算法数学知识(一)
求出一个数的所有约数
#include
#include
using namespace std;
vector<int> v;
int main()
{int n;cin>>n;// 求出n的所有约数for(int i=1;i*i<=n;i++){if(n%i==0){v.push_back(i);if(n/i!=i) v.push_back(n/i);}}// 遍历n的所有约数for(auto i = v.begin();i!=v.end();i++) cout<<(*i)<<' ';return 0;
}
判定法求质数(素数)
模板:
//试除法
bool is_prime(int x)
{if (x < 2) return false;//最小的质数是2//以12为例,当i=2时,i<=6,当i=3时,i<=4,当i=4时,i<=3退出for循环//12=2*6,只要判断12/2即可判定其为合数,无需再进行下面的判断for (int i = 2; i <= x / i; i ++ )if (x % i == 0)return false;return true;
}
//acwing
例题
给定 n 个正整数 ai,判定每个数是否是质数。
输入格式
第一行包含整数 n。
接下来 n 行,每行包含一个正整数 ai。
输出格式
共 n 行,其中第 i 行输出第 i 个正整数 ai 是否为质数,是则输出 Yes,否则输出 No。
数据范围
1≤n≤100,
1≤ai≤231−1
输入样例:
2
2
6
输出样例:
Yes
No
#include
#include using namespace std;bool is_prime(int x)
{if (x < 2) return false;for (int i = 2; i <= x / i; i ++ )if (x % i == 0)return false;return true;
}int main()
{int n;cin >> n;while (n -- ){int x;cin >> x;if (is_prime(x)) puts("Yes");else puts("No");}return 0;
}
分解质因数
质因数就是一个数的约数,并且是质数。
质数又称素数,正因数只有1和它本身
1既不是质数也不是合数
模板
//试除法
void divide(int x)
{for (int i = 2; i <= x / i; i ++ )if (x % i == 0){int s = 0;while (x % i == 0) x /= i, s ++ ;//相同的因数可以不止有一个//比如8=2*2*2cout << i << ' ' << s << endl;}if (x > 1) cout << x << ' ' << 1 << endl;//质数情况,此时若x>1说明x是质数cout << endl;
}
//acwing
例题
给定 n 个正整数 ai,将每个数分解质因数,并按照质因数从小到大的顺序输出每个质因数的底数和指数。
输入格式
第一行包含整数 n。
接下来 n 行,每行包含一个正整数 ai。
输出格式
对于每个正整数 ai,按照从小到大的顺序输出其分解质因数后,每个质因数的底数和指数,每个底数和指数占一行。
每个正整数的质因数全部输出完毕后,输出一个空行。
数据范围
1≤n≤100,
2≤ai≤2×109
输入样例:
2
6
8
输出样例:
2 1
3 12 3
#include
#include using namespace std;void divide(int x)
{for (int i = 2; i <= x / i; i ++ )if (x % i == 0){int s = 0;while (x % i == 0) x /= i, s ++ ;cout << i << ' ' << s << endl;}if (x > 1) cout << x << ' ' << 1 << endl;cout << endl;
}int main()
{int n;cin >> n;while (n -- ){int x;cin >> x;divide(x);}return 0;
}
筛质数
模板
//线性筛法求素数
int primes[N], cnt; // primes[]存储所有素数
bool st[N]; // st[x]存储x是否被筛掉void get_primes(int n)
{for (int i = 2; i <= n; i ++ ){if (!st[i]) primes[cnt ++ ] = i;for (int j = 0; primes[j] <= n / i; j ++ ){st[primes[j] * i] = true;if (i % primes[j] == 0) break;}}
}
//acwing
线性筛法核心:
每个合数是被其最小的质因数给筛掉的
每个被筛掉的合数,只被筛掉一次,而不是多次

因为6%2==0
说明6能继续拆分成2 * 3,如果要是以3 * 6来筛掉18时就不满足最小质数来筛除的条件了
因为18应该由2*9筛掉,而不是3 * 6,所以此时要break
例题
给定一个正整数 n,请你求出 1∼n 中质数的个数。
输入格式
共一行,包含整数 n。
输出格式
共一行,包含一个整数,表示 1∼n 中质数的个数。
数据范围
1≤n≤106
输入样例:
8
输出样例:
4
#include
using namespace std;
const int N=1000010;
int primes[N],cnt;//primes存放当前已经筛选出来的质数
bool st[N];//存放是否被筛选掉int fun(int n){for(int i=2;i<=n;i++){//质数从2开始if(!st[i]){//如果没有被筛掉说明是质数primes[cnt++]=i;//将质数保存在primes数组}for(int j=0;primes[j]<=n/i;j++){//减少for循环的次数,如果是j<=cnt,会造成primes[j]*i>n且会多执行几次st[primes[j]*i]=true;//用当前最小的质因数来筛掉合数//如6=2*3,6被2筛掉,而不是被3筛掉//i%primes[j] ==0说明i能分解成质因数*的形式//如4能分解成2*2,这时就不用用4筛某个数,而是2if(i%primes[j] ==0) break;}}return cnt;
}int main()
{int n;cin>>n;cout<<fun(n);return 0;
}
最大公约数
模板
//欧几里得算法
int gcd(int a, int b)
{return b ? gcd(b, a % b) : a;
}
//acwing
例题
给定 n 对正整数 ai,bi,请你求出每对数的最大公约数。
输入格式
第一行包含整数 n。
接下来 n 行,每行包含一个整数对 ai,bi。
输出格式
输出共 n 行,每行输出一个整数对的最大公约数。
数据范围
1≤n≤105,
1≤ai,bi≤2×109
输入样例:
2
3 6
4 6
输出样例:
3
2
#include
#include
using namespace std;//欧几里得算法总结:
//1.大数除以小数
//2.上一个算式的除数作为当前算式的被除数,余数作为除数
//3.重复上述步骤,直至余数为0时的除数为最大公约数
int gcd(int a,int b){return b?gcd(b,a%b):a;
}
int main()
{int n;cin>>n;for(int i=0;i<n;i++){int a,b;cin>>a>>b;cout<<gcd(max(a,b),min(a,b))<<endl;}return 0;
}
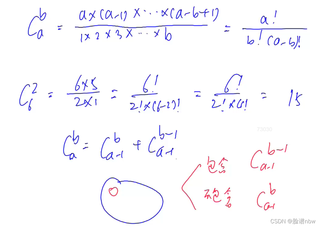
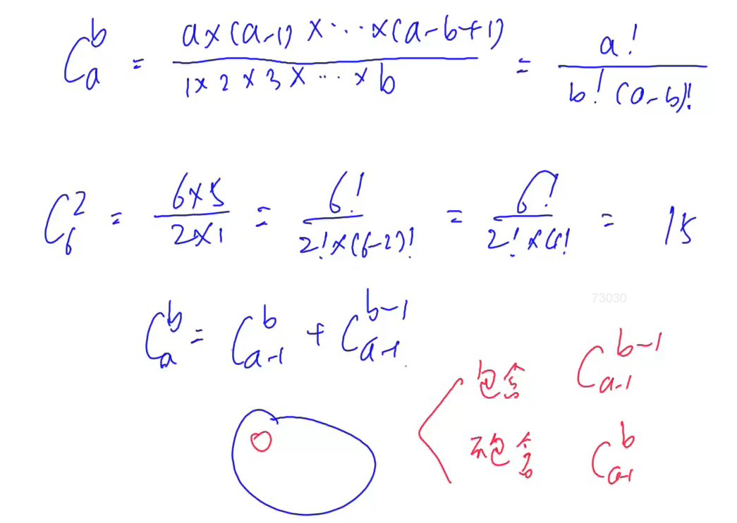
求组合数
模板
递归法求组合数
// c[a][b] 表示从a个苹果中选b个的方案数
for (int i = 0; i < N; i ++ )for (int j = 0; j <= i; j ++ )if (!j) c[i][j] = 1;else c[i][j] = (c[i - 1][j] + c[i - 1][j - 1]) % mod;//公式
//acwing

例题:
给定 n 组询问,每组询问给定两个整数 a,b,请你输出 Cbamod(10的9次方+7) 的值。
输入格式
第一行包含整数 n。
接下来 n 行,每行包含一组 a 和 b。
输出格式
共 n 行,每行输出一个询问的解。
数据范围
1≤n≤10000,
1≤b≤a≤2000
输入样例:
3
3 1
5 3
2 2
输出样例:
3
10
1
#include
using namespace std;
const int N=2010,mod=1e9+7;
int c[N][N];
void init()
{//c[a][b]表示从a个苹果中选b个的方案数//先进行预处理//预处理过后直接用即可for(int i=0;i<N;i++){//for(int j=0;j<=i;j++){if(!j) c[i][j]=1;else c[i][j]=(c[i-1][j]+c[i-1][j-1]) % mod;}}
}
int main()
{init();int n;cin>>n;for(int i=0;i<n;i++){int a,b;cin>>a>>b;cout<<c[a][b]<<endl;}return 0;
}
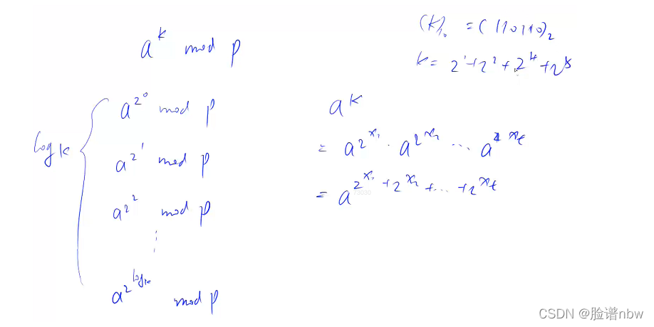
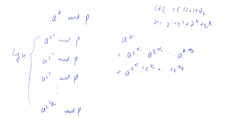
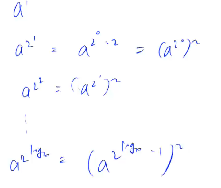
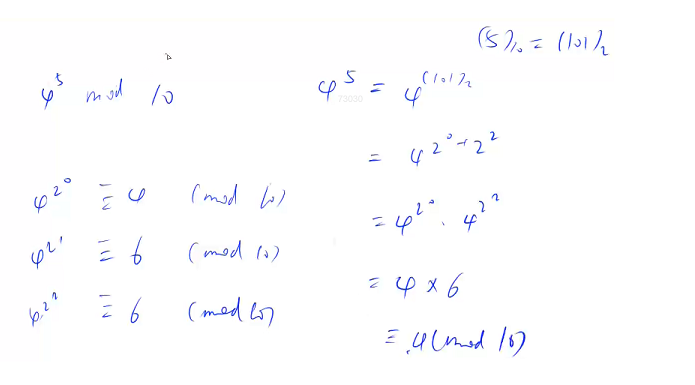
快速幂
快速求解

将a的k次方中的k以二进制的形式表示,然后k=2的0次方+2的一次方+…
5=(101)二进制,5=2的0次方+2的2次方

2的1次方=(2的0次方)平方,2的2次方=(2的1次方)平方


模板
typedef long long LL;LL qmi(int a,int k,int p){LL res = 1%p;//res为返回的结果while(k){if(k & 1) res = res * a %p;a=a*(LL)a%p;k>>=1;}return res;
}
例题

#include
using namespace std;typedef long long LL;LL qmi(int a,int k,int p){LL res = 1%p;//res为返回的结果while(k){if(k & 1) res = res * a %p;//如果当前b的二进制写法中最后一位是1//假设a=4,4的1次方=4的2的0次方,4的2次方=4的2的1次方=(4的2的0次方)平方a=a*(LL)a%p;//假设a是4,4的5次方二进制可以表示为4(101)次方,4就是(001)次方,4*4就是(010)次方//又移1位k>>=1;}//对于mod解释,以4的5次方为例,4的5次方mod10=(4mod10)*(4mod10)...=(4*4mod10)*...*(4mod10)return res;
}int main()
{int n;cin>>n;for(int i=0;i<n;i++){int a,k,p;scanf("%d%d%d",&a,&k,&p);cout<<qmi(a,k,p)<<endl;}return 0;
}
本文来自互联网用户投稿,文章观点仅代表作者本人,不代表本站立场,不承担相关法律责任。如若转载,请注明出处。 如若内容造成侵权/违法违规/事实不符,请点击【内容举报】进行投诉反馈!
