大学物理期末总结
目录
第一章 质点运动学
1.1质点运动描述
位置矢量
位移
加速度
两类问题
1.2圆周运动
角量描述
自然坐标描述
第二章 质点动力学
2.1 牛顿运动定律
非惯性系
2.2 动能定理 动能守恒定律
2.3 动量定理 动量守恒定律
第三章 刚体的定轴转动
3.1刚体运动的描述
3.2转动定律
3.3转动动能定理
3.4角动量定理 角动量守恒定律
第四章 狭义相对论
4.1伽利略变换和经典力学时空观
4.2狭义相对论的基本原理洛伦兹变换
4.3狭义相对论的时空观
4.4狭义相对论动力学
第五章 气体动理论
5.1气体状态的描述
5.2理想气体的压强和温度
5.3能量均分定理理想气体的内能
5.4麦克斯韦速率分布律
5.5气体分子的平均碰撞频率和平均自由程
5.6范德瓦耳斯方程
第六章热力学基础
6.1热力学的几个基本概念
6.2热力学第一定律
6.3理想气体的典型过程
6.4循环过程卡诺循环
6.5热力学第二定律卡诺定理
6.6热力学第二定律的统计意义熵
第一章 质点运动学
1.1质点运动描述
位置矢量
设某时刻t质点的位置在P点
我们在选定的参考系上任选-一固定点0作为坐标原点
由0点向P点作一矢量r
则质点的位置可由该矢量决定,
r称为质点的 大小表示分子热运动的激烈程度
如图1.1所示,在直角坐标系Oxyz中,我们用i,j,k分别表示0x轴、Oy轴和Oz轴的单位矢量
质点的运动方程矢量式可表示为r = r(t) = x(t)i + y(t)j + z(t)k
其分量式为 x = x(t) y = y(t) z = z(t)
在运动过程中,质点在空间走过的轨迹称为质点的运动轨道
分量式消去时间参量t, 可求出坐标x、y和z之间的函数关系式,称为质点的轨道方程.
位移
设质点沿曲线AB运动.在t时刻,质点位于A处,位置矢量为r;在t2时刻,质点位于B处,位置矢量为r2.质点在△t时间内,位置的变化用矢量△r表示为△r称为质点的位移.
在直角坐标系下,位移可表示为。
位移的大小
位移与位矢的区别
| 位矢r | 位移△r | |
| 物理意义 | 描述质点某一瞬时的位置,是描述运动状态的物理量。 | 描述质点在一段时间间隔内的位置变化,是描述运动过程的物理量。 |
| 决定因素 | 与坐标原点的选取有关。 | 与坐标原点无关,但与参考系有关。 |
加速度
求位置矢量:写出x,y 消去t r=xi+yj (代入xy)
加速度的分量形式:
加速度的大小:
速度的大小:
两类问题
第一类基本问题:已知运动方程,求速度或加速度.这类问题只需按照式
将运动方程对时间求导即可求解——微分法问题.
第二类基本问题:已知加速度或速度及初始条件,求速度或运动方程.这类
进行积分求解——积分法问题.
1.2圆周运动
角量描述
平面极坐标系中有两个坐标变量(即r和θ)
r是位矢的长度 θ为位矢与极轴间的夹角,称为极角.
在圆周运动中,质点的位矢大小不变,即半径r为常量,因此只有θ是变量.
θ可以用来表示质点在t时刻的位置,称为角位置
当质点作圆周运动时,角位置θ随时间t而变化,即运动方程为θ=θ(t)
若在△t时间内,质点的角位置由θ.变化为θ2,则△θ=θ2 - θ,就是质点在Ot时间内的角位移.质点在△t时间内的平均角速度定义为 ω=△θ/△t
角加速度
自然坐标描述
自然坐标系是研究圆周运动的常用坐标系
自然坐标系的原点就是质点的位置,两个坐标轴分别沿质点的切线方向(指向运动方向)和法线方向(指向圆心).
自然坐标系的切向单位矢量et和法向单位矢量en,都不是常矢量,即坐标系的原点和坐标轴方向是随时间变化的.
| 速度 | 沿该点的切线方向 | v=vet |
| a | 加速度具有两个分量 | |
| at | 与速度方向相同 | 切向加速度 |
| an | 与 | 法向加速度
|
| 加速度 | | |
| 加速度的大小 | |
切向加速度at,是描述速率变化的加速度分量.
| at>0 | 速率增大 | 加速圆周运动 |
| At<0 | 速率减小 | 减速圆周运动 |
| At=0 | 速率不变 | 匀速圆周运动 |
法向加速度是描述速度方向变化的加速度分量.质点作圆周运动时,速度的方向一定有变化,因此at≠0.所以,质点加速度的方向一定指向曲线凹的一侧.
质点作圆周运动时,既可用角量描述(角位置、角速度、角加速度),也可用
线量描述(路程Os、速度、加速度),线量与角量存在如下关系:
(1)路程与角位移的关系:△s=r△θ.
(2)速率与角速度的关系:v=rw.,
(3)加速度与角加速度的关系:a=rw2.
应用题

1.3相对运动


例1.7一人向东前进,其速率为u1=40m/min,觉得风从正南方吹来;
若他把速率增大为u, =70 m/min,觉得风从东南方吹来.求风的速度.


第二章 质点动力学
质点动力学的基本定律是牛顿运动定律,它是动力学的基础.以牛顿运动定律为基础建立起来的动力学理论,称为牛顿力学或经典力学.
牛顿运动定律:牛顿第一定律、第二定律和第三定律.
2.1 牛顿运动定律
质点动力学的基本定律是牛顿运动定律,它是动力学的基础.以牛顿运动定律为基础建立起来的动力学理论,称为牛顿力学或经典力学.
| 【牛顿第一定律】 任何物体都保持静止或匀速直线运动状态,直到有外力迫使它改变这种状态为止. |
| 基本力学概念:惯性和力: |
| (1)惯性,就是物体所固有的保持原来运动状态不变的特性.任何物体都具有惯性,在不受外力的情况下,物体将保持原来的运动状态. (2)力,当物体不受外力或所受合外力为零时,它的运动状态不会发生改变;反过来说,如果物体的运动状态发生了改变,它一定受到外力的作用且所受的合外力不为零. (3)惯性参考系,如果在某一参考系中,一个不受外力或所受合外力为零的物体将保持静止或匀速直线运动的状态,这样的参考系称为惯性参考系,简称惯性系。因此,可以根据牛顿运动定律是否适用来判别参考系是否为惯性参考系.凡是牛顿运动定律成立的参考系都是惯性参考系,否则就是非惯性参考系。 |
| 【牛顿第二定律】物体受到外力时,它获得的加速度的大小与物体所受的合外力成正比,与物体的质量成反比,加速度的方向与合外力的方向相同. |
| (✮)F=ma=m dv/dt |
| (1)定量地给出了力与运动状态变化的关系,即力是产生加速度的原因. (2)定量地说明了物体惯性的大小.在相同的合外力作用下,质量大的物体产生的加速度小,即速度较难改变,惯性较大;而质量小的物体其惯性也小.因此,质量是物体惯性大小的量度,故又称为惯性质量. |
| 三个特性: (1)矢量性:✮是矢量式.在具体计算时, 通常采用分量式. (2)瞬时性:✮给出了合外力与加速度之间的瞬时性.对于某一瞬时,如果有作用力(合力),则物体就有加速度;如果作用力为零,则加速度为零;如果作用力改变,则加速度也随之改变. (3)叠加性:几个力同时作用在一个物体上产生的加速度等于每个力单独存在时产生的加速度的矢量和.这-.结论称为力的叠加原理或力的独立性原理.根据这一特性,✮中的F应理解为物体所受的合外力. |
| 【牛顿第三定律】两个物体之间的作用力与反作用力总是大小相等,方向相反,在同一条直线上. |
| (1)力是物体之间的相互作用.正确理解牛顿第三定律,对分析物体的受力情况非常重要. (2)牛顿运动定律只适用于惯性参考系中运动的质点,并且其运动速率应远小于真空中的光速.在相互作匀速直线运动的各个参考系中,质点的加速度是相等的,即牛顿运动定律是等价的.而相对于惯性系作匀速直线运动的一切参考系都是惯性系。因此,在不同惯性系中,牛顿运动定律都具有相同的形式,这就是力学相对性原理或伽利略相对性原理. |
非惯性系
在运动学中,研究物体的运动时可以任意选择参考系.但在动力学中,应用牛顿运动定律研究物体运动时,却不能任意选择参考系,因为牛顿运动定律不是对任何参考系都成立.
例如,在火车车厢内的光滑桌面上放置一个小球,显然小球所受的合外力F=0.当车厢以加速度a向前开动时,地面上的人看见小球的加速度为零,而车上的人却看见小球以加速度a向后运动.显然,以地面为参考系时,小球所受的合外力F=0,加速度a=0,牛顿运动定律成立;但以车厢为参考系时,小球的加速度a≠0,而所受合外力F=0,即牛顿运动定律不成立.
凡是牛顿运动定律不成立的参考系,称为非惯性参考系,简称非惯性系.例如前述的地面或相对地面作匀速直线运动的车厢就是惯性系,而相对地面作加速运动的车厢则是非惯性系.
其实,2.1.1节提到的惯性系只是一个理想概念.一个参考系能否视为惯性系,只能根据实验来判断.天体运动的研究表明,太阳是-一个较好的惯性系,因此,凡是相对太阳作匀速直线运动的物体均可视为惯性系.由于地球有自转和公转,它对太阳的运动不是匀速直线运动,因此,地球不是严格的惯性系.但因为地球的自转和公转的加速度很小,所以,在一.般精确度范围内,地球或静止在地面上的任何物体可以近似地看作惯性系.
在平动的非惯性系中,除物体所受的真实合外力F外,若再引入一个虚拟的惯性力F,则牛顿运动定律仍然适用.
| 【功】 | 设质点在变力F持续作用下,沿曲线轨道从点a运动到点b.为计算这一-过程中力的功 功是过程量,一般与质点运动的轨迹有关.上式是曲线积分,但较为复杂,实际计算时往往采用分量式: |
| 【功率】 | 为了反映做功的快慢,引人功率的概念.在单位时间内力所做的功,称为功率. |
| 【保守力】 | 做功只与始末位置有关而与路径无关的力(重力,万有引力,弹性力,静电场力) |
| 【非保守力】 | 做功与路径有关的力,称为非保守力.(摩擦力,磁力) |
| 【势能】 | 引入一个只与位置有关的物理量,使保守力做功只与这个物理量在始末两个位置的差值相关.我们把这个由位置决定的物理量定义为势能 W= EP(a) - EP(b) = -△EP |
| (1)状态的函数,物体位置的函数 (2)相对性,与势能零点选取有关 (3)属于系统的,由于系统内各物体间具有保守力作用而产生的 |
2.2 动能定理 动能守恒定律
| 【动能定理】合外力对质点所做的功等于质点动能的增量. |
| 不论物体受力和运动情况多么复杂,若合外力持续作用于物体并导致物体动能发生变化,那么合外力的功就等于始末两个状态的动能增量. |
| 由于动能定理是由牛顿运动定律导出的,而牛顿运动定律只适用于质点和惯性系,因此动能定理也只适用于质点和惯性系. |
| 【质点系的动能定理】:作用于质点系的所有内力和外力所做的总功,等于该质点系总动能的增量. |
| 应用质点系动能定理时,应注意,内力总是成对产生的.如果两个质点间没有相对位移,则这对内力所做的功之和等于零;如果两个质点间有相对位移,则这对内力所做的功之和未必等于零. |
| 【机械能守恒定律】如果质点系只有保守内力做功,其他非保守内力和所有外力都不做功,则系统的机械能保持不变. |
|
式中R=6.37x106 m,g=9.8 m. s-2,对于地面附近的人造地球卫星,有R>>h, 简化为v1≈√gR=7.9x103 m. s-2【第一宇宙速度】地面上发射人造地球卫星所需达到的最小速度 |
| 【能量守恒定律】机械能(动能,势能)与其他能量(内能,电磁能,核能,化学能)的转化 |
| 对于一个与外界无相互作用的孤立系统来说,系统内各种形式的能量是可以互相转化的,但是不论如何转化,能量既不能产生,也不能消灭,它只能从一种形式转化为另- -种形式,或从系统内一个物体传递给另一个物体 |
2.3 动量定理 动量守恒定律
| 【动量,冲量】 |
| 冲量是一个矢量,其方向由外力F对时间的积分决定,物体的质量m和运动速度v的乘积称为物体的动量p,即p= mv. 在恒力的情况下,冲量的方向与外力方向一致; 在变力情况下,力的方向时刻在变化,因此冲量是一个与过程有关的量. 在国际单位制中,冲量的单位是N.s. |
| 动量是物质的基本属性,像动能--样,它是描述物体运动状态的物理量. 动量是矢量,其方向与运动速度方向相同.在国际单位制中,动量的单位是kg·m·s-1. |
| 【动量定理】
|
|
(1)动量定理是矢量式,冲量I是矢量,它的方向未必与初动量p1 或末动量p2的方向相同,而是与动量增量△p的方向相同.在实际应用中,常将动量定理写成直角坐标系的分量式,即,合力的冲量在某方向上的分量只能改变该方向的动量分量 (2)动量定理给出了冲量与动量变化的关系.如果已知合力随时间变化的情况,则可通过动量定理求出动量的增量;反之,如果已知始末状态的动量,则可求出合力的冲量.由于冲量总是等于动量的增量,因此无需考虑运动过程中质点动量变化的细节,也没必要了解合力随时间变化的详细情况,就可求出物体所受的冲量.这正是应用动量定理解决动力学问题的优越性. (3)动量定理可用于求解平均冲力问题.在打击、碰撞、爆炸等问题中,物体之间的相互作用力很大、作用时间极短、作用力变化很快,我们一-般将这种力称为冲力.冲力随时间变化的关系极其复杂,难以测定瞬时冲力,因此牛顿运动定律无法直接使用;而动量定理无需考虑冲力变化的细节,只要测定出质点在打击、碰撞、爆炸前后的动量变化和时间间隔,就可估算出平均冲力的大小和方向.
|
| 【质点系的动量定理】作用于质点系的合外力的冲量等于系统总动量的增量 |
| 或者
式中Ap=p2-p1,是整个系统总动量的增量. |
| 【动量守恒定律】当质点系所受的合外力矢量和为零时,质点系的总动量保持不变 |
(4)动量守恒定律是自然界的普遍规律.在自然界中,大到天体间的相互作用,小到电子、质子、中子等微观粒子间的相互作用都遵守动量守恒定律. (5)动量守恒定律和动量定理只能在惯性系中才成立.因此,运用它们来求解问题时,必须选定一个惯性系作为参考系. |
第三章 刚体的定轴转动
3.1刚体运动的描述
【刚体】在任何外力的作用下不发生形变的物体
【平动】刚体内所有点的运动轨迹完全相同,或者刚体内任意两点间的连线始终保持平行
【刚体定轴转动】如果转轴的位置或方向在所选的参考系中是固定的
【刚体的平面平行运动】刚体运动时,如果刚体中任意一点始终在某一固定平面内运动
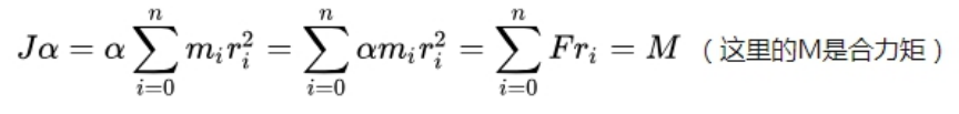
3.2转动定律
力矩:M=r*F(F是转动平面的分力,F的大小是转动平面的分力的沿切线方向的分力)
力矩的大小:M=r*F*sinθ
方向:右手螺旋法则
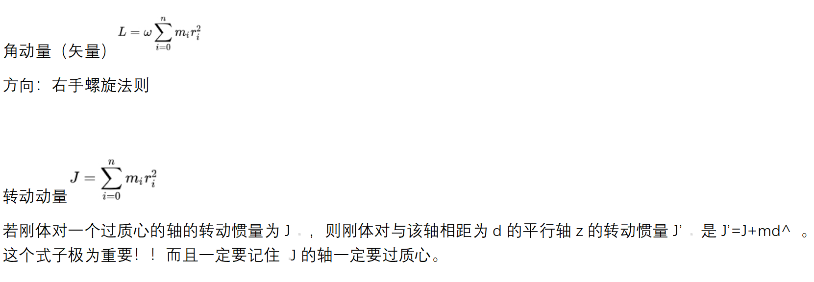
角动量(矢量)
方向:右手螺旋法则


转动定理

3.3转动动能定理
转动动能定理:合外力矩对定轴转动刚体所做的功等于刚体转动动能的增量.
推导过程:
3.4角动量定理 角动量守恒定律
角动量定理:
角动量守恒定律:对某一参考点,若质点所受的合外力矩为零,则此质点对该参考点的角动量保持不变.

第四章 狭义相对论
前三章(质点力学,刚体力学)是在牛顿运动定律的基础上建立起来的,属于牛顿力学或经典力学的范畴.
经典力学只适用于处理低速运动的问题
爱因斯坦创立了相对论学说,它从根本上改变了经典力学中人们对时间和空间的认识,建立了新的时空观,给出了高速运动物体的力学规律.
相对论分为狭义相对论和广义相对论.前者适用于惯性系,后者涉及非惯性系.

从经典物理学到近代物理过渡时期的重要实验事实
- ·迈克尔逊莫雷实验:否定了绝对参考系的存在;
- ·黑体辐射实验
- ·光电效应原子的线状光谱
强调
- ·近代物理不是对经典理论的补充,而是全新的理论。
- ·近代物理不是对经典理论的简单否定。
◆狭义相对论(Special Relativity)
研究:惯性系中物理规律及其变换
揭示:时间、空间和运动的关系
◆广义相对论(General Relativity)
研究:非惯性系中物理规律及其变换
揭示:时间、空间和物质分布的关系
4.1伽利略变换和经典力学时空观
| 伽利略坐标,速度,加速度变换式 |
| 经典力学时空观 (1)同时性是绝对的 (2)时间间隔是绝对的 (3)空间间隔是绝对的 经典力学时空观认为,时间与空间彼此独立且与物体的运动无关,时间间隔与空间间隔是绝对的,它与参考系无关 |
| 3.力学相对性原理 力学相对性原理:(事实→牛顿定律可行→经典力学可行→定理可行)在彼此作匀速直线运动的惯性系中,物体运动的加速度是相同的.由于在经典力学中物体的质量和所受的力都与参考系无关,因此,在所有惯性系中,牛顿第二定律F=ma的表达形式是相同的.而经典力学是以牛顿力学为基础的,因此在所有惯性系中,经典力学规律(如动量定理、动量守恒定律、动能定理、机械能守恒定律、角动量定理、角动量守恒定律、转动定律等)都具有相同的表达形式 力学相对性原理表明,在伽利略变换下经典力学规律的表达形式不变,因此也称为伽利略不变性.从力学的角度上看,所有惯性系都是等价的,在其中进行任何力学实验,都不能确定该参考系是处于静止还是处于匀速直线运动的状态,因而无法用力学实验来证明绝对参考系的存在. |
4.2狭义相对论的基本原理洛伦兹变换
| 伽利略变换应用于电磁学规律时存在困难,即在伽利略变换下麦克斯韦方程组(电磁学的基本规律)具有不同的表达形式.这意味着,如果伽利略变换不但适用于力学现象而且也适用于电磁规律的话,那么麦克斯韦方程组及电磁规律就只可能在一个特定的参考系中成立.曾经有人把这个特定的参考系称为“以太”,建立在“以太”中的参考系就是绝对参考系.因此,如果能从实验证实“以太”的真实性,绝对参考系就有了科学的依据. 美国科学家迈克耳孙(A.A.Michelson)和莫雷(E.W.Morley)的实验就是为测定地球相对于“以太”的运动速度而设计的.实验结果表明:在一个惯性系中光沿各个方向传播的速度是相同的,“以太”存在的假设并不成立,即“以太”根本不存在.实验结果与伽利略变换相矛盾,即经典物理理论与电磁现象的实验结果相矛盾. |
| 爱因斯坦在仔细分析“电磁现象”与“经典理论”之间的矛盾之后,摒弃了没有事实依据的以太假设(即绝对参考系)和经典力学的绝对时空观(伽利略变换),提出了两条新的科学假设,即狭义相对论的基本原理. 相对性原理物理定律在一切惯性系中都具有相同的表达形式,即所有惯性系对于描述物理现象和规律都是等价的. 显然,狭义相对论的相对性原理不同于伽利略的力学相对性原理,它是力学相对性原理的推广. 力学相对性原理说明了一切惯性系对力学规律的等价性,而狭义相对论的相对性原理却把这种等价性推广到包括力学规律和电磁学规律在内的一切物理规律中.于是,按照狭义相对论的相对性原理,我们不能在惯性系中通过物理实验来确定一个惯性系相对于其他惯性系的运动情况,即不能找出绝对静止的惯性系,这同时否定了“以太”假说. 光速不变原理在任何惯性系中,所测得的光在真空中的传播速度都是相等的. 光速不变原理说明,真空中的光速是一常量,它与惯性系的运动状态没有关系.而按照伽利略变换,光速是与观察者和光源之间的相对运动有关的.所以,光速不变原理否定了伽利略变换。 狭义相对论是建立在上述两条基本原理基础上的理论. |
| (1)在伽利略变换中,时间变换与坐标无关,即时间是独立于空间的。而洛伦兹变换则把时间与空间紧密联系起来,时间与空间不再是互相独立的,它们都与物体的运动有关。 (2)当u< (3)若u>c,则y、x'、t'为虚数,这在真实时空系统中是没有意义的.因此相对论预言:任何物体的速率不可能超过真空中的光速,真空中的光速是自然界中存在的极限速率. |
4.3狭义相对论的时空观
狭义相对论的时空观,集中体现在洛伦兹坐标变换中.由洛伦兹坐标变换可导出狭义相对论关于时间与空间的一些重要结论:
(1)时间与空间是一个不可分割的整体,二者存在必然的联系。
(2)“同时”的概念是相对的.在一个惯性系中同时发生的两个事件,在另一个惯性系看来可能是不同时的.
(3)空间间隔或物体沿运动方向的长度是相对的.同一物体在不同参考系中测量的长度可能是不同的.
(4)时间间隔是相对的.同一自然过程所经历的时间在不同参考系中测量一般是不同的.
4.4狭义相对论动力学
| 静质量 | m0是物体在相对静止的惯性系中测得的质量 |
| 相对论质量 | m是物体以速度u相对观察者运动时的质量 |
| 质速关系 | |
| 相对论动量 | 在相对论中,理论分析和实验观察都证明,动量的形式仍然可以表示为p=mu,(m应为相对论质量) |
| 狭义相对论动力学的基本方程 | |
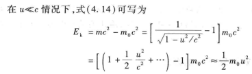
| 狭义相对论动能 |
|
| 推导 |
|
第五章 气体动理论
研究热运动规律:
- 基于微观运动描述的气体动理论(着重于阐述热运动的微观本质)
- 基于宏观运动描述的热力学(着重于阐述热运动的宏观规律)
5.1气体状态的描述
| 【状态参量(宏观量)】:用来描述气体系统宏观状态的物理量 体积V、压强p、温度T 【微观量】:用来描述系统中单个分子的运动状态的物理量 质量、速度、动量、能量等. 【平衡状态】:气体的状态参量将不随时间而变化,具有确定的值. 【热动平衡】:平衡态仅指系统的宏观状态不随时间变化,从微观角度来说,系统内大量分子仍在不停地运动 |
| 气体分子热运动:
|
| 【无序性】气体分子数量巨大,分子之间碰撞频繁,使得分子的位置、速度具有一定的偶然性,即分子热运动具有无序性, 从微观上看,虽然每个分子的运动都遵循牛顿运动定律,但由于分子热运动具有无序性,我们无法用牛顿力学的方法跟踪每个分子并找出其运动规律.实际上,对于平衡态的气体,不管个别分子的运动状态具有何种偶然性,但大量分子的整体表现却是有规律的.这种大量偶然 【统计规律性】事件的整体在一定条件下所表现出来的规律。气体动理论的任务就是寻找这种规律性 对大量分子的微观量(如分子速率、分子动能等)取统计平均,建立气体系统宏观量(如压强、温度、内能等)与微观量统计平均值之间的关系,从而揭示气体宏观性质和规律的微观本质.本章将要讨论的压强、温度、内能、能量均分定理、麦克斯韦速率分布律等都是对大量分子取统计平均的结果。 |
| pV=nRT 摩尔气体常量:R=8.31 J/mol·K 玻尔兹曼常量:k=R/NA=1.38*10-23 J/K |
5.2理想气体的压强和温度
理想气体压强公式:
压强是气体中所有分子对器壁作用的平均效果,它具有统计意义.对个别分子来说,压强是没有意义的.
理想气体温度公式:
大小表示分子热运动的激烈程度
宏观量T是标志分子热运动激烈程度的宏观物理量.
气体分子的热运动越激烈,分子的平均平动动能就越大,气体的温度越高。
5.3能量均分定理理想气体的内能
分子的平均能量应该包括平动、转动和振动能量。
| 【自由度】确定一个物体的空间位置所需要的独立坐标数 |
| 刚体的位置可由6个独立坐标来决定: ①用三个独立坐标确定质心的位置; ②用两个独立坐标(确定转轴的3个方位角中只有两个是独立的)确定转轴的位置; ③用一个独立坐标确定刚体相对于某一起始位置转过的角度。 |
| 自由运动的刚体共有6个自由度,其中3个平动自由度、3个转动自由度。 当刚体的运动受到某种限制时,其自由度会减少. 如刚体平动自由度为3,定点转动自由度为3,定轴转动自由度为6 |
| (1)单原子分子——自由运动的质点——只有平动【自由度为3】. (2)双原子分子——分子的质心位置【自由度为3】;原子连线的方位【自由度为2】.如果不考虑振动,则刚性分子自由度为5. (3)多原子分子——平动【自由度为3】,转动【自由度为3】如果不考虑振动,刚性分子自由度为6. 分子内部的振动只有在高温时才显著表现出来,所以在经典理论中,研究常温情况下气体分子热运动能量时,可以不考虑分子内部的振动而把气体分子看作刚性分子 |
| 气体分子在每一个平动自由度上具有大小等于1/2kT的相同的平均平动动能,或者说,分子的平均平动动能3/2kT均匀地分配在每一个平动自由度上. |
| 【能量均分定理】在温度为T的平衡态下,物质(气体、液体或固体)分子的任何一个自由度都具有相同的平均能量,其大小都等于kT.这就是能量按自由度均分定理 气体的内能:气体分子的动能与相互作用势能构成气体内部的总能量 对于理想气体来说,由于忽略了分子内原子之间及分子与分子之间的相互作用,因而也就忽略了其相互作用势能.所以,理想气体的内能只包含分子热运动动能的总和. |
| 理想气体的内能公式 理想气体的内能仅是温度的单值函数.这是理想气体的一个重要性质. |
5.4麦克斯韦速率分布律
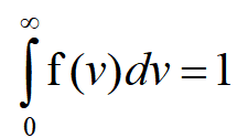
速率分布函数:
F(v)dv : 在速率v附近,处于速率区间dv内的分子数dN占总分子数N的比率,也表示分子处在速率区间dv内的概率。

麦克斯韦分布律:理想气体在平衡态下分子速率的分布函数为:
(1)气体分子的速率可以取零到无限大之间的任一数值.速率很大和很小的分子,其相对分子数都很小;而具有中等速率的分子,其相对分子数则很大。
(2)v=vp时,速率分布曲线存在极大值,对应的速率称为最概然速率.它表示速率在vp附近单位速率间隔内的相对分子数最大.
(3)速率分布函数与温度有关.温度升高时,分布曲线的最高点向速率增大的方向迁移,即最概然速率增大.这是因为,温度越高,则分子的热运动越剧烈,速率大的分子数相对增多;但因曲线下的总面积恒等于1,所以分布曲线在宽度增大的同时,其高度降低,整个曲线将变得较平坦.
最概然速率
最概然速率vp,是系统中任何分子最有可能具有的速率,对应于f(v)的最大值或众数。要把它求出来,我们计算df/dv,设它为零,然后对v求解:,得出:
平均速率
均方根速率vrms是速率的平方的平均值的平方根:
三种典型速率的关系:
三种统计速率在不同的问题中有各自的应用.例如:
在讨论分子的速率分布时,常用到最概然速率;
在讨论分子的碰撞和平均距离时,常用到平均速率;
在讨论分子的平均平动动能时,常用到方均根速率。
5.5气体分子的平均碰撞频率和平均自由程
【平均碰撞频率】气体处于平衡态时,每个分子在单位时间内与其他分子碰撞的平均次数
【自由程】连续两次碰撞之间分子自由运动的路程
【平均自由程】连续两次碰撞之间分子自由运动的平均路程


5.6范德瓦耳斯方程
理想气体微观模型适用于压强不太大、温度不太低的情况.
描述真实气体的范德瓦耳斯方程.它是在理想气体物态方程的基础上,考虑了分子的体积和分子之间的相互作用,对理想气体物态方程加以修正后得到的.
修正:
V→V-b
p→p-pi
Pi =
实际气体的范德瓦耳斯方程

第六章热力学基础
气体分子热运动的宏观规律
6.1热力学的几个基本概念
| 【过程】气体系统从一个状态到另一个状态的变化过程称为热力学过程 【准静态过程】如果过程进行得足够缓慢,气体系统所经历的每一中间状态都无限接近于平衡态 |
| 气体系统从状态A变化到,气体系统的内能等于所有分子热运动动能和分子内原子间及分子间相互作用势能总和。 内能的增量只与系统的始末温度有关,内能是状态量而不是过程量 △E = (i/2) nR△T |
| 【功】dW = Fdl = pS dl = pdV W = 功是过程量,不是状态量 |
| 【热量】当系统与外界之间存在温度差时,系统与外界之间所传递的能量 做功和传递热量是系统与外界交换能量的两种方式 热量、功与能量的单位都是J |
6.2热力学第一定律
【热力学第一定律】Q = △E + W
系统从外界吸收的热量Q,一部分用于增加系统的内能,另一部分用于系统对外做功.
适用于任何热力学系统(理想气体或实际气体)的任何热力学过程(准静态过程或非静态过程)
【第一类永动机】无需任何动力和燃料却能源源不断地对外做功,或提供较少的能量却能对外做更多的功
违反了热力学第一定律而终未制成.所以热力学第一定律也可表述为:第一类永动机是不可能实现的.
6.3理想气体的典型过程
| 等体过程 | 系统从外界吸收的热量全部用于增加系统的内能. dV=0 dW=0,即气体不做功.热力学第一定律可表示为: Q=△E=i/2 nR△T 【摩尔定容热容】1mol理想气体在体积不变的条件下温度改变1K所吸收或放出的热量 Cv,m = i/2 R |
|
| 等压过程 | W = nR△T Q = E + W =Cv,m n△T + nRT = nT Cp,m 【摩尔定压热容】1mol理想气体在压强不变的条件下温度改变1K所吸收或放出的热量 Cp,m = (1+i/2)R 在等压过程中,气体所吸收的热量,一部分用于增加系统的内能,另一部分用于对外做功. |
|
| 等温过程 |
P1V1 = P2V2 = nRT 在理想气体的等温过程中,当气体膨胀(V |
|
| 绝热过程 | 过程曲线是绝热线 -W = E = Cv,m n△T 绝热过程中气体完全依靠自身内能的减少来对外做功,或者外界对气体所做的功全部用于增加气体的内能. | |
|
|

6.4循环过程卡诺循环
| 【热机】:将热能持续转化为功的装置 【循环过程】:物质系统从某一初始状态出发,经过一系列状态变化后又回到初始状态的过程(△E=0) 【正循环】:热机循环(蒸汽机,内燃机) 【逆循环】:制冷机循环(空调,电冰箱) |
| 循环过程:净热量Q=净功W |
| 热机 W=Q1-Q2 【热机效率】 |
| 制冷机 W=Q1-Q2 【制冷系数】 |
| 卡诺循环由两个等温过程和两个绝热过程组成 按卡诺正循环工作的机器称为卡诺热机;按卡诺逆循环工作的机器称为卡诺制冷机 【卡诺热机的效率】 【卡诺制冷机的制冷系数】 【结论】: (1)要完成一次卡诺循环,必须有高温和低温两个热源. (2)卡诺循环的效率只与两个热源的温度有关,与工作物质无关.高温热源的温度越高、低温热源的温度越低,则卡诺循环的效率越高.这是提高热机效率的有效途径之一。 (3)由于T1=无穷和T2=0都不可能达到,所以卡诺循环的效率总是小 |
| 【热力学第二定律】开尔文表述:不可能从单一热源吸收热量,使它完全变为有用的功而不引起其他变化。 【第二类永动机】:从单一热源吸收热量把它全部用来做功而不把热量不违反热力学放给其他物体的机器,这是效率为100%的机器. (符合第一定律,因为它所作的功是由热量转化而来的,符合能量守恒定律.) 热力学第二定律适用于有限范围内的宏观过程,但不适用于无限范围的宇宙及少量分子的微观体系. |
6.5热力学第二定律卡诺定理
| 【卡诺定理】:
|
| 分子全部集中在一室的宏观态是非平衡态,这时分子运动是最有序的,它所包含的微观态数最少,热力学概率最小;而分子均匀分布的宏观态是平衡态,这时分子运动是最无序的,它所包含的微观态数最多,热力学概率最大。所以,在孤立系统中发生的自发过程(如气体自由膨胀)总是从有序状态向无序状态进行,从包含微观态数少的宏观态向包含微观态数多的宏观态进行,从热力学概率小的状态向热力学概率大的状态进行.这就是自然界中自发发生的不可逆过程具有方向性的微观本质,也是热力学第二定律的统计意义. |
6.6热力学第二定律的统计意义熵
| 【熵的玻耳兹曼关系式】S=kln W. 熵是系统内分子热运动无序性大小的量度. 由于微观态数与系统某确定的宏观态相对应,因而嫡是系统宏观状态的函数,其变化仅与系统宏观状态的变化有关,与过程无关. |
| 【熵增加原理】/【热力学第二定律进一步表述】:在孤立系统内部的自发过程总是沿着熵增大的方向进行;达到平衡态时,系统的熵最大. |
作者一言:
1. 这是两年前的大物笔记,所以,如果你们有大物相关的问题,可以发在评论区等善良的有缘人来给你们解答。(因为我不会)
2. 因为当时写笔记的时候用的是本地文档,当时使用的是unicode公式,而csdn使用的latex公式格式,所以我是对每个公式进行截图->公式识别器->latex插入的,贴上来的时候我有检查过一遍,但是如果你们发现哪里有缺少公式或者错误,可以在评论区@我。
本文来自互联网用户投稿,文章观点仅代表作者本人,不代表本站立场,不承担相关法律责任。如若转载,请注明出处。 如若内容造成侵权/违法违规/事实不符,请点击【内容举报】进行投诉反馈!
,(w=dθ/dt , v=wr),












