工业界推荐系统必读论文:基于深度学习的推荐模型——DLRM
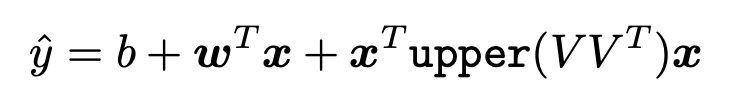
作者丨纪厚业 单位丨北京邮电大学博士生 研究方向丨异质图神经网络及其应用 本文所设计的推荐系统架构如 Fig 1 所示。整个模型主要包含:特征工程(包含 spare 和 dense 特征),用于特征建模 Embedding 和 Embedding Lookup,用于特征转换的 NNs,用于特征交互的 Interactions 以及最后的预测 NNs。 在实际的推荐场景中,用户和商品通常都有丰富的特征信息。用户的特征通常用性别,年龄,居住地等。如何将这些类别特征转为模型可以处理的向量呢。本文的做法是将这些类别特征编码为 one-hot 的向量,然后通过 embedding lookup 来得到其表示。 以用户的性别为例,性别男的 one-hot 编码为 [1, 0] 性别女的 one-hot 编码为 [0,1]。然后,我们针对性别初始化一个关于性别的 embedding matrix,该矩阵大小为 2*d,2 代表性别的可能取值,d 代表 embedding 的维度。那么通过 embedding lookup,性别男的 embedding 其实就是 embedding matrix的第一行,性别女的 embedding 就是 embedding matrix 的第二行。通过上述操作,我们就将难以处理的类别特征转化为了神经网络方便处理的向量。 上述过程得到是类别特征的初始 embedding,我们可以通过 MLP 对其进行非线性转换。初始的特征 embedding 会在模型优化过程中学习到具有区分度的特征表示。 在得到特征的表示后,我们通过内积等简单操作实现模型的预测: 但是,如果我们能够抓住的描述特征关联性,那么模型的预测能力可能会进一步提升。例如,经典的 FM: 特征交叉的好处到底在哪呢?这里给一个形象的例子:经度和纬度分开看并不能精准定位某个地区,但是当经纬度结合起来就可以精准定位地区,该地区的每一部分拥有的类似的特性。 有了特征的表示及其交互之后,我们可以将其送入到 MLP 中,并利用 Sigmoid 函数预测最终的点击概率。 可以看出,本文所提出的 DLRM 模型其实并没有很复杂,但是却将工业界的一些实践方法给出了清晰的介绍。 DLRM 实现所需要的相关接口在 PyTorch 和 Caffe2 中都有实现,见 Table 1。 在工业界的大规模数据下,模型并行是必不可少的一个步骤。DLRM 模型的主要参数来自于特征的 embedding,后面特征交互和模型预测部分的参数其实很少。假设我们有一亿个用户,如果对其 ID 进行 embedding,那么 embedding matrix 就会有一亿行,这是一个非常大的参数矩阵。 对于特征 embedding 部分,这里采用的是模型并行,将一个大的embedding 矩阵放到多个设备上,然后更新相应的特征 embedding。 对于特征交互和模型预测部分,这里的参数量相对较少而且用户/商品的数量无关,本文采用的是数据并行的方式。在多个设备上计算梯度,然后将梯度合并来更新模型。 本文在随机数据,合成数据和公开数据上进行了实验。对比算法主要是Deep cross network。整个实验运行在 Facebook 的 Big Basin platform 上。 具体实验结果如下: 可以看出,本文所提出的 DLRM 算法明显超越谷歌的 DCN。 本文提出了一种工业级推荐系统 DLRM 并实验验证了其优越性。同时,作者也给出了工业界推荐系统的最佳实践,相关代码和超参数设置也进行了开源。可以说,本文是在工业界做推荐系统的必读论文之一。 点击以下标题查看更多往期内容: KDD 2019 | 基于异质图神经网络的用户意图推荐 深度学习推荐系统是否真的优于传统经典方法? 知其所以然:基于多任务学习的可解释推荐系统 推荐系统阅读清单:最近我们在读哪些论文? 近期必读的12篇「推荐系统」相关论文 基于小样本学习的意图识别冷启动 让你的论文被更多人看到 如何才能让更多的优质内容以更短路径到达读者群体,缩短读者寻找优质内容的成本呢?答案就是:你不认识的人。 总有一些你不认识的人,知道你想知道的东西。PaperWeekly 或许可以成为一座桥梁,促使不同背景、不同方向的学者和学术灵感相互碰撞,迸发出更多的可能性。 PaperWeekly 鼓励高校实验室或个人,在我们的平台上分享各类优质内容,可以是最新论文解读,也可以是学习心得或技术干货。我们的目的只有一个,让知识真正流动起来。 ???? 来稿标准: • 稿件确系个人原创作品,来稿需注明作者个人信息(姓名+学校/工作单位+学历/职位+研究方向) • 如果文章并非首发,请在投稿时提醒并附上所有已发布链接 • PaperWeekly 默认每篇文章都是首发,均会添加“原创”标志 ???? 投稿邮箱: • 投稿邮箱:hr@paperweekly.site • 所有文章配图,请单独在附件中发送 • 请留下即时联系方式(微信或手机),以便我们在编辑发布时和作者沟通 ???? 现在,在「知乎」也能找到我们了 进入知乎首页搜索「PaperWeekly」 点击「关注」订阅我们的专栏吧 关于PaperWeekly PaperWeekly 是一个推荐、解读、讨论、报道人工智能前沿论文成果的学术平台。如果你研究或从事 AI 领域,欢迎在公众号后台点击「交流群」,小助手将把你带入 PaperWeekly 的交流群里。 ▽ 点击 | 阅读原文 | 下载论文 & 源码引言
模型架构
特征表示 Embedding
特征交互 Interaction
模型预测 NNs
模型实现
模型并行
实验
总结
#投 稿 通 道#
本文来自互联网用户投稿,文章观点仅代表作者本人,不代表本站立场,不承担相关法律责任。如若转载,请注明出处。 如若内容造成侵权/违法违规/事实不符,请点击【内容举报】进行投诉反馈!
