keras中的学习率控制以及代码实现
【时间】2019.12.04
【题目】keras中的学习率控制以及代码实现
一、keras中的学习率控制
使用两个回调函数进行lr控制:
keras.callbacks.LearningRateScheduler(schedule)
以及
keras.callbacks.ReduceLROnPlateau(monitor='val_loss', factor=0.1, patience=10, verbose=0, mode='auto', epsilon=0.0001, cooldown=0, min_lr=0)
具体见:
Keras学习率调整
keras 的LearningRateScheduler
二、常见的学习率衰减方式
详见:Tensorflow 中 learning rate decay 的奇技淫巧
Tensorflow 中 learning rate decay 的奇技淫巧(代码)
learning rate衰减策略文件在tensorflow/tensorflow/python/training/learning_rate_decay.py中,函数中调用方法类似tf.train.exponential_decay就可以了。
keras 中也可以调用tf.train.exponential_decay进行设置。具体如下(以cosine decay为例):
import keras.backend as K
from keras.callbacks import LearningRateSchedulerdef scheduler_cosine_decay(epoch,learning_rate=0.01, decay_steps=250, alpha=0.0001):if epoch==0:global global_stepglobal new_lrglobal sessglobal_step = tf.Variable(tf.constant(0)) new_lr = tf.train.cosine_decay(learning_rate,global_step, decay_steps, alpha)sess = tf.Session() lr = sess.run(new_lr,feed_dict={global_step: epoch})return lrreduce_lr = LearningRateScheduler(scheduler_cosine_decay)
model.fit(train_x, train_y, batch_size=32, epochs=300, callbacks=[reduce_lr])
下面介绍各种学习率衰减
2.1、exponential_decay 指数衰减
tf.train.exponential_decay(learning_rate,初始学习率global_step,当前迭代次数decay_steps,衰减速度(在迭代到该次数时学习率衰减为earning_rate * decay_rate)decay_rate,学习率衰减系数,通常介于0-1之间。staircase=False,(默认值为False,当为True时,(global_step/decay_steps)则被转化为整数) ,选择不同的衰减方式。name=None
)
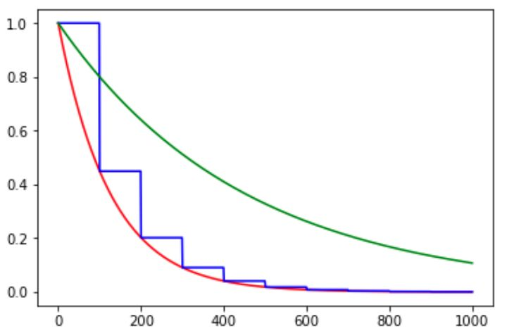
图1. exponential_decay示例,其中红色线条是staircase=False,即指数型下降曲线,蓝色线条是staircase=True,即阶梯式下降曲线
计算公式为:
decayed_learning_rate = learning_rate * decay_rate ^ (global_step / decay_steps)
2.2 piecewise_constant 分段常数衰减
polynomial_decay(learning_rate, global_step, decay_steps,end_learning_rate=0.0001, power=1.0,cycle=False, name=None)
计算公式:
global_step = min(global_step, decay_steps)
decayed_learning_rate = (learning_rate - end_learning_rate) *
(1 - global_step / decay_steps) ^ (power) + end_learning_rate
cycle参数是决定lr是否在下降后重新上升的过程。cycle参数的初衷是为了防止网络后期lr十分小导致一直在某个局部最小值中振荡,突然调大lr可以跳出注定不会继续增长的区域探索其他区域。
2.4、自然指数衰减
natural_exp_decay(learning_rate, global_step, decay_steps, decay_rate,staircase=False, name=None)
计算公式:
natural_exp_decay:
decayed_learning_rate = learning_rate * exp(-decay_rate * global_step / decay_steps)
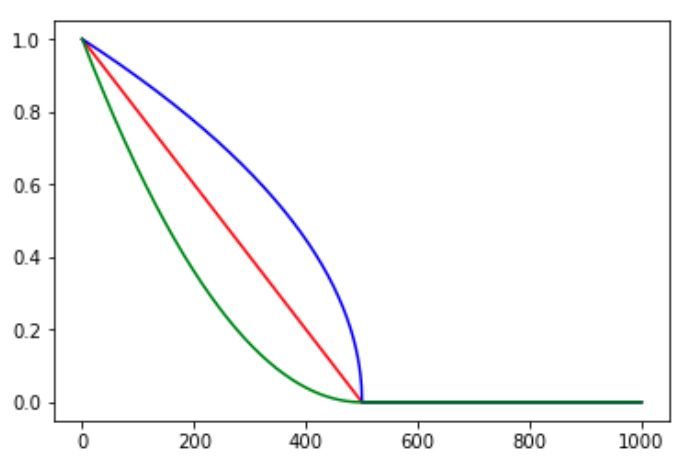
natural_exp_decay和exponential_decay形式差不多,只不过自然指数下降的底数是 1/e。
由图可知,自然数指数下降比exponential_decay要快许多,适用于较快收敛,容易训练的网络。
2.5、inverse_time_decay 倒数衰减
inverse_time_decay(learning_rate, global_step, decay_steps, decay_rate,staircase=False, name=None)
公式:
cosine_decay(learning_rate, global_step, decay_steps, alpha=0.0,name=None)
公式:
global_step = min(global_step, decay_steps)
cosine_decay = 0.5 * (1 + cos(pi * global_step / decay_steps))
decayed = (1 - alpha) * cosine_decay + alpha
decayed_learning_rate = learning_rate * decayed
alpha的作用可以看作是baseline,保证lr不会低于某个值,即不会低于lr*alpha这个值。
2.7 cosine_decay_restarts 重新开始余弦函数
cosine_decay_restarts(learning_rate, global_step, first_decay_steps,t_mul=2.0, m_mul=1.0, alpha=0.0, name=None)
cosine_decay_restarts是cosine_decay的cycle版本。first_decay_steps是指第一次完全下降的step数,t_mul是指每一次循环的步数都将乘以t_mul倍,m_mul指每一次循环重新开始时的初始lr是上一次循环初始值的m_mul倍。
余弦函数式的下降模拟了大lr找潜力区域然后小lr快速收敛的过程,加之restart带来的cycle效果,有涨1-2个点的可能。
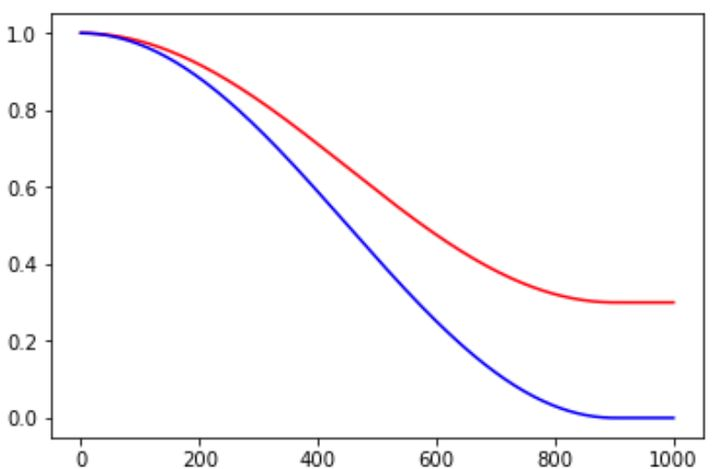
图、cosine_decay_restarts示例,红色线条t_mul=2.0,m_mul=0.5,蓝色线条t_mul=2.0,m_mul=1.0
2.8、linear_cosine_decay 线性预先衰减,主要用在RL增强学习领域。
linear_cosine_decay(learning_rate, global_step, decay_steps,num_periods=0.5, alpha=0.0, beta=0.001,name=None)
2.9.noisy_linear_cosine_decay 噪声线性余弦衰减
noisy_linear_cosine_decay(learning_rate, global_step, decay_steps,initial_variance=1.0, variance_decay=0.55,num_periods=0.5, alpha=0.0, beta=0.001,name=None)
该方法在衰减过程中加入了噪声,某种程度上增加了lr寻找最优值的随机性和可能性。
题外话:
Google在2018年的 ICLR2018 上的论文《DON’T DECAY THE LEARNING RATE, INCREASE THE BATCH SIZE》提出:
不用衰减学习率啦,只要增大 Batch Size 就可以啦!
详见:抛弃Learning Rate Decay吧!
本文来自互联网用户投稿,文章观点仅代表作者本人,不代表本站立场,不承担相关法律责任。如若转载,请注明出处。 如若内容造成侵权/违法违规/事实不符,请点击【内容举报】进行投诉反馈!
