【排序】国王的游戏
题目链接:https://ac.nowcoder.com/acm/problem/16561
题目描述
恰逢 H 国国庆,国王邀请 n位大臣来玩一个有奖游戏。首先,他让每个大臣在左、右手上面分别写下一个整数,国王自己也在左、右手上各写一个整数。然后,让这 n位大臣排成一排,国王站在队伍的最前面。排好队后,所有的大臣都会获得国王奖赏的若干金币,每位大臣获得的金币数分别是:排在该大臣前面的所有人的左手上的数的乘积除以他自己右手上的数,然后向下取整得到的结果。
国王不希望某一个大臣获得特别多的奖赏,所以他想请你帮他重新安排一下队伍的顺序,使得获得奖赏最多的大臣,所获奖赏尽可能的少。注意,国王的位置始终在队伍的最前面。
输入描述
第一行包含一个整数 n ,表示大臣的人数。 第二行包含两个整数 a 和 b ,之间用一个空格隔开,分别表示国王左手和右手上的整数。 接下来n 行,每行包含两个整数 a 和 b ,之间用一个空格隔开,分别表示每个大臣左手和右手上的整数。
输出描述
一个整数,表示重新排列后的队伍中获奖赏最多的大臣所获得的金币数。
示例
输入
3
1 1
2 3
7 4
4 6
输出
2
说明
按 1 、 2 、 3 这样排列队伍,获得奖赏最多的大臣所获得金币数为 2 ;
按 1 、 3 、 2这样排列队伍,获得奖赏最多的大臣所获得金币数为 2 ;
按 2 、 1 、 3 这样排列队伍,获得奖赏最多的大臣所获得金币数为 2 ;
按2 、 3 、 1 这样排列队伍,获得奖赏最多的大臣所获得金币数为 9 ;
按 3 、 1 、 2这样排列队伍,获得奖赏最多的大臣所获得金币数为 2 ;
按 3 、 2 、 1 这样排列队伍,获得奖赏最多的大臣所获得金币数为 9 。
因此,奖赏最多的大臣最少获得 2 个金币,答案输出 2 。
备注
对于 20%的数据,有 1≤ n≤ 10,0 < a,b < 8 ;
对于 40%的数据,有 1≤ n≤20,0 <a,b<8 ;
对于 60%的数据,有 1≤ n≤100 ;
对于 60%的数据,保证答案不超过 109 ;
对于 100%的数据,有 1 ≤ n ≤1,000,0 < a,b < 10000 。
解题思路
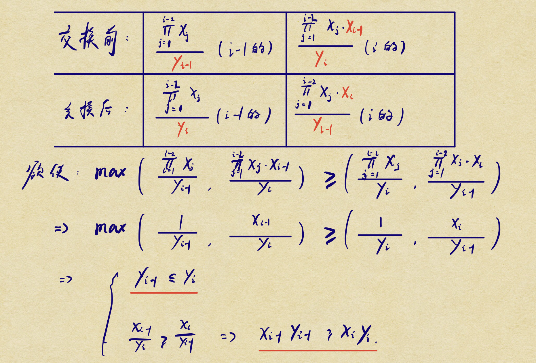
排序最主要的就是定义排序规则,这里我们需要找到排序规则的式子,就需要根据题意去求解,“排在该大臣前面的所有人的左手上的数的乘积除以他自己右手上的数,然后向下取整得到的结果”。假设第i个大臣左手为xi,右手为yi,就可以得到第i个大臣,得到的金币为:
通过式子我们得到交换前第i-1个大臣和第i个大臣获得的金币和交换后第i-1个大臣和第i个大臣获得的金币之前的关系进行比较,我们排序后的结果需要使得排序后获得的最大值变小,通过计算就可以得到关系:
下图是解释如何得到这个式子的

代码
n = (int)(input())
a,b= input().split()
a=(int)(a)
b=(int)(b)array = [[0] * 2] * n #初始化[[0,0],[0,0],[0,0]]
for i in range(0, n):array[i] = list(map(int, input().split()))#定义排序方式
def Cmp(x):return x[0] * x[1]array.sort(key = Cmp)res = 0
ans = a
for i in range(0, n):res = max(res, ans // array[i][1])ans = ans * array[i][0]print(res)
本文来自互联网用户投稿,文章观点仅代表作者本人,不代表本站立场,不承担相关法律责任。如若转载,请注明出处。 如若内容造成侵权/违法违规/事实不符,请点击【内容举报】进行投诉反馈!
