cp分解实现_如何用贝叶斯高斯张量分解修复缺失数据?(Jupyter notebook - Python)
本文来源于BGCP Imputation - transdim,主要讨论如何利用贝叶斯高斯张量分解(Bayesian Gaussian CP decomposition, BGCP) 估计矩阵中的缺失元素,其中,贝叶斯概率矩阵分解是以高斯分布为基本假设,并采用Gibbs采样做参数估计。另外,感兴趣的读者可在transdim - GitHub项目中下载数据集和Jupyter notebook。
准备阶段
在进行贝叶斯高斯张量分解之前,需要调用一些常用的package,如numpy等。以scipy.stats中的Wishart分布和numpy.random中的多元正态分布为基础,设计贝叶斯高斯张量分解采样过程中会遇到的Gaussian-Wishart分布。

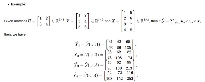
另外,在矩阵分解过程中,为了加快采样过程的计算效率,需要用到一种特殊的矩阵运算规则 - Khatri-Rao积,即


Khatri-Rao积的函数 (kr_prod) 和实例:

定义CP分解的组合结构 (cp_combination):



定义张量展开(将张量展开成矩阵, ten2mat):


贝叶斯高斯张量分解原理
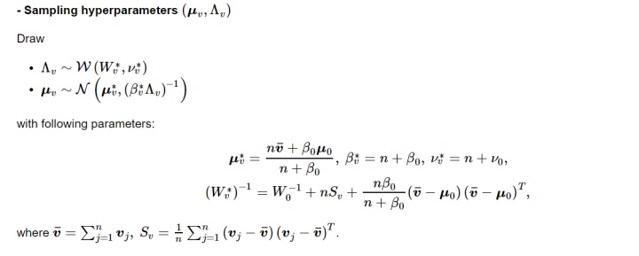
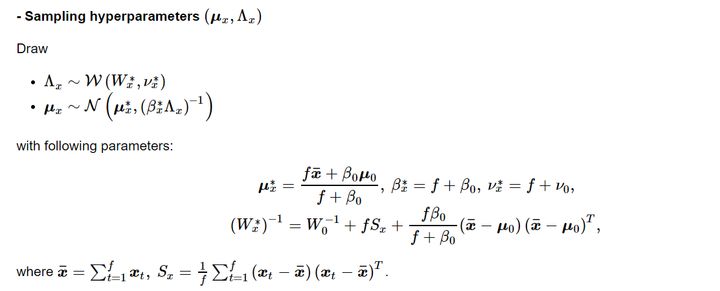
张量元素被假设服从高斯分布,为了求解矩阵分解的隐性因子矩阵,依据贝叶斯准则,需进一步对模型参数和超参数设置共轭先验。具体如下:

在所设计的贝叶斯网络中,对模型参数和超参数求后验分布,交替更新即可完成贝叶斯高斯张量分解。




编译实现贝叶斯高斯张量分解的Python代码:






缺失数据修复实验
以广州路网车速数据集为基础,设计面向时空交通数据的缺失值修复实验。
数据集下载链接1:https://github.com/xinychen/transdim/tree/master/Guangzhou-data-set
数据集下载链接2:Urban Traffic Speed Dataset of Guangzhou, China




主要参考
BGCP Matlab代码:https://github.com/lijunsun/bgcp_imputation
本文来自互联网用户投稿,文章观点仅代表作者本人,不代表本站立场,不承担相关法律责任。如若转载,请注明出处。 如若内容造成侵权/违法违规/事实不符,请点击【内容举报】进行投诉反馈!
