2:m+1,2:n+1).^2;
Ixy=Ix(2:m+1,2:n+1).*Iy(2:m+1,2:n+1); h=fspecial(‘gaussian’,[7 7],2); %使用高斯核进行加权
Ix2=filter2(h,Ix2);
Iy2=filter2(h,Iy2);
Ixy=filter2(h,Ixy);
Rmax=0;
R=zeros(m,n);
for i=1:mfor j=1:nM=[Ix2(i,j) Ixy(i,j);Ixy(i,j) Iy2(i,j)];R(i,j)=det(M)-0.06*(trace(M))^2; %计算角点量if R(i,j)>RmaxRmax=R(i,j); %阈值判断endend
end
re=zeros(m+2,n+2);
tmp(2:m+1,2:n+1)=R;
img_re=zeros(m+2,n+2);
img_re(2:m+1,2:n+1)=img;
for i=2:m+1for j=2:n+1if tmp(i,j)>0.02*Rmax &&...tmp(i,j)>tmp(i-1,j-1) && tmp(i,j)>tmp(i-1,j) && tmp(i,j)>tmp(i-1,j+1) &&...tmp(i,j)>tmp(i,j-1) && tmp(i,j)>tmp(i,j+1) &&...tmp(i,j)>tmp(i+1,j-1) && tmp(i,j)>tmp(i+1,j) && tmp(i,j)>tmp(i+1,j+1)img_re(i,j)=255; %标记角点 end end
end
img_re=mat2gray(img_re(2:m+1,2:n+1));
figure,imshow(img_re); %恢复并显示图像
四、直线提取
1.Hough变换原理
在图像空间XY里,设所有过点(x,y)的直线都满足方程:
![]()
式中,p为直线的斜率,q为直线的截距。也可以写成:
![]()
式中表示参数空间PQ中过点(p,q)的一条直线。图像空间到参数空间之间的转换可以用图表示:

2.直线提取原理
开始时,置数组A为零,然后对每一个图像空间中的给定点,让θ取遍区间上所有可能的值,并根据直线公式算出对应的ρ,再根据和的值(设都已经取整)对A累加:
![]()
对图像遍历后,上式的值就是在点(θ,ρ)处共线点的个数。值(θ,ρ)也给出了直线方程的参数,这样就得到了点所在的线。

3.MATLAB编程实现
img = imread(rg.bmp');
figure(1),subplot(1,2,1);
imshow(img); title('原始图像');
img=rgb2gray(img); % 灰度图像subplot(1,2,2);imshow(img); title('灰度图像'); thresh=[0.01,0.10]; %敏感度阈值
sigma=3; %定义高斯参数 f = edge(double(img),'canny',thresh,sigma); %边缘检测
figure(2),
imshow(f);
title('canny 边缘检测');
% 检测函数;
[H, theta, rho]= hough(f,'Theta', 20:0.1:75); %0-1
% H->累计数组 , thetaH:对应的θ,实际上H的大小就是Rho×Theta
% Rho:H对应的ρpeak=houghpeaks(H,1); %峰值提取
hold on %保留当前的图和特定的坐标轴属性,以便后续的绘图命令添加到现有的图表。
lines=houghlines(f,theta,rho,peak); %得到线段信息figure(3);imshow(f,[]);
title('霍夫变换检测结果');
hold on ;
for k=1:length(lines) xy=[lines(k).point1;lines(k).point2]; plot(xy(:,1),xy(:,2),'LineWidth',4,'Color',[.6 .6 .6]);
end

本文来自互联网用户投稿,文章观点仅代表作者本人,不代表本站立场,不承担相关法律责任。如若转载,请注明出处。 如若内容造成侵权/违法违规/事实不符,请点击【内容举报】进行投诉反馈!
