数字图像处理复习大纲
第 1 章 绪论
-
图像、数字图像、像素的概念和表示、取值范围。
图像 就是视觉景物的某种形式的表示和记录数字图像 用数字来记录图像各点的亮度信息。 是由模拟图像数字化或离散化得到的像素 图像的基本单元取值范围 整数集合 -
了解有哪些不同波段、不同类型的图像。
人类的感知只限于电磁波谱的视觉波段,其中可见光谱的波长范围:400~700nm成像机器则可以覆盖几乎所有电磁波段,从伽马射线到无线电波
| 伽马射线 | pet图像 |
| X射线 | CT图像 |
| 无线电波 | MRI 磁共振成像 |
3. 数字图像处理主要研究哪些内容?
- 图像变换
- 图像增强
- 图像复原
- 图像分割
- 图像压缩
第 2 章 图像处理基础知识
3. 基本概念: 图像传感器、 采样、量化、空间分辨率、灰度分辨率,及其联系。
图像传感器:CCD,CMOS
采样:空间上的离散化,确定了图像的空间分辨率采样间隔太小,则增大数据量;太大, 则会发生信息的混叠,导致细节无法辨认
量化:灰度上的离散化,确定了图像的灰度分辨率量化等级越多 , 所得图像层次越丰富 ,灰度分辨率高 , 图像质量好 , 但数据量大;量化等级越少 , 图像层次欠丰富 , 灰度分辨率低 , 会出现 伪轮廓现象, 图像质量变差 ,但数据量小一般情况下 , 对灰度 变化比较平缓 的部分用 比较多的量化级 , 在灰度 变化比较剧烈 的地方用 比较高的分辨率
编码:确定图像大小
图像数字化的过程:
采样 量化 编码
-
会计算图像所占存储空间的大小、灵活运用。
图像数据量大小=像素总数X图像深度/8单位:字节 -
理解颜色的本质, 何为三基色、三补色? 掌握 RGB、 CMY、 HSI 彩色模型及其联系。
我们看的颜色是 物质本身反射出来的电磁波的颜色
颜色本质三基色:RGB三补色:蓝绿/青(C),品红(M),黄(Y)
-
RGB模型:加色模型
面向硬件设备的彩色模型,任意彩色光L的配色方程式为

-
CMY模型:其颜色由该物体反射哪些光波来决定
彩色打印时,纸张只能通过反射某些光线来呈现某种颜色,故使用CMY模型,且油墨和颜料用的越多,颜色越暗 -
CMY与RGB关系

-
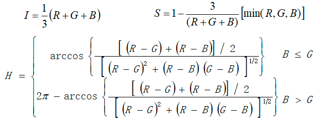
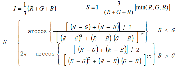
HSI彩色模型
色调(Hue):表示颜色,与彩色光的**波长**有关。饱和度(Saturation) :表示颜色的纯度,即彩色光中**掺杂白光**的程度,白光越多饱和度越低,白光越少颜色越纯。强度(Intensity)/亮度:表示人眼感受到的颜色的**明暗程度**,与物体的反射率成正比。模型表示:双棱锥(或双圆锥)结构
-
RGB与HSI


-
常见的图像文件格式有哪些?掌握 BMP 文件格式的结构。
有哪些常见的图像文件格式
BMP GIF TIFF JPEG
本文来自互联网用户投稿,文章观点仅代表作者本人,不代表本站立场,不承担相关法律责任。如若转载,请注明出处。 如若内容造成侵权/违法违规/事实不符,请点击【内容举报】进行投诉反馈!
