水箱建模最小二乘法_人教A版高中数学必修二7.2 复数的四则运算优质课公开课课件、教案...


【新教材】7.2.2 复数的乘除运算
教学设计(人教A版)
教材分析
复数四则运算是本章的重点,复数代数形式的乘法与多项式乘法是类似的,不同的是即必须在所得结果中把i2换成-1,再把实部、虚部分别合并.复数的除法运算法则是通过分子分母同时乘分母的共轭复数,将分母实数化转化为乘法运算而得出的.渗透了转化的数学思想方法,使学生体会数学思想的素材.
教学目标与核心素养
课程目标:
1.掌握复数代数形式的乘法和除法运算;
2.理解复数乘法的交换律、结合律和乘法对加法的分配律;
3.理解且会求复数范围内的方程根.
数学学科素养
1.数学抽象:复数乘法、除法运算法则;
2.逻辑推理:复数乘法运算律的推导;
3.数学运算:复数四则运算;
4.数学建模:结合实数范围内求根公式和复数四则运算,解决复数范围内的方程根问题.
教学重难点
重点:复数代数形式的乘法和除法运算.
难点:求复数范围内的方程根.
课前准备
教学方法:以学生为主体,小组为单位,采用诱思探究式教学,精讲多练.
教学工具:多媒体.
教学过程
一、 情景导入
前面学习了复数的加法、减法运算,根据多项式的乘法、除法运算法则猜测复数的乘法、除法满足何种运算法则?
要求:让学生自由发言,教师不做判断。而是引导学生进一步观察.研探.
二、预习课本,引入新课
阅读课本77-79页,思考并完成以下问题
1、复数乘法、除法的运算法则是什么?
2、复数乘法的多项式运算与实数的多项式运算法则是否相同?如何应用共轭复数解决问题?
要求:学生独立完成,以小组为单位,组内可商量,最终选出代表回答问题。
三、新知探究
1.复数代数形式的乘法法则
已知z1=a+bi,z2=c+di,a,b,c,d∈R,则z1·z2=(a+bi)(c+di)=(ac-bd)+(ad+bc)i.
[提示]复数的乘法与多项式乘法是类似的,有一点不同即必须在所得结果中把i2换成-1,再把实部、虚部分别合并.
2.复数乘法的运算律
对于任意z1,z2,z3∈C,有
交换律 | z1·z2=z2·z1 |
结合律 | (z1·z2)·z3=z1·(z2·z3) |
乘法对加法的分配律 | z1(z2+z3)=z1·z2+z1·z3 |
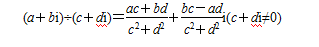
3.复数代数形式的除法法则

四、典例分析、举一反三
题型一 复数的乘法运算
例1计算下列各题.
(1)(1-2i)(3+4i) (-2+i);(2)(2-3i)(2+3i);(3)(1+i)2 .
【答案】(1) -20+15i. (2) 13. (3) 2i.
【解析】(1)原式=(11-2i)(-2+i)=-20+15i.
(2)原式=(2-i)(-1+5i)(3-4i)+2i=4-9i2=4+9=13.
(3)原式=1+2i+i2=1+2i-1=2i.
解题技巧(复数乘法运算技巧)
1.两个复数代数形式乘法的一般方法
(1)首先按多项式的乘法展开.
(2)再将i2换成-1.
(3)然后再进行复数的加、减运算,化简为复数的代数形式.
2.常用公式
(1)(a+bi)2=a2-b2+2abi(a,b∈R).
(2)(a+bi)(a-bi)=a2+b2(a,b∈R).
(3)(1±i)2=±2i.
跟踪训练一
1.计算:(1-i)2-(2-3i)(2+3i)=()
A.2-13iB.13+2i
C.13-13iD.-13-2i
【答案】D.
【解析】 (1-i)2-(2-3i)(2+3i)=1-2i+i2-(4-9i2)=-13-2i.
2.若复数(1-i)(a+i)在复平面内对应的点在第二象限,则实数a的取值范围是()
A.(-∞,1) B.(-∞,-1)
C.(1,+∞) D.(-1,+∞)
【答案】B.
【解析】因为z=(1-i)(a+i)=a+1+(1-a)i,

题型二 复数的除法运算
例2计算(1+2i)(3-4i).

解题技巧: (复数的除法运算技巧)
1.两个复数代数形式的除法运算步骤
(1)首先将除式写为分式;
(2)再将分子、分母同乘以分母的共轭复数;
(3)然后将分子、分母分别进行乘法运算,并将其化为复数的代数形式.
2.常用公式
(1)=-i;(2)=i;(3)=-i.
跟踪训练二

题型三 复数范围内的方程根问题
例3 在复数范围内解下列方程:

解题技巧(解决复数方程根问题的技巧)
与复数方程有关的问题,一般是利用复数相等的充要条件,把复数问题实数化进行求解.根与系数的关系仍适用,但判别式“Δ”不再适用.
跟踪训练三
1、已知1+i是方程x2+bx+c=0的一个根(b,c为实数).
(1)求b,c的值;
(2)试判断1-i是否是方程的根.
【答案】(1)b=-2,c=2. (2)1-i也是方程的一个根.
【解析】(1)因为1+i是方程x2+bx+c=0的根,
∴(1+i)2+b(1+i)+c=0,即(b+c)+(2+b)i=0.

(2)将方程化为x2-2x+2=0,把1-i代入方程左边x2-2x+2=(1-i)2-2(1-i)+2=0,显然方程成立,∴1-i也是方程的一个根.
五、课堂小结
让学生总结本节课所学主要知识及解题技巧
六、板书设计

七、作业
课本80页练习,80页习题7.2的剩余题.
教学反思
本节课主要是在学生了解复数的加减运算及共轭复数的基础上,类比多项式的乘除运算法则探讨得出复数的乘除运算法则,使学生对知识更加融会贯通.尤其在例3,使学生对方程的根有了更深刻的认识.

其他精品教学资源请访问教师之家官方网站:www.renjiaoshe.com
点击下方“阅读原文”获取更多精品教学资源
本文来自互联网用户投稿,文章观点仅代表作者本人,不代表本站立场,不承担相关法律责任。如若转载,请注明出处。 如若内容造成侵权/违法违规/事实不符,请点击【内容举报】进行投诉反馈!
