Optimal Transport系列1
鉴于Optimal Transport在Machine Learning领域的广泛使用,笔者想认真学习一下Optimal Transport,网上资料很多,但是由于笔者愚钝,找了很久才找到浅显易懂的资料。本博客旨在用最浅显的方式来描述清楚Optimal transport,由于数学能力有限,如果有讲错的地方希望各位看官能及时指正。
文章目录
- Prior Knowledge
- Optimal Transport
- Discrete Problems in One Dimension
- Conclusion
- References
Prior Knowledge

L1 Distance: d L 1 ( ρ 1 , ρ 2 ) = ∫ − ∞ + ∞ ∣ ρ 1 ( x ) − ρ 2 ( x ) ∣ d x d_{L_1}(\rho_1,\rho_2)=\int_{-\infty}^{+\infty}|\rho_1(x)-\rho_2(x)|dx dL1(ρ1,ρ2)=∫−∞+∞∣ρ1(x)−ρ2(x)∣dx
KL divergence: d K L ( ρ 1 ∣ ∣ ρ 2 ) = ∫ − ∞ + ∞ ρ 1 ( x ) l o g ρ 1 ( x ) ρ 2 ( x ) d x d_{KL}(\rho_1||\rho_2)=\int_{-\infty}^{+\infty}\rho_1(x)log\frac{\rho_1(x)}{\rho_2(x)}dx dKL(ρ1∣∣ρ2)=∫−∞+∞ρ1(x)logρ2(x)ρ1(x)dx
如果要衡量上图(源自参考文献1)中 ρ 1 \rho_1 ρ1到 ρ 2 \rho_2 ρ2的距离和 ρ 1 \rho_1 ρ1到 ρ 3 \rho_3 ρ3的距离,可以发现使用L1 Distance和KL divergence都失效,其算出来的都是一样的。
注意:对了L1 Distance来说,距离相同很好理解,因为其计算的就是两个分布的面积。而对于KL divergence来说,首先需要注意他不是一个距离测度,Because it is not symmetric: the KL from ρ 1 ( x ) \rho_1(x) ρ1(x) to ρ 2 ( x ) \rho_2(x) ρ2(x) is generally not the same as the KL from ρ 1 ( x ) \rho_1(x) ρ1(x) to ρ 2 ( x ) \rho_2(x) ρ2(x). Furthermore, it need not satisfy triangular inequality. 我们将Kullback-Leibler Divergence变化一下形式可得 d K L ( ρ 1 ∣ ∣ ρ 2 ) = ∫ − ∞ + ∞ ρ 1 ( x ) l o g ( ρ 1 ( x ) ) − ρ 1 ( x ) l o g ( ρ 2 ( x ) ) d x d_{KL}(\rho_1||\rho_2)=\int_{-\infty}^{+\infty}\rho_1(x)log(\rho_1(x))-\rho_1(x)log(\rho_2(x))dx dKL(ρ1∣∣ρ2)=∫−∞+∞ρ1(x)log(ρ1(x))−ρ1(x)log(ρ2(x))dx然后把 ρ 1 ( x ) l o g ( ρ 1 ( x ) ) \rho_1(x)log(\rho_1(x)) ρ1(x)log(ρ1(x))和 ρ 1 ( x ) l o g ( ρ 2 ( x ) ) \rho_1(x)log(\rho_2(x)) ρ1(x)log(ρ2(x))看成两个新的分布,那么同样转化成了面积关系,由于前一项是一样的,所以主要要看后一项的差异。为了更好的理解,笔者用python写了个简单的demo:注意,这里笔者发现了一个大问题!!!
import math
import numpy as np
import matplotlib.pyplot as pltdef guassian(u, sig):# 均值μ, 标准差δx = np.linspace(-30, 30, 1000000) # 定义域y = np.exp(-(x - u) ** 2 / (2 * sig ** 2)) / (math.sqrt(2*math.pi)*sig) # 定义曲线函数return x, yx1, y1 = guassian(u=0, sig=math.sqrt(1))
x2, y2 = guassian(u=1, sig=math.sqrt(1))
x3, y3 = guassian(u=2, sig=math.sqrt(1))
plt.plot(x1,y1)
plt.plot(x2,y2)
plt.plot(x3,y3)z1 = y1 * np.log2(y1) - y1 * np.log2(y2)
z2 = y1 * np.log2(y1) - y1 * np.log2(y3)
# plt.plot(x1, z1)
# plt.plot(x1, z2)
print(np.sum(z1))
print(np.sum(z2))
通过实验发现,实验结果和预期完全不一样,我使用KL divergence计算 ρ 1 \rho_1 ρ1到 ρ 2 \rho_2 ρ2的距离和 ρ 1 \rho_1 ρ1到 ρ 3 \rho_3 ρ3的距离并不是一样的,差异很大!!!

我可视化了后一项的分布曲线,发现完全不一样,且积分后的值也完全不同。(这里我考虑到了连续变成了离散的影响,所以调过x坐标范围和画的点数,没啥区别)后来研究一下发现,文章中给的曲线貌似不是高斯分布的曲线,感觉有点被误导,所以我换了一个例子来算,虽然是离散的分布,但是还是能比较直观的反映问题的(PS,这里其实很好奇为啥用高斯分布会不行,有大佬知道原因吗):

可以发现对于上述的分布,L1 Distance和KL divergence都失效了。
Optimal Transport
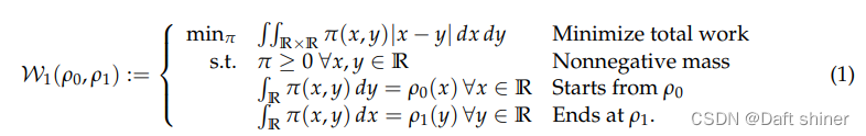
上一节讲了L1 Distance和KL divergence存在的问题,本节将详细描述Optimal Transport,首先定义问题。Optimal Transport的核心在于如何找到一个最优转化将一个分布转化为另一个分布,且要使得转化损失最小。(注意:这里的分布可以是连续或者离散的)这里用上图中的 ρ 1 \rho_1 ρ1和 ρ 2 \rho_2 ρ2举例:
为了方便理解,我们可以将 ρ 1 \rho_1 ρ1和 ρ 2 \rho_2 ρ2想象成一堆沙子,那么Optimal Transport问题就变成了如何把 ρ 1 \rho_1 ρ1形状的沙子堆成 ρ 2 \rho_2 ρ2的样子,且做功要最小。 π ( x , y ) \pi(x,y) π(x,y)代表从x位置搬多少质量的沙子到y位置,那么显然 ρ 1 ( x ) \rho_1(x) ρ1(x)表示x位置总共有多少质量的沙子(大白话就是x位置曲线的高度)。所以问题就可以用下式来表示:

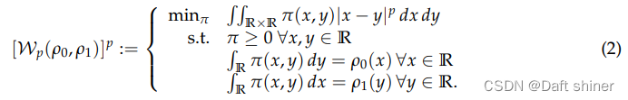
其中目标函数为搬运做功最小,因为搬运沙子的质量要大于等于0,所以约束的第一条也好理解,至于第二和第三条,是满足它初始和最终的分布。This amount of work is known as the 1-Wasserstein distance in optimal transport。接下来把他泛化到p-Wasserstein distance:

同样比较好理解,只是运输的距离发生了改变。问题定义完了以后,那么如何才能求得这个 π ( x , y ) \pi(x,y) π(x,y)呢?
Discrete Problems in One Dimension

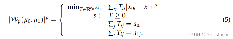
对于一维问题有以上两种情况:D2D,D2C。对于D2D的数据,我们首先松弛原有的分布函数 ρ ( x ) \rho(x) ρ(x)到 μ 0 , μ 1 ∈ P r o b ( R ) \mu_0,\mu_1 \in Prob(\mathbb{R}) μ0,μ1∈Prob(R),Define the Dirac δ \delta δ-measure centered at x ∈ R x \in \mathbb{R} x∈R via (:=在数学中表示为定义为)
δ x ( S ) : = { 1 , i f x ∈ S 0 , O t h e r w i s e . \delta_x(S):= \begin{cases} 1, &if\ x\ \in\ S\\ 0, &Otherwise. \end{cases} δx(S):={1,0,if x ∈ SOtherwise.此时 μ 0 , μ 1 \mu_0,\mu_1 μ0,μ1分别为:

其中 ∑ i a 0 i = ∑ i a 1 i = 1 \sum_ia_{0i}=\sum_ia_{1i}=1 ∑ia0i=∑ia1i=1, a 0 i , a 1 i ≥ 0 a_{0i},a_{1i} \ge 0 a0i,a1i≥0。个人认为这里的 S S S是 [ x 01 , x 02 , ⋯ , x 0 k 0 ] [x_{01}, x_{02}, \cdots, x_{0k_0}] [x01,x02,⋯,x0k0]的子集。这时问题的计算为:

同样和上面的解释方法一样, T i j T_{ij} Tij表示从 x 0 i x_{0i} x0i运输到 x 1 j x_{1j} x1j的质量。 ∣ x 0 i − x 1 j ∣ p |x_{0i}-x_{1j}|^p ∣x0i−x1j∣p是从 x 0 i x_{0i} x0i运输到 x 1 j x_{1j} x1j的距离。 T i j T_{ij} Tij运输质量要大于等于0, x 0 i x_{0i} x0i和 x 1 j x_{1j} x1j处的质量要满足守恒条件。要求 T i j T_{ij} Tij,这是一个有限元的线性规划,可以使用许多经典算法求解,例如 simplex or interior point methods。而对于D2C的情况,每个离散的 μ 0 \mu_0 μ0都映射到一段连续的区间 μ 1 \mu_1 μ1,如下图所示:

Conclusion
本节主要讲了Optimal Transport的两种形式(D2C,D2D),下一节将介绍其更加general的形式。
References
[1] Optimal Transport on Discrete Domains
[2] Kullback-Leibler Divergence
[3] Optimal Transport and Wasserstein Distance
本文来自互联网用户投稿,文章观点仅代表作者本人,不代表本站立场,不承担相关法律责任。如若转载,请注明出处。 如若内容造成侵权/违法违规/事实不符,请点击【内容举报】进行投诉反馈!
