对抗训练浅谈:意义、方法和思考(附Keras实现)
©PaperWeekly 原创 · 作者|苏剑林
单位|追一科技
研究方向|NLP、神经网络
当前,说到深度学习中的对抗,一般会有两个含义:一个是生成对抗网络(Generative Adversarial Networks,GAN),代表着一大类先进的生成模型;另一个则是跟对抗攻击、对抗样本相关的领域,它跟 GAN 相关,但又很不一样,它主要关心的是模型在小扰动下的稳健性。
本人之前所涉及的对抗话题,都是前一种含义,而今天,我们来聊聊后一种含义中的“对抗训练”。
本文包括如下内容:
对抗样本、对抗训练等基本概念的介绍;
介绍基于快速梯度上升的对抗训练及其在 NLP 中的应用;
给出了对抗训练的 Keras 实现(一行代码调用);
讨论了对抗训练与梯度惩罚的等价性;
基于梯度惩罚,给出了一种对抗训练的直观的几何理解。
方法介绍
近年来,随着深度学习的日益发展和落地,对抗样本也得到了越来越多的关注。
在 CV 领域,我们需要通过对模型的对抗攻击和防御来增强模型的稳健型,比如在自动驾驶系统中,要防止模型因为一些随机噪声就将红灯识别为绿灯。
在 NLP 领域,类似的对抗训练也是存在的,不过 NLP 中的对抗训练更多是作为一种正则化手段来提高模型的泛化能力。
这使得对抗训练成为了 NLP 刷榜的“神器”之一,前有微软通过 RoBERTa+ 对抗训练在 GLUE [1] 上超过了原生 RoBERTa,后有我司的同事通过对抗训练刷新了 CoQA [2] 榜单。这也成功引起了笔者对它的兴趣,遂学习了一番,分享在此。
基本概念
要认识对抗训练,首先要了解“对抗样本”,它首先出现在论文 Intriguing properties of neural networks [3] 之中。
简单来说,它是指对于人类来说“看起来”几乎一样、但对于模型来说预测结果却完全不一样的样本,比如下面的经典例子:
理解对抗样本之后,也就不难理解各种相关概念了,比如“对抗攻击”,其实就是想办法造出更多的对抗样本,而“对抗防御”,就是想办法让模型能正确识别更多的对抗样本。
所谓对抗训练,则是属于对抗防御的一种,它构造了一些对抗样本加入到原数据集中,希望增强模型对对抗样本的鲁棒性;同时,如本文开篇所提到的,在 NLP 中它通常还能提高模型的表现。
Min-Max
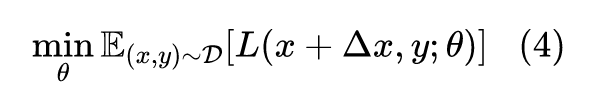
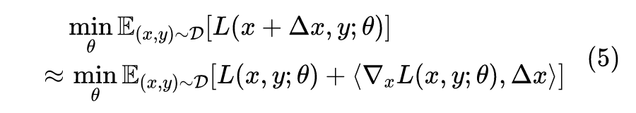
总的来说,对抗训练可以统一写成如下格式:
其中 代表训练集,代表输入,代表标签,是模型参数,是单个样本的 loss,是对抗扰动,是扰动空间。这个统一的格式首先由论文 Towards Deep Learning Models Resistant to Adversarial Attacks [4] 提出。
这个式子可以分步理解如下:
往属于里边注入扰动 ,的目标是让 越大越好,也就是说尽可能让现有模型的预测出错;
当然 也不是无约束的,它不能太大,否则达不到“看起来几乎一样”的效果,所以 要满足一定的约束,常规的约束是 ,其中 是一个常数;
每个样本都构造出对抗样本之后,用作为数据对去最小化loss来更新参数 (梯度下降);
反复交替执行 1、2、3 步。
由此观之,整个优化过程是 和 交替执行,这确实跟 GAN 很相似,不同的是,GAN 所 的自变量也是模型的参数,而这里 的自变量则是输入(的扰动量),也就是说要对每一个输入都定制一步 。
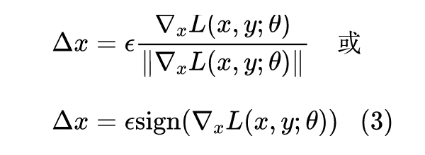
快速梯度
现在的问题是如何计算 ,它的目标是增大 ,而我们知道让 loss 减少的方法是梯度下降,那反过来,让 loss 增大的方法自然就是梯度上升,因此可以简单地取:
当然,为了防止 过大,通常要对 做些标准化,比较常见的方式是:
有了 之后,就可以代回式 (1) 进行优化:
这就构成了一种对抗训练方法,被称为 Fast Gradient Method(FGM),它由 GAN 之父 Goodfellow 在论文 Explaining and Harnessing Adversarial Examples [5] 首先提出。
此外,对抗训练还有一种方法,叫做 Projected Gradient Descent(PGD),其实就是通过多迭代几步来达到让 更大的 。
如果迭代过程中模长超过了 ,就缩放回去,细节请参考Towards Deep Learning Models Resistant to Adversarial Attacks [6]。
但本文不旨在对对抗学习做完整介绍,而且笔者认为它不如 FGM 漂亮有效,所以本文还是以 FGM 为重点。关于对抗训练的补充介绍,建议有兴趣的读者阅读富邦同学写的功守道:NLP中的对抗训练 + PyTorch实现。
回到NLP
对于 CV 领域的任务,上述对抗训练的流程可以顺利执行下来,因为图像可以视为普通的连续实数向量,也是一个实数向量,因此 依然可以是有意义的图像。
但 NLP 不一样,NLP 的输入是文本,它本质上是 one hot 向量(如果还没认识到这一点,欢迎阅读词向量与 Embedding 究竟是怎么回事?[7],而两个不同的 one hot 向量,其欧氏距离恒为 ,因此对于理论上不存在什么“小扰动”。
一个自然的想法是像论文 Adversarial Training Methods for Semi-Supervised Text Classification [8] 一样,将扰动加到 Embedding 层。
这个思路在操作上没有问题,但问题是,扰动后的 Embedding 向量不一定能匹配上原来的 Embedding 向量表,这样一来对 Embedding 层的扰动就无法对应上真实的文本输入,这就不是真正意义上的对抗样本了,因为对抗样本依然能对应一个合理的原始输入。
那么,在 Embedding 层做对抗扰动还有没有意义呢?有!实验结果显示,在很多任务中,在 Embedding 层进行对抗扰动能有效提高模型的性能。
实验结果
既然有效,那我们肯定就要亲自做实验验证一下了。怎么通过代码实现对抗训练呢?怎么才能做到用起来尽可能简单呢?最后用起来的效果如何呢?
思路分析
对于 CV 任务来说,一般输入张量的 shape 是 ,这时候我们需要固定模型的 batch size(即),然后给原始输入加上一个 shape 同样为 、全零初始化的Variable。
比如就叫做 ,那么我们可以直接求 loss 对 的梯度,然后根据梯度给 赋值,来实现对输入的干扰,完成干扰之后再执行常规的梯度下降。
对于 NLP 任务来说,原则上也要对 Embedding 层的输出进行同样的操作,Embedding 层的输出 shape 为 ,所以也要在 Embedding 层的输出加上一个 shape 为 的Variable,然后进行上述步骤。但这样一来,我们需要拆解、重构模型,对使用者不够友好。
不过,我们可以退而求其次。Embedding 层的输出是直接取自于 Embedding 参数矩阵的,因此我们可以直接对 Embedding 参数矩阵进行扰动。
这样得到的对抗样本的多样性会少一些(因为不同样本的同一个 token 共用了相同的扰动),但仍然能起到正则化的作用,而且这样实现起来容易得多。
代码参考
基于上述思路,这里给出 Keras 下基于 FGM 方式对 Embedding 层进行对抗训练的参考实现:
https://github.com/bojone/keras_adversarial_training
核心代码如下:
def adversarial_training(model, embedding_name, epsilon=1):"""给模型添加对抗训练其中model是需要添加对抗训练的keras模型,embedding_name则是model里边Embedding层的名字。要在模型compile之后使用。"""if model.train_function is None: # 如果还没有训练函数model._make_train_function() # 手动makeold_train_function = model.train_function # 备份旧的训练函数# 查找Embedding层for output in model.outputs:embedding_layer = search_layer(output, embedding_name)if embedding_layer is not None:breakif embedding_layer is None:raise Exception('Embedding layer not found')# 求Embedding梯度embeddings = embedding_layer.embeddings # Embedding矩阵gradients = K.gradients(model.total_loss, [embeddings]) # Embedding梯度gradients = K.zeros_like(embeddings) + gradients[0] # 转为dense tensor# 封装为函数inputs = (model._feed_inputs +model._feed_targets +model._feed_sample_weights) # 所有输入层embedding_gradients = K.function(inputs=inputs,outputs=[gradients],name='embedding_gradients',) # 封装为函数def train_function(inputs): # 重新定义训练函数grads = embedding_gradients(inputs)[0] # Embedding梯度delta = epsilon * grads / (np.sqrt((grads**2).sum()) + 1e-8) # 计算扰动K.set_value(embeddings, K.eval(embeddings) + delta) # 注入扰动outputs = old_train_function(inputs) # 梯度下降K.set_value(embeddings, K.eval(embeddings) - delta) # 删除扰动return outputsmodel.train_function = train_function # 覆盖原训练函数
定义好上述函数后,给 Keras 模型增加对抗训练就只需要一行代码了:
# 写好函数后,启用对抗训练只需要一行代码
adversarial_training(model, 'Embedding-Token', 0.5)
需要指出的是,由于每一步算对抗扰动也需要计算梯度,因此每一步训练一共算了两次梯度,因此每步的训练时间会翻倍。
效果比较
为了测试实际效果,笔者选了中文 CLUE 榜 [9] 的两个分类任务:IFLYTEK和TNEWS,模型选择了中文 BERT base。
在 CLUE 榜单上,BERT base 模型在这两个数据上的成绩分别是 60.29% 和56.58%,经过对抗训练后,成绩为 62.46%、57.66%,分别提升了 2% 和 1%!
训练脚本请参考:
https://github.com/bojone/bert4keras/blob/master/examples/task_iflytek_adversarial_training.py
当然,同所有正则化手段一样,对抗训练也不能保证每一个任务都能有提升,但从目前大多数“战果”来看,它是一种非常值得尝试的技术手段。
此外,BERT 的 finetune 本身就是一个非常玄乎(靠人品)的过程,前些时间论文Fine-Tuning Pretrained Language Models: Weight Initializations, Data Orders, and Early Stopping [10] 换用不同的随机种子跑了数百次 finetune 实验,发现最好的结果能高出好几个点,所以如果你跑了一次发现没提升,不妨多跑几次再下结论。
延伸思考
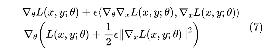
在这一节中,我们从另一个视角对上述结果进行分析,从而推出对抗训练的另一种方法,并且得到一种关于对抗训练的更直观的几何理解。
梯度惩罚
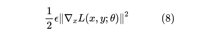
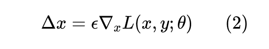
假设已经得到对抗扰动 ,那么我们在更新 时,考虑对 的展开:
对应的 的梯度为:
代入 ,得到:
这个结果表示,对输入样本施加 的对抗扰动,一定程度上等价于往 loss 里边加入梯度惩罚。
如果对抗扰动是 ,那么对应的梯度惩罚项则是 (少了个,也少了个2次方)。
事实上,这个结果不是新的,据笔者所知,它首先出现论文 Improving the Adversarial Robustness and Interpretability of Deep Neural Networks by Regularizing their Input Gradients [11] 里。
只不过这篇文章不容易搜到,因为你一旦搜索“adversarial training gradient penalty”等关键词,出来的结果几乎都是 WGAN-GP 相关的东西。
几何图像
事实上,关于梯度惩罚,我们有一个非常直观的几何图像。以常规的分类问题为例,假设有 个类别,那么模型相当于挖了 个坑,然后让同类的样本放到同一个坑里边去:
梯度惩罚则说同类样本不仅要放在同一个坑内,还要放在坑底,这就要求每个坑的内部要长这样:
为什么要在坑底呢?因为物理学告诉我们,坑底最稳定呀,所以就越不容易受干扰呀,这不就是对抗训练的目的么?
那坑底意味着什么呢?极小值点呀,导数(梯度)为零呀,所以不就是希望 越小越好么?
这便是梯度惩罚 (8) 的几何意义了。类似的“挖坑”、“坑底”与梯度惩罚的几何图像,还可以参考能量视角下的GAN模型:GAN=“挖坑”+“跳坑”。
L约束
我们还可以从 L 约束(Lipschitz 约束)的角度来看梯度惩罚。所谓对抗样本,就是输入的小扰动导致输出的大变化,而关于输入输出的控制问题,我们之前在文章深度学习中的Lipschitz约束:泛化与生成模型就已经探讨过。
一个好的模型,理论上应该是“输入的小扰动导致导致输出的小变化”,而为了保证这一遍,一个很常用的方案是让模型满足 L 约束,即存在常数 ,使得
这样一来只要两个输出的差距 足够小,那么就能保证输出的差距也足够小。
而深度学习中的Lipschitz约束:泛化与生成模型已经讨论了,实现 L 约束的方案之一就是谱归一化(Spectral Normalization),所以往神经网络里边加入谱归一化,就可以增强模型的对抗防御性能。
相关的工作已经被发表在 Generalizable Adversarial Training via Spectral Normalization [12]。
美中不足的是,谱归一化是对模型的每一层权重都进行这样的操作,结果就是神经网络的每一层都满足 L 约束,这是不必要的(我们只希望整个模型满足 L 约束,不必强求每一层都满足),因此理论上来说 L 约束会降低模型表达能力,从而降低模型性能。
而在 WGAN 系列模型中,为了让判别器满足 L 约束,除了谱归一化外,还有一种常见的方案,那就是梯度惩罚。因此,梯度惩罚也可以理解为一个促使模型满足 L 约束的正则项,而满足 L 约束则能有效地抵御对抗样本的攻击。
代码实现
既然梯度惩罚号称能有类似的效果,那必然也是要接受实验验证的了。相比前面的 FGM 式对抗训练,其实梯度惩罚实现起来还容易一些,因为它就是在 loss 里边多加一项罢了,而且实现方式是通用的,不用区分 CV 还是 NLP。
Keras 参考实现如下:
def sparse_categorical_crossentropy(y_true, y_pred):"""自定义稀疏交叉熵这主要是因为keras自带的sparse_categorical_crossentropy不支持求二阶梯度。"""y_true = K.reshape(y_true, K.shape(y_pred)[:-1])y_true = K.cast(y_true, 'int32')y_true = K.one_hot(y_true, K.shape(y_pred)[-1])return K.categorical_crossentropy(y_true, y_pred)def loss_with_gradient_penalty(y_true, y_pred, epsilon=1):"""带梯度惩罚的loss"""loss = K.mean(sparse_categorical_crossentropy(y_true, y_pred))embeddings = search_layer(y_pred, 'Embedding-Token').embeddingsgp = K.sum(K.gradients(loss, [embeddings])[0].values**2)return loss + 0.5 * epsilon * gpmodel.compile(loss=loss_with_gradient_penalty,optimizer=Adam(2e-5),metrics=['sparse_categorical_accuracy'],
)
可以看到,定义带梯度惩罚的 loss 非常简单,就两行代码而已。需要指出的是,梯度惩罚意味着参数更新的时候需要算二阶导数,但是 Tensorflow 和 Keras 自带的 loss 函数不一定支持算二阶导数。
比如K.categorical_crossentropy支持而K.sparse_categorical_crossentropy不支持,遇到这种情况时,需要自定重新定义 loss。
效果比较
还是前面两个任务,结果如下表。可以看到,梯度惩罚能取得跟 FGM 基本一致的结果。
完整的代码请参考:
https://github.com/bojone/bert4keras/blob/master/examples/task_iflytek_gradient_penalty.py
本文小结
本文简单介绍了对抗训练的基本概念和推导,着重讲了其中的 FGM 方法并给出了 Keras 实现,实验证明它能提高一些 NLP 模型的泛化性能。此外,本文还讨论了对抗学习与梯度惩罚的联系,并给出了梯度惩罚的一种直观的几何理解。
相关链接
[1] https://gluebenchmark.com/leaderboard
[2] https://stanfordnlp.github.io/coqa/
[3] http://https://arxiv.org/abs/1312.6199
[4] https://arxiv.org/abs/1706.06083
[5] https://arxiv.org/abs/1412.6572
[6] https://arxiv.org/abs/1706.06083
[7] https://kexue.fm/archives/4122
[8] https://arxiv.org/abs/1605.07725
[9] https://www.cluebenchmarks.com/
[10] https://arxiv.org/abs/2002.06305
[11] https://arxiv.org/abs/1711.09404
[12] https://arxiv.org/abs/1811.07457
点击以下标题查看更多往期内容:
图自编码器的起源和应用
图神经网络三剑客:GCN、GAT与GraphSAGE
如何快速理解马尔科夫链蒙特卡洛法?
深度学习预训练模型可解释性概览
ICLR 2020 | 隐空间的图神经网络
????
现在,在「知乎」也能找到我们了
进入知乎首页搜索「PaperWeekly」
点击「关注」订阅我们的专栏吧
关于PaperWeekly
PaperWeekly 是一个推荐、解读、讨论、报道人工智能前沿论文成果的学术平台。如果你研究或从事 AI 领域,欢迎在公众号后台点击「交流群」,小助手将把你带入 PaperWeekly 的交流群里。
本文来自互联网用户投稿,文章观点仅代表作者本人,不代表本站立场,不承担相关法律责任。如若转载,请注明出处。 如若内容造成侵权/违法违规/事实不符,请点击【内容举报】进行投诉反馈!
