spring和mybatis结合做简单的增删查改系统_如何从零开始设计权限管理系统

背景说明houbb/privilege背景说明
近期写代码又开始重新接触了一点控台应用,接触到的项目年代久远,所有的权限管理用起来感觉不是很得心应手。
于是想着自己能否从零设计一个,梳理一下思路,当然实际用不用也无所谓。
权限管理主要是为了安全,项目中的权限管理是全部放在前端控制的,感觉这一点非常不安全。
前端防君子,不防小人。

当然本次造轮子主要也是为了打造一款自己满意的权限控制框架,所以设计采用 MVP 模式,采用渐进式的方式开发。
可以一起学习一下权限控制的设计和实现思路。
如果生产想直接使用,也推荐目前比较成熟的框架:
spring-security
Spring Security-01-Hello World
shiro
Shiro
权限设计的基础知识
写代码之前,我们先学习一点权限设计的基础知识。
权限设计发展至今,网上的资料还是比较丰富的,我们节选一些比较经典的内容。
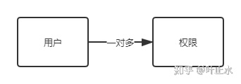
用户-权限 模型
对于权限管理,最简单的想法应该是为每一个用户,分配不同的权限。

但是这种设计存在一个比较大的问题就是不够灵活,当用户较多时,比较难以维护。
RBAC0 模型
于是,很多人想到了在用户和权限中间增加一个角色。
也是迄今为止迄最为普及的权限设计模型,基于角色的访问控制(Role-Based Access Control)。

这里主要有三个概念:用户,角色,权限。
用户其实就是我们需要控制的主体。
角色就是一座桥梁,也是这个模型中最巧妙的地方。就像我们每一个人一样,我们是父母的孩子,孩子的父母,公司的员工,我们在不同的时刻饰演着不同的角色。不同的角色,对应的不同的权限。
权限是一个比较宽泛的概念,对于控台而言,可能是菜单权限,资源权限,也包括对于数据的增删改查的操作权限。
在数据库表设计的时候,其实就是三张实体表:
user 用户表
role 角色表
privilege 权限表
然后两张映射表:
user_role 用户-角色关系表
role_privilege 角色-权限关系表
以上是RBAC的核心设计及模型分析,此模型也叫做RBAC0,而基于核心概念之上,RBAC还提供了扩展模式。

包括RBAC1,RBAC2,RBAC3模型。
下面介绍这三种类型
RBAC1 模型
这里主要是引入了角色权限继承(Hierarchical Role)的概念。

这种设计可以给角色分组和分层,一定程度简化了权限管理工作。
RBAC2模型
基于核心模型的基础上,进行了角色的约束控制,RBAC2模型中添加了责任分离关系,其规定了权限被赋予角色时,或角色被赋予用户时,以及当用户在某一时刻激活一个角色时所应遵循的强制性规则。
不过实际工作中,这种模型用的也不多。此处不做展开。
RBAC3模型
功能最全的模型,也是各大公司最常用的一种模型。
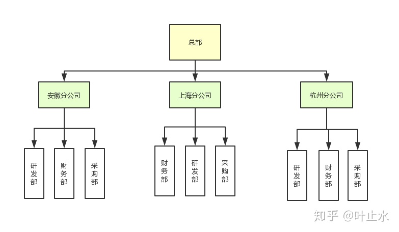
我们平时见到的权限管理,一般是和公司的组织架构是一一对应的。
这就是,模型来源于生活。
用户组
最常见的一个概念就是用户组。
比如我们常用的 gitlab,加入一个项目组,然后就可以对相关的代码仓库进行操作。
就像我们在真正的工作中加入了一个项目组,是相同的道理。这里的用户一般是平级的。
公司中一般组织都是有上下级关系的,一般公司的组织架构图如下:

这种架构的好处就是便于权限的变更调整,也便于权限的控制。
这种关系我们在设计表的时候,就可以加一个 user_group 表,将某些用户放在同一个组中。
职位
职位其实对应的是角色的概念,不同的职位权限也是不同的,即使在同一个项目中。
就像项目负责人和普通开发之间的区别。

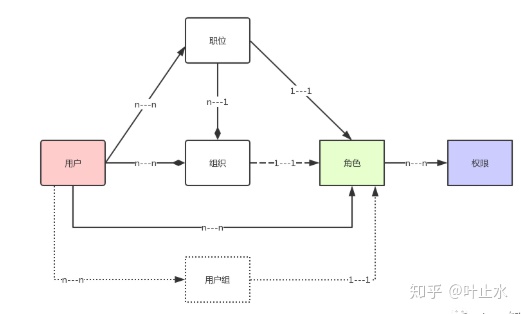
权限模型
最终的模型大概是下面的这个样子:

授权流程
给用户赋予角色,这个是如何实现的呢?
手动授权
最常见的是手动设计。
项目初始化的时候,有一些基本的角色和管理员等信息。
然后管理员进行相关的权限配置。
审批授权
用户可以申请对应的角色,然后通过审批流程,赋予其对应的角色。
比如我们有时候可以申请访问某一个资源,实际上背后也是类似的道理。
其实到这里,都只是一些基础知识。
如果想设计好菜单,还有很多东西需要考虑,比如菜单的设计,页面的设计,流程怎么设计更加合理?可以自定义角色吗?用户可以自定义菜单吗?
等等。不过这些暂时我们不做深入讨论,我们本篇的重点是自己实现一个简单版本的权限控制框架。
传统 RBAC 的不足
当然上面的模型还是存在不足之处的。
比如我读的一篇 paper 中所言:
尽管RBAC已经得到广泛应用,但传统的RBAC模型仍存在不足之处,主要有以下两个方面:(1)访问控制不能满足实际应用的需要,Web应用系统需要更加细粒度的访问控制。 (2)该模型仅仅定义了访问控制的内部机制,并没有提出简单友好的访问控制实现方式,而对于Web系统的用户而言,友好直观的用户接口是系统必不可少的组成部分。
解决方案是设计了一个操作码,然后通过字符串标识比如: 10000 可以代表可访问菜单,没有增删改查权限。
当然这些都需要我们结合自己的业务去设计。
我们假定设计产品设计完成,数据库也设计完成的情况下,如何在编码时灵活的实现权限控制呢?
设计思路
最基本的思路就是类似于 shiro 的方式。
可以指定角色,或者权限来访问固定的菜单。
设计目标
(1)当然我们希望可以更加灵活,可以具体到固定的一个方法,而不是拘泥于固定的某一个 Controller 请求。
(2)编写方便,后期可以使用注解指定
(3)由简到繁,初期只实现基于权限编码的控制,暂时不考虑基于角色的控制。因为每一个登录的用户,都可以获取到对应的角色和权限编码。
整体流程
- 用户页面请求
- 获取用户登录信息。分布式系统可以基于 redis session 或者 JWT 等,获取当前用户的所有权限编码
- 校验用户是否拥有请求的权限
- 返回对应的页面结果
第一步-接口设计
核心接口
public interface IPrivilege {/*** 是否拥有权限** {@code true} 拥有* {@code false} 不拥有** @param context 上下文* @return 是否* @since 0.0.1*/boolean hasPrivilege(final IPrivilegeContext context);}
这里就是一切的核心,我们关心的只是是否有权限,结果就是一个 boolean 值。
那么 context 的内容是什么呢?
public interface IPrivilegeContext {/*** 拥有的权限上下文* @return 拥有* @since 0.0.1*/IPrivilegeOwn own();/*** 需要的权限上下文* @return 拥有* @since 0.0.1*/IPrivilegeAcquire acquire();}
这里实际上有两个接口,一个是拥有的权限,另一个是需要的权限。
权限信息
两个权限的内容如下:
- 拥有的权限
public interface IPrivilegeOwn {/*** 拥有的权限编码列表* @return 编码列表* @since 0.0.1*/List ownPrivilege();}
- 需要的权限
public interface IPrivilegeAcquire {/*** 需要的权限编码列表* @return 编码列表* @since 0.0.1*/List acquirePrivilege();}
第二步-编程式实现
maven 引入
com.github.houbb privilege-core ${最新版本}
自定义拥有的权限
实现 IPrivilegeOwn 接口即可。
可以查询数据库,文件等。
public class PrivilegeOwnOne implements IPrivilegeOwn {@Overridepublic List ownPrivilege() {IPrivilegeInfo info = PrivilegeInfo.newInstance().code("001");return Collections.singletonList(info);}
}
自定义需要的权限
public class PrivilegeAcquireTwo implements IPrivilegeAcquire {@Overridepublic List acquirePrivilege() {IPrivilegeInfo one = PrivilegeInfo.newInstance().code("001");IPrivilegeInfo two = PrivilegeInfo.newInstance().code("002");return Arrays.asList(one, two);}}
测试1
IPrivilegeOwn own = new PrivilegeOwnOne();
IPrivilegeAcquire acquire = new PrivilegeAcquireTwo();
boolean hasPrivilege = PrivilegeBs.newInstance().own(own).acquire(acquire).hasPrivilege();Assert.assertFalse(hasPrivilege);
这里我们得到的结果是没有权限,因为默认的策略是指定的编码全部拥有,才算通过。
内置策略
内置的策略,可以通过 Privileges 直接获取。
测试2
我们指定拥有一个就可以通过
IPrivilegeOwn own = new PrivilegeOwnOne();
IPrivilegeAcquire acquire = new PrivilegeAcquireTwo();
IPrivilege privilege = Privileges.any();boolean hasPrivilege = PrivilegeBs.newInstance().own(own).acquire(acquire).privilege(privilege).hasPrivilege();Assert.assertTrue(hasPrivilege);
第三步-注解式编程
注解的必要性
当然上面已经实现了一个最基本的实现,但是实际使用肯定不能让开发者手动指定。
那该多麻烦。
叙事我们设计可以基于注解的实现。
注解定义
@Inherited
@Documented
@Target({ElementType.METHOD})
@Retention(RetentionPolicy.RUNTIME)
public @interface PrivilegeAcquire {/*** 权限编码* @return 编码* @since 0.0.4*/String[] code() default {};}
这个注解可以放在方法上,指定访问时需要的编码。
maven 引入
我们一般开发,都是在 spring-mvc 项目中使用。
com.github.houbb privilege-mvc ${最新版本}
自定义拦截器
我们定义一个属于自己的拦截器,用来处理登录用户的权限。
@Component
public class MyPrivilegeInterceptor extends AbstractPrivilegeInterceptor {@Overrideprotected void fillSubject(ISubject subject, HttpServletRequest request) {String id = request.getParameter("id");if("admin".equals(id)) {subject.privileges("1001");}}}
我们只为 admin 用户设置权限编码为 1001,其他用户不做处理。
注册拦截器
将我们的拦截器注册一下,当访问 /hello 这个地址的时候,会生效。当然也可以根据实际情况调整。
@Configuration
public class InterceptorConfig extends WebMvcConfigurerAdapter {@Autowiredprivate MyPrivilegeInterceptor myPrivilegeInterceptor;@Overridepublic void addInterceptors(InterceptorRegistry registry) {registry.addInterceptor(myPrivilegeInterceptor).addPathPatterns("/hello");}}
业务代码
Controller
我们通过注解 @PrivilegeAcquire 指定访问当前方法时,需要权限编码 1001
@Controller
public class HelloController {@RequestMapping("/hello")@ResponseBody@PrivilegeAcquire(code = "1001")public String hello() {return "hello";}}
Application
启动类定义如下:
我们通过注解 @EnablePrivilege 启动权限校验。
@SpringBootApplication
@EnablePrivilege
public class Application {public static void main(String[] args) {SpringApplication.run(Application.class, args);}}
测试
页面访问 http://localhost:8080/hello 报错权限不足;
There was an unexpected error (type=Internal Server Error, status=500).
Has no privilege! Acquire: <[1001]>, Own: <[]>
页面访问 http://localhost:8080/hello?id=admin 正常访问。
小结
到这里一个最简单的权限设计就完成了。
实际上设计的时候,为了适应各种场景,项目是非常多个模块的:
(1)api 核心的接口和注解定义
(2)core 编程式的基本实现,可以脱离 spring 存在
(3)proxy 脱离 spring 可以直接使用的代理
(4)spring 结合 spring 的 AOP 模式
(5)mvc 结合 spring-mvc,也是最常用的一种模式
后续将考虑继续优化,添加对于 springboot 的支持。
也考虑学习一下 shiro 的精髓,引入更多的特性。
开源地址
https://github.com/houbb/privilege
欢迎 fork/star~~
愿景
框架可以支持更多的特性,比如基于角色,基于用户。
开箱即用的设计,比如最基本的 sql + mybatis 的通用权限管理框架,类似于 quartz。
一个完整的项目设计,支持前后端页面。
单独的服务打磨,可以对外提供鉴权服务,结合 auth 等,进一步优化权限管理。
本文来自互联网用户投稿,文章观点仅代表作者本人,不代表本站立场,不承担相关法律责任。如若转载,请注明出处。 如若内容造成侵权/违法违规/事实不符,请点击【内容举报】进行投诉反馈!
