SDUT PTA 查找表
7-1 电话聊天狂人
给定大量手机用户通话记录,找出其中通话次数最多的聊天狂人。
输入格式:
输入首先给出正整数N(≤105),为通话记录条数。随后N行,每行给出一条通话记录。简单起见,这里只列出拨出方和接收方的11位数字构成的手机号码,其中以空格分隔。
输出格式:
在一行中给出聊天狂人的手机号码及其通话次数,其间以空格分隔。如果这样的人不唯一,则输出狂人中最小的号码及其通话次数,并且附加给出并列狂人的人数。
输入样例:
4
13005711862 13588625832
13505711862 13088625832
13588625832 18087925832
15005713862 13588625832
输出样例:
13588625832 3
#include
using namespace std;
typedef map msi;
int main()
{msi mp;msi::iterator it;int n, maxn = -1;string maxnn;cin >> n;while(n--){string a, b;cin >> a >> b;mp[a]++;mp[b]++;if(mp[a] > maxn){maxn = mp[a];maxnn = a;}if(mp[b] > maxn){maxn = mp[b];maxnn = b;}}int cnt = 0;for(it = mp.begin(); it!= mp.end(); it++){if(it->second == maxn){cnt++;}}if(cnt == 1) cout << maxnn << " " << maxn << endl;else{for(it = mp.begin(); it != mp.end(); it++){if(it->second == maxn){cout << it->first << " " << maxn << " " << cnt;break;}}}return 0;
}
7-2 两个有序序列的中位数
已知有两个等长的非降序序列S1, S2, 设计函数求S1与S2并集的中位数。有序序列A0,A1,⋯,AN−1的中位数指A(N−1)/2的值,即第⌊(N+1)/2⌋个数(A0为第1个数)。
输入格式:
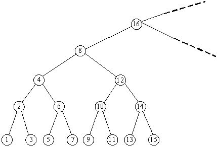
输入分三行。第一行给出序列的公共长度N(0 在一行中输出两个输入序列的并集序列的中位数。 请编写程序,对一段英文文本,统计其中所有不同单词的个数,以及词频最大的前10%的单词。 所谓“单词”,是指由不超过80个单词字符组成的连续字符串,但长度超过15的单词将只截取保留前15个单词字符。而合法的“单词字符”为大小写字母、数字和下划线,其它字符均认为是单词分隔符。 输入给出一段非空文本,最后以符号 在第一行中输出文本中所有不同单词的个数。注意“单词”不区分英文大小写,例如“PAT”和“pat”被认为是同一个单词。 随后按照词频递减的顺序,按照 给定两个整数集合,它们的相似度定义为:Nc/Nt×100%。其中Nc是两个集合都有的不相等整数的个数,Nt是两个集合一共有的不相等整数的个数。你的任务就是计算任意一对给定集合的相似度。 输入第一行给出一个正整数N(≤50),是集合的个数。随后N行,每行对应一个集合。每个集合首先给出一个正整数M(≤104),是集合中元素的个数;然后跟M个[0,109]区间内的整数。 之后一行给出一个正整数K(≤2000),随后K行,每行对应一对需要计算相似度的集合的编号(集合从1到N编号)。数字间以空格分隔。 对每一对需要计算的集合,在一行中输出它们的相似度,为保留小数点后2位的百分比数字。 7-5 悄悄关注 新浪微博上有个“悄悄关注”,一个用户悄悄关注的人,不出现在这个用户的关注列表上,但系统会推送其悄悄关注的人发表的微博给该用户。现在我们来做一回网络侦探,根据某人的关注列表和其对其他用户的点赞情况,扒出有可能被其悄悄关注的人。 输入首先在第一行给出某用户的关注列表,格式如下: 其中 之后给出该用户点赞的信息:首先给出一个不超过10000的正整数 我们认为被该用户点赞次数大于其点赞平均数、且不在其关注列表上的人,很可能是其悄悄关注的人。根据这个假设,请你按用户ID字母序的升序输出可能是其悄悄关注的人,每行1个ID。如果其实并没有这样的人,则输出“Bing Mei You”。 7-6 单身狗 “单身狗”是中文对于单身人士的一种爱称。本题请你从上万人的大型派对中找出落单的客人,以便给予特殊关爱。 输入第一行给出一个正整数 N(≤50000),是已知夫妻/伴侣的对数;随后 N 行,每行给出一对夫妻/伴侣——为方便起见,每人对应一个 ID 号,为 5 位数字(从 00000 到 99999),ID 间以空格分隔;之后给出一个正整数 M(≤10000),为参加派对的总人数;随后一行给出这 M 位客人的 ID,以空格分隔。题目保证无人重婚或脚踩两条船。 首先第一行输出落单客人的总人数;随后第二行按 ID 递增顺序列出落单的客人。ID 间用 1 个空格分隔,行的首尾不得有多余空格。 7-7 词典 你刚从滑铁卢搬到了一个大城市,这里的人们讲一种难以理解的外语方言。幸运的是,你有一本字典来帮助你理解它们。 输入第一行是正整数N和M,后面是N行字典条目(最多10000条),然后是M行要翻译的外语单词(最多10000个)。每一个字典条目都包含一个英语单词,后面跟着一个空格和一个外语单词。 输出翻译后的英文单词,每行一个单词。非词典中的外来词汇输出“eh”。 7-8 这是二叉搜索树吗? 一棵二叉搜索树可被递归地定义为具有下列性质的二叉树:对于任一结点, 所谓二叉搜索树的“镜像”,即将所有结点的左右子树对换位置后所得到的树。 给定一个整数键值序列,现请你编写程序,判断这是否是对一棵二叉搜索树或其镜像进行前序遍历的结果。 输入的第一行给出正整数 N(≤1000)。随后一行给出 N 个整数键值,其间以空格分隔。 如果输入序列是对一棵二叉搜索树或其镜像进行前序遍历的结果,则首先在一行中输出 7-9 二叉搜索树 对于一个无穷的满二叉排序树(如图),节点的编号是1,2,3,…。对于一棵树根为X的子树,沿着左节点一直往下到最后一层,可以获得该子树编号最小的节点;沿着右节点一直往下到最后一层,可以获得该子树编号最大的节点。现在给出的问题是“在一棵树根为X的子树中,节点的最小编号和最大编号是什么?”。请你给出答案。 输入的第一行给出测试用例的数目,一个整数N。在后面的N行中,每行给出一个整数X(1<=X<=231-1),表示子树树根的编号。 输出N行,第i行给出第i个问题的答案。 输出格式:
输入样例1:
5
1 3 5 7 9
2 3 4 5 6
输出样例1:
4
输入样例2:
6
-100 -10 1 1 1 1
-50 0 2 3 4 5
输出样例2:
1#include7-3 词频统计
输入格式:
#结尾。输入保证存在至少10个不同的单词。输出格式:
词频:单词的格式输出词频最大的前10%的单词。若有并列,则按递增字典序输出。输入样例:
This is a test.The word "this" is the word with the highest frequency.Longlonglonglongword should be cut off, so is considered as the same as longlonglonglonee. But this_8 is different than this, and this, and this...#
this line should be ignored.
输出样例:(注意:虽然单词
the也出现了4次,但因为我们只要输出前10%(即23个单词中的前2个)单词,而按照字母序,the排第3位,所以不输出。)23
5:this
4:is#include7-4 集合相似度
输入格式:
输出格式:
输入样例:
3
3 99 87 101
4 87 101 5 87
7 99 101 18 5 135 18 99
2
1 2
1 3
输出样例:
50.00%
33.33%#include输入格式:
人数N 用户1 用户2 …… 用户N
N是不超过5000的正整数,每个用户i(i=1, ..., N)是被其关注的用户的ID,是长度为4位的由数字和英文字母组成的字符串,各项间以空格分隔。M,随后M行,每行给出一个被其点赞的用户ID和对该用户的点赞次数(不超过1000),以空格分隔。注意:用户ID是一个用户的唯一身份标识。题目保证在关注列表中没有重复用户,在点赞信息中也没有重复用户。输出格式:
输入样例1:
10 GAO3 Magi Zha1 Sen1 Quan FaMK LSum Eins FatM LLao
8
Magi 50
Pota 30
LLao 3
Ammy 48
Dave 15
GAO3 31
Zoro 1
Cath 60
输出样例1:
Ammy
Cath
Pota
输入样例2:
11 GAO3 Magi Zha1 Sen1 Quan FaMK LSum Eins FatM LLao Pota
7
Magi 50
Pota 30
LLao 48
Ammy 3
Dave 15
GAO3 31
Zoro 29
输出样例2:
Bing Mei You#include输入格式:
输出格式:
输入样例:
3
11111 22222
33333 44444
55555 66666
7
55555 44444 10000 88888 22222 11111 23333
输出样例:
5
10000 23333 44444 55555 88888#include输入格式:
输入中的每个单词都由最多10个小写字母组成。输出格式:
输入样例:
5 3
dog ogday
cat atcay
pig igpay
froot ootfray
loops oopslay
atcay
ittenkay
oopslay
输出样例:
cat
eh
loops#include输入格式:
输出格式:
YES ,然后在下一行输出该树后序遍历的结果。数字间有 1 个空格,一行的首尾不得有多余空格。若答案是否,则输出 NO。输入样例 1:
7
8 6 5 7 10 8 11
输出样例 1:
YES
5 7 6 8 11 10 8
输入样例 2:
7
8 10 11 8 6 7 5
输出样例 2:
YES
11 8 10 7 5 6 8
输入样例 3:
7
8 6 8 5 10 9 11
输出样例 3:
NO#include
输入格式:
输出格式:
输入样例:
2
8
10
输出样例:
1 15
9 11#include
本文来自互联网用户投稿,文章观点仅代表作者本人,不代表本站立场,不承担相关法律责任。如若转载,请注明出处。 如若内容造成侵权/违法违规/事实不符,请点击【内容举报】进行投诉反馈!
