MATLAB数字图像处理概览
MATLAB数字图像处理
- 第1章 绪论
- 数字图像的概念
- 数字图像处理
- 第2章 数字图像处理基础
- 数字图像的生成与表示
- 数字图像的数值描述
- 第3章 图像基本运算
- 图像几何变换
- 几何变换基础
- 位置变换
- 几何变换
- 第4章 图像正交变换
- 离散傅里叶变换
- 第5章 图像增强
- 基于直方图修正的图像增强
- 基于照度反射模型的图像增强
- 基于伪彩色处理的图像增强
- 图像增强目的
- 第6章 图像平滑
- 图像中的噪声
- 空间域平滑滤波
- 均值滤波
- 高斯滤波
- 中值滤波
- 双边滤波
- 频域平滑滤波
- 理想低通滤波(ILPF)
- 巴特沃斯低通滤波(BLPF)
- 指数低通滤波(ELPF)
- 梯形低通滤波(TLPF)
- 第6章 图像锐化
- 图像边缘分析
- 一阶微分算子
- 梯度算子
- Robert算子
- Sobel算子
- Prewitt算子
- 二阶微分算子(拉普拉斯算子)
- 高斯滤波与边缘检测
- 高斯函数
- LOG算子
- Canny算子
- 频域高通滤波
- 第8章 图像复原
- 图像退化模型
- 连续退化模型
- 离散退化模型
- 图像复原
- 图像退化函数的估计
- 基于模型的估计法
- 基于退化图像本身特性的估计法
- 典型图像复原方法
- 逆滤波复原
- 维纳滤波复原
- 等功率谱滤波
- 几何均值滤波
- 第9章 图像的数学形态学处理
- 膨胀运算
- 腐蚀运算
- 开运算
- 闭运算
第1章 绪论
数字图像的概念
-
函数表示
图像是二维信号,定义为二维函数f(x,y),其中,x、y是空间坐标,f(x,y)是点(x,y)的幅值
视频,又称动态图像,是多帧位图的有序组合,用三维函数f(x,y,t)表示,其中,t为时间变量,f(x,y,t)是t时刻那一帧点(x,y)的幅值 -
模拟图像
通过客观的物理量表现颜色的图像,如照片、印刷品、画等,空间坐标值(x,y)及每点的光强f连续,无法用计算机处理 -
数字图像
数字图像由二维像素矩阵组成,矩阵中每一个点具有一种颜色
可用矩阵或数组来描述

数字图像空间坐标和灰度(亮度)均用离散的数字(一般是整数)表示的图像。基本元素称为象素(Pixel)
数字图像处理
数字图像处理(Digital Image Processing)是利用计算机对图像进行去除或衰减噪声、增强、复原、分割、提取特征等的理论、方法和技术,是信号处理的子类,相关理论涉及通信、计算机、电子、数学、物理等多个方面,已经成为一门发展迅速的综合性学科。
1.数字图像处理主要内容
·图像获取
·图像基础处理技术
图像变换 图像增强 图像平滑 边缘检测与图像锐化 图像复原
·图像压缩编码
·图像分析
图像分割 图像描述分析
·图像综合处理技术
图像匹配 图像融合 图像检索 目标检测与跟踪 图像水印 立体视觉
2.数字图像处理技术的分类
(1)图像处理
从图像到图像的处理
改善视觉效果
增强某些特定的信息
去噪、增强、锐化、色彩处理、复原等
(2)图像分析
从图像到非图像的过程
从点阵图像中找出某些数据,用来对图像内容进行识别理解
图像分割、图像描述和分析等
(3)图像识别理解
根据从图像中提取出的数据,利用模式识别的方法和理论,理解图像内容。
3.数字图像处理的应用
航空航天技术 工业生产 生物医学 军事公安 文化娱乐
第2章 数字图像处理基础
数字图像的生成与表示
1.图像信号数字化
图像分辨率:采样所获得的图像总像素的多少,以水平和垂直像素数表示
用M×N表示,M列N行,如2560×1920
2560×1920=4915200,也称为500万像素分辨率
模拟图像转换为数字图像,方能被计算机处理,这一过程称为图像信号的数字化,包括:采样和量化
采样:对空间坐标x和y离散化,即确定水平和垂直方向上的像素数
量化:将各个像素所含的明暗信息离散化
一般的量化值为整数,量化层数取为2的n次幂
8位量化:即28,充分考虑到人眼的识别能力,非特殊用途的图像均为8bit量化,用[0 255]描述“从黑到白”,0和255分别对应亮度的最低和最高级别。
2.数字图像类型
(1)灰度图像
每个像素只有一个强度值,呈现黑、灰、白等色
(2)二值图像
每个像素值要么为0要么为1的数字图像,一般为黑白两色
(3)彩色图像
每个像素值为三维向量:组成该色彩的RGB值
(4)动态图像
多帧位图的有序组合
动态原理: Δt ≤1/24s(视觉滞留时间), 产生连续活动视觉效果
动态图像文件
(5)索引图像
索引图像实际上不是一种图像类型,而是图像的一种存储方式,牵涉到数据编码的问题
具体的颜色数据存放在调色板中,图像数据区中存放对应每一个像素点的颜色索引值
3.不同类型图像间的互相转化
(1)灰度图像→二值图像
二值化,应用图像分割技术
(2)灰度图像→彩色图像
伪彩色增强
(3)彩色图像→灰度图像
灰度化
数字图像的数值描述
1.常用图像格式
(1)JPGE格式
采用有损压缩编码,数据量小,核心技术:DCT、量化、熵编码
(2)GIF格式
具有87a、89a两种格式:87a描述单一静止图像;89a描述多帧图像
采用改进的LZW压缩算法,彩色模式:28 ,分辨率96dpi
(3)TIFF格式
文件描述单一(静止)图像,彩色模式: 2^1 (单色) ~ 2^32
支持多平台,可采用多种压缩数据格式
(4)PNG格式
支持索引、灰度、RGB三种颜色方案以及Alpha通道
灰度图像的深度可多到16位,彩色图像的深度可多到48位,可存储多到16位的α通道数据
采用无损压缩
(5)BMP格式
文件描述单一(静止)图像,彩色模式: 2^4 ~ 2^32
调色板RGB数据顺序反向排列,以图像左下角为起点排列,数据一般采用非压缩数据格式
2.图像大小计算
真彩色24位BMP图像每存储一个像素点需要3个字节
一幅大小为1024×768的真彩色24位BMP图像数据存储需要的字节数为1024×768×3=2359296字节(不压缩)
图像占用内存空间的大小:分辨率 * 位深 / 8
位深由灰度级算出:灰度级=2^位深
例如:一幅图像分辨率:1024*768,24位,则其大小计算如下:
大小 = 1024 * 768 * 24 / 8 = 2359296 byte = 2304 KB
3.数字图像坐标系

4.马赫带效应
感觉亮度与实际亮度之间呈非线性关系

第3章 图像基本运算
图像几何变换
几何变换基础
1.齐次坐标
用n+1维向量表示n维向量的方法称为齐次坐标表示法。
在齐次坐标中,原图像用点集[ x y 1 ]T表示
2.图像插值运算
指利用已知邻近像素点的灰度值来产生未知像素点的灰度值。
最近邻插值:非整数像素灰度值就等于距离最近的像素的灰度值。
双线性插值:利用非整数像素点周围的四个像素点的相关性,通过双线性算法计算得出的。


双三次插值:利用非整数像素点周围的16个像素点进行计算
位置变换
1.平移

若平移后不丢失信息,需扩大“画布”
2.镜像

3.旋转

几何变换
1.缩放

2.错切
平面景物在投影平面上的非垂直投影,使图像中的图形产生扭变。

其中更改dx值为X方向错切,更改dy值为Y方向错切
第4章 图像正交变换
离散傅里叶变换
傅里叶变换将信号分成不同频率成分。类似光学中分色棱镜把白光按波长(频率)分成不同颜色
1.一维离散傅里叶变换

2.二维离散傅里叶变换

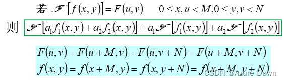
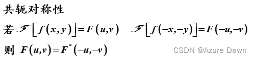
3.二维离散傅里叶变换的性质
(1)可分性
二维DFT可用一维DFT来实现:先对每一列进行FFT(快速傅里叶变换),再对每一行进行FFT;或相反顺序
(2)线性和周期性

尽管F(u,v)对无穷多个u和v的值重复出现,但只需根据在任一个周期里的值就可从F(u,v)得到f(x,y)
只需一个周期的变换就可将F(u,v)在频域里完全确定
(3)几何变换性




第5章 图像增强
基于直方图修正的图像增强
1.灰度直方图
灰度直方图表示的是数字图像中每一灰度级与其出现频数(即该灰度上出现像素的数目)间的统计关系。
横坐标表示灰度级,纵坐标表示频数或者相对频数(即该灰度级上像素出现的概率)

2.灰度直方图性质
直方图不具有空间特性。直方图不能反映图像像素空间位置信息。
直方图反映图像大致描述。
一幅图像唯一对应相应的直方图,而不同的图像可以具有相同的直方图。
若一幅图像可分为多个子区,则多个子区直方图之和等于对应的全图直方图。
3.直方图均衡化
直方图均衡化,又叫做直方图均匀化。其目的是使所有灰度级出现的相对频数(概率)相同,此时图像所包含的信息量最大
处理步骤
统计原始图像直方图
计算新灰度级
修正Sk为合理灰度级
求新直方图
用处理后的新灰度代替处理前的灰度,生成新图像
例:假定一幅64*64的8级灰度图像,其灰度级分布如表所示,对其进行直方图均衡化

解:由原图灰度分布统计可看出,该图像绝大部分像素灰度值集中在低灰度区,图像整体偏暗。
计算新的灰度级




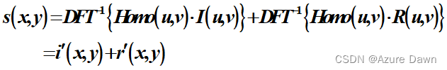
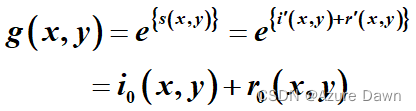
基于照度反射模型的图像增强
基于同态滤波的增强
背景:若物体受到照度明暗不匀的时候,图像上对应照度暗的部分,其细节就较难辨别。
主要目的:消除不均匀照度的影响,增强图像细节。
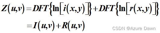
基本原理:根据图像的照度-反射模型,对原始图像 f(x,y)中的反射分量r(x,y)进行扩展,光照分量i(x,y)进行压缩,以获得所要求的增强图像
实现步骤:
(1)对图像函数f(x,y)取对数变换

(2)傅里叶变换

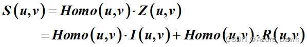
(3)同态滤波----衰减低频段,增强高频段
令High(u,v)为高通滤波函数
![]()
其中 rH>1 0
(4)求傅里叶逆变换

(5)进行指数变换,得到输出图像

基于伪彩色处理的图像增强
1.密度分割法
将一幅图像描述为三维函数(x,y, f(x,y))
在f(x,y)=Li ,i=1,2,…,M处放置平行xoy坐标面的M个切割平面
分割M个不同灰度级区域,分配M种不同颜色
2.空间域灰度级—彩色变换
将图像f 送入具有不同变换特性的红、绿、蓝3个变换器
产生的输出fR、fG 、fB作为彩色图像的红、绿、蓝三个色彩分量
合成一幅彩色图像

(1)常用的典型的灰度级彩色变换

(2)彩虹编码的灰度级-彩色变换
(3)热金属编码的灰度级-彩色变换
3.频域伪彩色增强
原理:
(1)图像经傅里叶变换到频率域
(2)用三个不同传递特性的滤波器分离成三个独立分量
(3)逆傅里叶变换,得到三幅不同频率分量的单色图像
(4)进一步的附加处理(如直方图均衡化等)
(5)合成得到彩色图像,实现基于频域的伪彩色增强
典型的频域伪彩色增强方法是设计相应的低通、带通和高通三种滤波器

图像增强目的
图像增强的目的是改善图像的视觉效果或使图像更适合于人或机器的分析处理。通过图像增强可以减少图像噪声,提高目标与背景的对比度,亦可以强调或抑制图像中的某些细节。例如,消除照片中的划痕,改善光照不均匀的图像,突出目标的边缘等。
根据处理的空间可以将图像增强分为空域法和频域法,前者直接在图像的空间域(或图像空间)中对像素进行处理,后者在图像的变换域(即频域)内间接处理,然后经逆变换获得增强图像。空域增强可以分为点处理和区处理,频域增强可以分为低通滤波,高通滤波,带通滤波和同态滤波。
第6章 图像平滑
图像平滑通常用低通滤波
通常指抑制或消除图像中存在的噪声而改善图像质量的过程。
方法分类:
空域法:主要借助模板运算,在像素点邻域内,利用噪声像素点特性进行滤波
频域法:指对图像进行正交变换,利用噪声对应高频信息的特点进行滤波
图像中的噪声
噪声指真实信号与理想信号之间存在的偏差
噪声通常以二维函数n(x, y) 来表示
1.图像噪声的分类
(1)图像噪声主要可能来源
光电传感器噪声 强脉冲干扰 相片颗粒噪声 信道传输误差
(2)图像噪声可根据噪声源
高斯噪声 &emsp松柏噪声 颗粒噪声
(3)图像噪声可根据信号和噪声的关系
加性噪声——加性噪声与图像信号不相关
乘性噪声——乘性噪声与图像信号相关
- 图像噪声的数学模型
(1)高斯噪声
定义为高斯噪声信号x的概率密度函数



高斯噪声出现位置是分布在每一像素点上,幅度值是随机的,分布近似符合高斯正态特性
(2)椒盐噪声
定义椒盐噪声信号x有效模型


当Pa=0,Pb!=0时,表现为“盐”噪声
当Pa!=0,Pb=0时,表现为“胡椒”噪声
这些都为孤立噪声点
椒盐噪声幅值基本相同,出现位置随机
空间域平滑滤波
空域滤波主要指的是基于图像空间的邻域模板运算
均值滤波
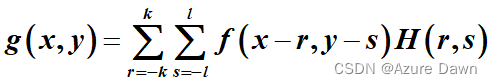
1.原理
以某一像素为中心,在它的周围选择一邻域,将邻域内所有点的均值(灰度值相加求平均)来代替原来像素值

S:点(x,y)为中心的邻域;M:邻域S内总像素数目
2.效果分析
若邻域内存在噪声,经过平均,噪声幅度会大为降低
点与点之间的灰度差值变小,边缘和细节处变得模糊
邻域半径越大,图像模糊程度越厉害
高斯滤波
1.高斯函数

2.原理
以某一像素为中心,在它的周围选择一个局部邻域,把邻域内像素的灰度按照高斯正态分布曲线进行统计,分配相应的权值系数,然后将邻域内所有点的加权平均值代替原像素值

其中,k, l是根据所选邻域大小确定
3.模板特点
按照正态分布曲线的统计,模板上不同位置赋予不同的加权系数值
标准差是影响高斯模板生成的关键参数,值越大,生成高斯模板中不同系数值差别不大,类似均值模板,对图像的平滑效果较明显
中值滤波
1.中值

2.原理
噪声的出现,使被处理点像素比周围像素亮(暗)许多
以被处理点为中心,选取一个邻域窗口,窗口内所有点值排序,取中值代替该点值
3.均值、中值滤波效果分析
(1)与均值滤波相比,中值滤波去除椒盐噪声效果好,而且模糊轻微,边缘保留较好
椒盐噪声是幅值近似相等但随机分布在不同位置上,图像中有干净点也有污染点
中值滤波是选择适当的点来替代污染点的值,所以处理效果好
(2)对于高斯噪声,均值滤波效果比较好
高斯噪声是幅值近似正态分布,但分布在每点像素上
因为图像中的每点都是污染点,所中值滤波选不到合适的干净点
因为正态分布的均值为0,所以根据统计数学,均值可以减弱噪声
(3)中值滤波邻域窗口越大,图像模糊程度愈大

双边滤波
原理
“双边”意味着平滑滤波时不仅考虑邻域内像素的空间邻近性,而且要考虑邻域内像素的灰度相似性
频域平滑滤波
噪声对应于高频部分,所以去噪可以采用低通滤波
频域低通滤波的核心关键为设计合适的低通滤波器H(u,v)
理想低通滤波(ILPF)
1.原理

2.振铃效应
H(u,v)在D0处由1突变到0,其对应的冲激响应h(x,y)在空域中表现为同心环形式
同心环半径与D0成反比
D0越小,同心环半径越大,模糊越厉害
图像处理中,对一幅图像进行滤波处理,若选用的频域滤波器具有陡峭的变化,则会使滤波图像产生“振铃”,所谓“振铃”,就是指输出图像的灰度剧烈变化处产生的震荡,就好像钟被敲击后产生的空气震荡。
巴特沃斯低通滤波(BLPF)
1.原理

2.特征
噪声点被有效地去除,但图像也变得模糊

随着阶数n的增加,图像振铃效应越来越明显
指数低通滤波(ELPF)
1.原理

2.特征
噪声点被有效地去除
随着截止频率D0的增加,图像模糊现象减弱
与巴特沃斯低通滤波器相比较,指数低通滤波器没有振铃现象

随着截止频率D0的增加,图像振铃效应越来越不明显
梯形低通滤波(TLPF)
1.原理

2.特征

噪声点被有效地去除
与指数低通滤波器相比较,滤波输出图像有一定的模糊和振铃效应
第6章 图像锐化
图像锐化通常用高通滤波
图像边缘分析
图像中的边缘主要有:细线型边缘、突变型边缘和渐变型边缘
突变型细节:检测一阶微分极值点,二阶微分过0点
细线型细节:检测一阶微分过0点,二阶微分极值点
渐变型细节:难检测,二阶微分信息略多于一阶微分
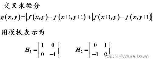
一阶微分算子
梯度算子
1.定义


2.示例

Robert算子
1.定义

2.示例

Sobel算子
1.定义

2.示例

3.效果分析
引入平均因素,对图像中随机噪声有一定的平滑作用
相隔两行或两列求差分,故边缘两侧的元素得到了增强,边缘显得粗而亮
Prewitt算子
Prewitt算子与Sobel算子思路类似,但模板系数不同
二阶微分算子(拉普拉斯算子)
1.模板

2.示例

高斯滤波与边缘检测
高斯函数

LOG算子
1.定义

2.模板

Canny算子
1.最优边缘检测的三个主要评价标准
(1)低错误率。标识出尽可能多的实际边缘,同时尽可能的减少噪声产生的误报
(2)对边缘的定位准确。标识出的边缘要与图像中的实际边缘尽可能接近
(3)最小响应。图像中的边缘最好只标识一次,并且可能存在的图像噪声部分不应标识为边缘
2.步骤
(1)使用高斯平滑滤波器卷积降噪
(2)计算平滑图像的梯度幅值和方向,可采用不同的梯度算子
(3)对梯度幅值应用非极大抑制,即找出图像梯度中的局部极大值点,其他非局部极大值点置零
(4)使用双阈值检测和连接边缘,高阈值用来找到每一条线段,低阈值用来确定线段上的点
频域高通滤波
1.原理
2.分类
(1)理想高通滤波器

(2)巴特沃斯高通滤波器

(3)指数高通滤波器

(4)梯形高通滤波器

第8章 图像复原
图像退化模型
连续退化模型
1.退化过程

2.退化模型

离散退化模型

图像复原
1.含义

2.步骤
(1)确定图像的退化函数
退化函数一般是不知道的,需先估计退化函数
(2)采用合适的图像复原方法复原图像
采用与退化相反的过程,使复原后的图像尽可能接近原图,一般要确定一个合适的准则函数,最优情况对应最好的复原图。这一步的关键技术在于确定准则函数和求最优
图像退化函数的估计
基于模型的估计法
1.定义
若已知引起退化的原因,根据基本原理推导出其退化模型,称为基于模型的估计法。
2.运动模糊退化估计
运动模糊图像
景物和摄像机之间的相对运动,曝光时间内,景物在不同时刻产生多个影像,叠加而导致的模糊,称为运动模糊

运动模糊传递函数

运动模糊的点扩散函数

基于退化图像本身特性的估计法
对引起退化的物理性质不了解,或引起退化的过程过分复杂,无法用分析的方法确定点扩散函数,则可以采用退化图像本身的特性来估计
典型图像复原方法
逆滤波复原

维纳滤波复原

等功率谱滤波

几何均值滤波

例:简述线性位移不变系统逆滤波恢复图像原理
设退化图象为g(x,y),其傅立叶变换为G(u,v),若已知逆滤波器为1/H(u,v)则对G(u,v)作逆滤波得F(u,v)=G(u,v)/H(u,v)
对上式作逆傅立叶变换得逆滤波恢复图象f(x,y)
f(x,y)=IDFT[F(u,v)]
以上就是逆滤波恢复图象的原理
若存在噪声,为避免H(u,v)=0,可采用两种方法处理
①在H(u,v)=0时,人为设置1/H(u,v)的值;
②使1/H(u,v)具有低通性质。即
![]()
第9章 图像的数学形态学处理
在分析目标图像时,需要创建一种几何形态滤波模板,用来收集图像信息,称为结构元素。
膨胀运算
膨胀是将与物体接触的所有背景点合并到该物体中,使边界向外部扩张的过程,可以用来填补物体中的空洞。
膨胀的算法:
用3x3的结构元素,扫描图像的每一个像素。用结构元素与其覆盖的二值图像做“与”操作。如果都为0,结果图像的该像素为0,否则为1。
结果:使二值图像扩大一圈,改变大小。
腐蚀运算
腐蚀是一种消除边界点,使边界向内部收缩的过程,可以用来消除小且无意义的物体。
腐蚀的算法:用3x3的结构元素,扫描图像的每一个像素。用结构元素与其覆盖的二值图像做“与”操作。如果都为1,结果图像的该像素为,否则为0。
结果:使二值图像减小一圈,改变大小。
开运算
先腐蚀后膨胀的过程称为开运算。
用来消除小物体、在纤细点处分离物体、平滑较大物体的边界的同时并不明显改变其面积。
闭运算
先膨胀后腐蚀的过程称为闭运算。
用来填充物体内细小空洞、连接邻近物体、平滑其边界的同时并不明显改变其面积。
本文来自互联网用户投稿,文章观点仅代表作者本人,不代表本站立场,不承担相关法律责任。如若转载,请注明出处。 如若内容造成侵权/违法违规/事实不符,请点击【内容举报】进行投诉反馈!
