进程资源图a和b
进程资源图 知识点
进程资源图如图(a)和(b)所示,其中:图(a)中( );图(b)中( )。(2013年上半年)

A.P1是非阻塞节点,P2是阻塞节点,所以该图不可以化简,是死锁的
B.P1、P2都是阻塞节点,所以该图不可以化简,是死锁的
C.P1、P2都是非阻塞节点,所以该图可以化简,是非死锁的
D.P1是阻塞节点,P2是非阻塞节点,所以该图不可以化简、是死锁的
A.P1、P2、P3都是非阻塞节点,该图可以化简,是非死锁的
B.P1、P2、P3都是阻塞节点,该图不可以化简,是死锁的
C.P2是阻塞节点,P1、P3是非阻塞节点,该图可以化简,是非死锁的
D.P1、P2是非阻塞节点,P3是阻塞节点,该图不可以化简,是死锁的
进程资源图如图(a)和(b)所示,其中:图(a)中( );图(b)中( )。(2013年上半年)
拾柴者 每日软考 2019-03-31 1076 0 软考真题解析
双十一,阿里云钜惠服务器,欢迎选购 双十一,阿里云钜惠服务器,欢迎选购!
进程资源图如图(a)和(b)所示,其中:图(a)中( );图(b)中( )。(2013年上半年)
42clipboard.png
A.P1是非阻塞节点,P2是阻塞节点,所以该图不可以化简,是死锁的
B.P1、P2都是阻塞节点,所以该图不可以化简,是死锁的
C.P1、P2都是非阻塞节点,所以该图可以化简,是非死锁的
D.P1是阻塞节点,P2是非阻塞节点,所以该图不可以化简、是死锁的
A.P1、P2、P3都是非阻塞节点,该图可以化简,是非死锁的
B.P1、P2、P3都是阻塞节点,该图不可以化简,是死锁的
C.P2是阻塞节点,P1、P3是非阻塞节点,该图可以化简,是非死锁的
D.P1、P2是非阻塞节点,P3是阻塞节点,该图不可以化简,是死锁的
答案 B C
解析
由(a)图可知R1资源共有2个,分别被进程P1和P2占用;R2资源有3个,P1占用1个,P2占用2个。而此时进程P1与P2的资源都未完全得到满足。他们都在申请资源,而R1和R2已经没有资源可以使用了,导致两个进程都进入了死锁状态。由(b)图可知,R1的2个资源已经分别被P1和P3所占用,R2的3个资源已经占用了2个,当进程P1和P3请求占用R2的时候,无论分配给哪一方都可以使两个进程都满足所需的资源,从而可以化简,P2也可得所需的R1资源。因此P1和P3是非阻塞节点,P2是阻塞节点。
为啥最后可以简化,是非死锁的,但p2是阻塞节点。
博客讲解:
①
R中所有资源都分配出去了(R→P)
而此时还有进程P向R申请资源(P→R)
此时,申请资源R的进程P:成为阻塞节点
②
R中所有资源没有全部都分配出去了(R→P)
而此时还有进程P向R申请资源(P→R)
此时,申请资源R的进程P:成为非阻塞节点
(4)判断一个进程资源图是否是死锁的?
①如果所有节点都是阻塞的——此进程资源图不可以化简,是死锁的
②如果有节点不是阻塞的——
将非阻塞节点周围的箭头删去,只保留阻塞节点的箭头
此时,观察现在得到的图中,原来的阻塞节点是否阻塞?
→如果在新图中,它是非阻塞的,则原图是可以化简的,非死锁的
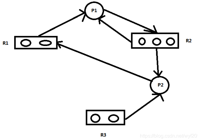
图a
R1一共有2个资源,给P1、P2各分配一个,已经无可分配资源
此时P2还向R1申请1个资源,因为没有资源可以申请了,所以P2会阻塞;
同理,R2一共有3个资源,给P1分配1个、P2分配2个,已经无可分配资源
此时P1还向R2申请1个资源,因为没有资源可以申请了,所以P1也会阻塞;
因为P1、P2节点都阻塞了,所以此图无法化简,是死锁的
图b
R1一共有2个资源,给P1、P3各分配一个,已经无可分配资源
此时P2还向R1申请1个资源,因为没有资源可以申请了,所以P2会阻塞;
R2一共有3个资源,给P2、P3各分配一个,还剩1个可分配资源
此时P1向R2申请1个资源,因为还有可分配资源,所以P1不会阻塞;
(此时P3也向R2申请1个资源,同理P3也不会阻塞)
【这里要特别注意:P1、P3虽然同时都在申请剩下的1个资源,但是并不意味着这个资源申请已经被响应了,从而造成死锁的现象】
再看一题:
此题详解

R1有两个资源,一个分配给了P1,一个分配给了P3,此时P2申请R1的资源,因为R1此时没有可用资源,P2堵塞。
R2有三个资源,已经给P1,P2,P3,各自分配了一个资源,而P1此时又再次申请资源R2,P1堵塞
R3有两个资源,已经分配给P2一个,而P3申请一个资源,分配给它,所以P3是非阻塞结点
明显第一题选 C

如图我将P3去掉然后我们主要分析P1、P2以及R1R2R3的资源数,通过分析我们可以知道P1P2对R1和R2发出资源申请都可以得到满足所以为非阻塞节点故可以化简
顺序为P3——P1——P2
本文来自互联网用户投稿,文章观点仅代表作者本人,不代表本站立场,不承担相关法律责任。如若转载,请注明出处。 如若内容造成侵权/违法违规/事实不符,请点击【内容举报】进行投诉反馈!
